【每天一个知识点】“社区检测”(Community Detection)
“社区检测”(Community Detection)是图学习与社会网络分析中的一个核心概念,指的是在网络(图)结构中自动识别出节点之间关系紧密的群体(社区或簇),使得同一社区内部的节点连接更密集,而不同社区之间的连接相对稀疏。

一、定义与目标
社区检测(Community Detection)
是指根据图的结构特征,将节点划分为若干个子集(社区、模块、簇),使得:
社区内部的节点之间具有较强的相似性或联系(高内聚性);
社区之间的节点联系相对较弱(低耦合性)。
形式化地说,对于图 ( G = (V, E) ),社区检测的目标是找到一种划分:

使得图的模块度(Modularity)最大化。
二、常见方法分类
1️⃣ 基于模块度优化(Modularity Optimization)
代表算法:Louvain 算法、Leiden 算法
核心思想:通过优化模块度(Modularity)指标来衡量划分质量。模块度越高,说明社区划分越自然。
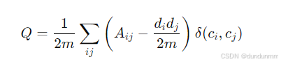
公式:

其中 (A_{ij}) 表示节点 (i, j) 是否有边连接,(d_i) 为节点度数,(\delta(c_i, c_j)) 表示节点是否在同一社区。优点:直观、适合大规模网络。
缺点:对社区规模敏感(分辨率限制问题)。
2️⃣ 基于谱聚类(Spectral Clustering)
利用图的 拉普拉斯矩阵(Graph Laplacian) 特征向量进行降维,将节点嵌入到连续空间后,再用 K-means 聚类。
公式:

优点:数学理论扎实;
缺点:需要事先知道社区数;对大图不够高效。
3️⃣ 基于概率模型(Statistical / Probabilistic Methods)
代表模型:随机块模型(SBM, Stochastic Block Model)
思想:假设网络中的连接概率由社区成员身份决定,通过最大化似然估计社区划分。
扩展版本:混合成员模型(Mixed Membership SBM)、动态SBM(Dynamic SBM)。
4️⃣ 基于图嵌入与深度学习(Graph Embedding / GNN-based)
近年来主流的方向:
通过 图神经网络(GNN) 或 对比学习(Graph Contrastive Learning) 学习节点表示;
再利用相似性或聚类算法识别社区。
代表方法:
DeepWalk / Node2Vec + K-means;
DGI(Deep Graph Infomax);
三、评价指标
| 指标 | 含义 | 典型范围 |
|---|---|---|
| 模块度 (Q) | 衡量划分质量,越大越好 | [-0.5, 1] |
| NMI (Normalized Mutual Information) | 与真实标签的一致性 | [0, 1] |
| ARI (Adjusted Rand Index) | 社区划分与真实分组的相似度 | [0, 1] |
| Conductance / Density | 衡量社区内外连接的比例 | 越小越好 |
四、在社交网络中的意义
在社交媒体(如 Twitter、Weibo)中:
社区通常对应 兴趣群体、政治派别或话题圈层;
机器人(bot)往往嵌入在人类社区中伪装交互;
因此,检测社区结构有助于识别跨社区异常行为(如信息扩散、虚假宣传)。
五、小结
| 层面 | 说明 |
|---|---|
| 目标 | 识别图中的自然群体结构 |
| 方法类型 | 模块度优化、谱聚类、概率模型、GNN嵌入 |
| 关键指标 | 模块度 Q、NMI、ARI |
| 应用场景 | 社交网络分析、舆情监测、机器人检测、推荐系统、知识图谱聚类 |
| 在 CACL 中的作用 | 提供子图划分基础 + 定义难样本关系 + 促进社区感知学习 |
