Map Set

1、概念
二叉搜索树又称二叉排序树,它或者是一棵空树,或者是具有以下性质的二叉树:
若它的左子树不为空,则左子树上所有节点的值都小于根节点的值
若它的右子树不为空,则右子树上所有节点的值都大于根节点的值
它的左右子树也分别为二叉搜索树
2.二叉搜索的操作
1.查找

-
边界处理:首先判断根节点是否为空,如果根节点为空,说明树中没有任何节点,直接返回
false。 -
迭代查找:
- 从根节点开始,使用
cur指针遍历树 - 比较当前节点
cur的值与目标值val:- 若
cur.val < val:目标值可能在右子树中,将cur移至右子节点 - 若
cur.val > val:目标值可能在左子树中,将cur移至左子节点 - 若两者相等:找到目标值,返回
true
- 若
- 从根节点开始,使用
-
查找结束:当
cur指针变为null时,说明遍历完了所有可能的路径却没有找到目标值,返回false
static class TreeNode {public int val;public TreeNode left;public TreeNode right;public TreeNode(int val) {this.val = val;}}public TreeNode root;public boolean search(int val) {if(root == null) {return false;}TreeNode cur = root;while (cur != null) {if(cur.val < val) {cur = cur.right;}else if(cur.val >val) {cur = cur.left;}else {return true;}}return false;}
2.插入
插入一个 树的时候就是插入二叉搜索树的叶子节点,在标准的二叉搜索树(BST)插入逻辑中,新节点始终作为叶子节点插入
- 若插入到非叶子位置(如替换某个中间节点),会导致该节点原有左 / 右子树被迫 “移位”,极易打破 “左小右大” 的规则;
- 但是我们再刚刚的查找过程中,已经找到应该插入的这个点了,但是继续往下执行了,但是有不能回去了,也没有标记刚刚的节点,就比较麻烦
- 这时候就用到父亲节点 parent ,设置好 parent 标记好父亲节点
public void insert(int val) {if(root == null) {root = new TreeNode(val);return;}TreeNode cur = root;TreeNode parent = null;while (cur != null) {if(cur.val < val) {parent = cur;cur = cur.right;}else if(cur.val > val) {parent = cur;cur = cur.left;}else {//一样的值 不进行存储return;}}TreeNode newNode = new TreeNode(val);if(parent.val > val) {parent.left = newNode;}else {parent.right = newNode;}}新节点始终作为叶子节点添加到树中,通过遍历找到 “应该属于新节点的父节点”,直接将新节点挂在父节点的左 / 右子树位置。这种方式不会修改任何已有节点的值,仅通过调整指针关系就能维持 BST 性质,是 BST 插入的标准实现。
3.删除
设待删除结点为cur,待删除结点的双亲结点为parent
1. cur.left == null
a. cur是root,则root=cur.right
b. cur不是root,cur是parent.left,则parent.left=cur.right
c. cur不是root,cur是parent.right,则parent.right=cur.right
2. cur.right==null
a. cur是root,则root=cur.left
b. cur不是root,cur是parent.left,则parent.left=cur.left
c. cur不是root,cur是parent.right,则parent.right=cur.left

3. cur.left!=null&&cur.right!=null
a.需要使用替换法继进行删除,即在它的右子树中寻找中序下的第一个结点(关键码最小),用它的值 填补到被删除节点中,再来处理该结点的删除问题

加入说删除的点是20 ,cur = 20,怎么办才能把20 节点给干掉,主要就是谁要往20 这个节点放, 放10?n那10 的右边要是有呢,假如说10 的右边是15,先假设一下,那也就是说5 的 右节点直接等于10,那10 的右边的数据15往哪里放呢,或者说30放哪里,所以说就很麻烦
用替换思想,删除这个删除节点的左节点的右节点(因为比删除节点的左节点大,比删除节点的右边小) 或者删除这个删除节点的右节点的左节点(因为比删除节点的右节点小,比删除节点的左节点大)
但是如果25左右两边都还有节点那就不能放到这,同理15也是,那就是25的左边,就是找删除节点右边最小的如果一直还有节点的前提下,其实就是右树的最左边
注意右树下面不会有比他还小的数了,所以最多只会有一个右树,此时这时候要删除右树最小的数
同理,删除要删除的节点左边的这个树,要找它的最大值的节点,也就是这个替换的这个节点,顶多也就是有一个左节点
其实就是又成上面哪两种情况了
public void remove(int val) {TreeNode cur = root;TreeNode parent = null;while (cur != null) {if(cur.val < val) {parent = cur;cur = cur.right;}else if(cur.val > val) {parent = cur;cur = cur.left;}else {//开始删除了removeNode(cur,parent);return;}}}/*** 删除节点* @param cur 要删除的节点* @param parent 要删除的节点的父亲节点*/private void removeNode(TreeNode cur, TreeNode parent) {if(cur.left == null) {if(cur == root) {root = cur.right;}else if(cur == parent.left) {parent.left = cur.right;}else {parent.right = cur.right;}}else if(cur.right == null) {if(cur == root) {root = cur.left;}else if(cur == parent.left) {parent.left = cur.left;}else {parent.right = cur.left;}}else {TreeNode target = cur.right;TreeNode targetParent = cur;while (target.left != null) {targetParent = target;target = target.left;}//开始替换值cur.val = target.val;}}
那如果是这样子的图,我们的代码就是有一个小的bug了

二叉搜索树的删除策略是:用cur的中序后继节点(或前驱节点)的值替换cur的值,然后删除这个后继节点。(中序后继:在中序遍历中紧跟cur的节点,对 BST 而言,是cur右子树中值最小的节点,即右子树的最左节点)
1. cur.val = target.val:值的替换
target是前面逻辑中找到的 “中序后继节点”(cur右子树的最左节点,值最小)。- 这行代码的作用是:将
cur的值替换为target的值。相当于 “间接删除”cur—— 因为cur的原始值已经被移除(被target的值覆盖),而target的位置更容易删除(因为target是最左节点,必然没有左子树,最多只有右子树)。
2. 后续删除target的逻辑:调整树结构
由于target是cur右子树的最左节点,它的左子树一定为null(否则会继续向左遍历),因此target只有两种可能:
- 没有子节点(叶子节点);
- 只有右子节点(
target.right可能为null或一个子树)。
因此,删除target只需将其右子树 “接” 到它的父节点targetParent上即可,具体分两种情况:
-
若
target是targetParent的右子节点(target == targetParent.right):说明target是targetParent直接的右孩子(比如cur的右子树本身就是最左节点,即target = cur.right,此时targetParent = cur)。此时只需让targetParent的右指针指向target的右子树(targetParent.right = target.right),即可跳过target,完成删除。 -
若
target是targetParent的左子节点(else 分支):说明target是targetParent的左孩子(即target在cur的右子树中更深处,经过多次向左遍历才找到)。此时只需让targetParent的左指针指向target的右子树(targetParent.left = target.right),即可跳过target,完成删除。
public void remove(int val) {TreeNode cur = root;TreeNode parent = null;while (cur != null) {if(cur.val < val) {parent = cur;cur = cur.right;}else if(cur.val > val) {parent = cur;cur = cur.left;}else {//开始删除了removeNode(cur,parent);return;}}}/*** 删除节点* @param cur 要删除的节点* @param parent 要删除的节点的父亲节点*/private void removeNode(TreeNode cur, TreeNode parent) {if(cur.left == null) {if(cur == root) {root = cur.right;}else if(cur == parent.left) {parent.left = cur.right;}else {parent.right = cur.right;}}else if(cur.right == null) {if(cur == root) {root = cur.left;}else if(cur == parent.left) {parent.left = cur.left;}else {parent.right = cur.left;}}else {TreeNode target = cur.right;TreeNode targetParent = cur;while (target.left != null) {targetParent = target;target = target.left;}//开始替换值cur.val = target.val;//删除if(target == targetParent.right) {targetParent.right = target.right;}else {targetParent.left = target.right;}}}
插入和删除操作都必须先查找,查找效率代表了二叉搜索树中各个操作的性能。
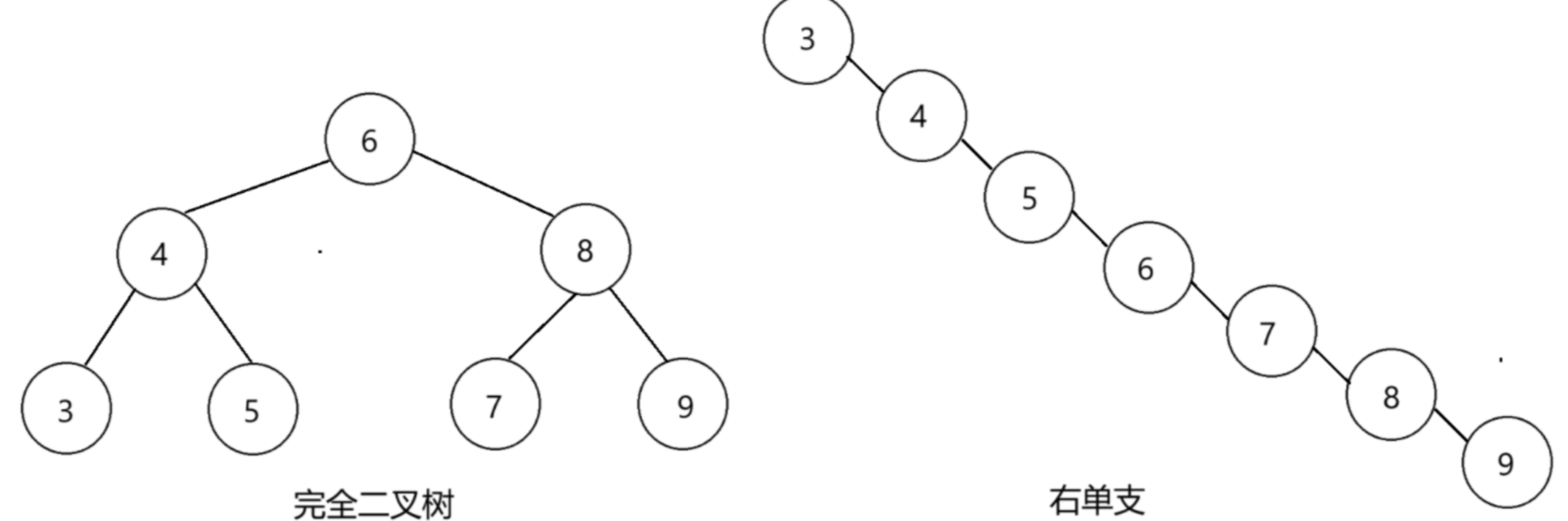
对有n个结点的二叉搜索树,若每个元素查找的概率相等,则二叉搜索树平均查找长度是结点在二叉搜索树的深度 的函数,即结点越深,则比较次数越多。
但对于同一个关键码集合,如果各关键码插入的次序不同,可能得到不同结构的二叉搜索树:

最优情况下,二叉搜索树为完全二叉树,其平均比较次数为:logN
最差情况下,二叉搜索树退化为单支树,其平均比较次数为:n/2
问题:如果退化成单支树,二叉搜索树的性能就失去了。那能否进行改进,不论按照什么次序插入关键码,都可以是二叉搜索树的性能最佳?
7、和 java 类集的关系
TreeMap 和 TreeSet 即 java 中利用搜索树实现的 Map 和 Set;实际上用的是红黑树,而红黑树是一棵近似平衡的二叉搜索树,即在二叉搜索树的基础之上 + 颜色以及红黑树性质验证,关于红黑树的内容后序再进行讲解。(这些就可以解决上面的问题!!!)
二、搜索
1、概念及场景
Map和set是一种专门用来进行搜索的容器或者数据结构,其搜索的效率与其具体的实例化子类有关。以前常见的搜索方式有:
(1)直接遍历,时间复杂度为O(N),元素如果比较多效率会非常慢
(2)二分查找,时间复杂度为,但搜索前必须要求序列是有序的
上述排序比较适合静态类型的查找,即一般不会对区间进行插入和删除操作了,而现实中的查找比如:
(1)根据姓名查询考试成绩
(2)通讯录,即根据姓名查询联系方式
(3)不重复集合,即需要先搜索关键字是否已经在集合中
可能在查找时进行一些插入和删除的操作,即动态查找,那上述两种方式就不太适合了,本节介绍的Map和Set是一种适合动态查找的集合容器。
2、模型
一般把搜索的数据称为关键字(Key),和关键字对应的称为值(Value),将其称之为Key-value的键值对,所以模型会有两种:
key(键)像 “大名”,是唯一标识;value(值)像 “小名”,是与这个唯一标识绑定的数据。
Map 中 key 必须唯一(重复 put 相同 key 会覆盖原有 value),就像每个人的 “大名” 在特定场景下唯一;但 value 可以重复(多个不同 key 能对应相同 value),比如 “张三” 和 “李四” 的小名可能都是 “小三”,这和现实中 “小名重复” 的情况一致。
(1)纯 key 模型,比如:
有一个英文词典,快速查找一个单词是否在词典中
快速查找某个名字在不在通讯录中
(2)Key-Value 模型,比如:
统计文件中每个单词出现的次数,统计结果是每个单词都有与其对应的次数:<单词,单词出现的次数>
梁山好汉的江湖绰号:每个好汉都有自己的江湖绰号
而Map中存储的就是key-value的键值对,Set中只存储了Key。
三、Map 的使用
Map 的官方文档:
https://docs.oracle.com/javase/8/docs/api/java/util/Map.html

1、关于Map的说明
Map是一个接口类,该类没有继承自Collection,该类中存储的是结构的键值对,并且K一定是唯一的,不能重复。
映射(Map) 是一种键值对(Key-Value Pair)的集合,用于建立 “键” 到 “值” 的关联关系。
2、关于Map.Entry<K,V>的说明
Map.Entry<K,V> 是Map内部实现的用来存放键值对映射关系的内部类,该内部类中主要提供了的获取,value的设置以及Key的比较方式。
1. 作为 Map.Entry<K, V> 接口的实现:
它是 Java 集合框架中键值对(Key-Value Pair)的载体,核心作用是封装 Map 中的一组 “键 - 值” 映射关系。
- 提供
getKey()、getValue()、setValue()等方法,用于访问和修改键值对(比如遍历Map时,每个Entry就是一个独立的键值对单元)。
2. 作为 红黑树的节点(以 TreeMap 底层为例):
在 TreeMap 的实现中,Entry<K, V> 同时承担了红黑树节点的角色,用于维护有序的键值对结构:
- 包含
key(键)、value(值),满足键值对的存储需求; - 包含
left(左子节点)、right(右子节点)、parent(父节点),构成二叉树的节点关系; - 包含
color(颜色标记),这是红黑树的核心属性(用于自平衡调整,保证树的高度均匀)。

Set<Map.Entry<String, Integer>> entries = map.entrySet();for(Map.Entry<String, Integer> entry : entries) {String key = entry.getKey();Integer val = entry.getValue();System.out.println("key: "+key +" val: "+val);}

-
实现
Map.Entry<K,V>:表明这是一个存储键值对(key和value)的节点,符合Map中键值对的封装需求(与TreeMap存储键值对的特性一致)。 -
红黑树节点的核心属性:
left、right:左、右子节点引用,是二叉树的基本结构;parent:父节点引用,用于红黑树旋转、调整时快速定位父节点;color:节点颜色(boolean color = BLACK,默认黑色),这是红黑树的标志性属性(红黑树节点只有红、黑两种颜色,用于维持树的平衡)。
Map 本身存储的是一系列键值对,但 Map 接口的设计更偏向于 “通过键找值”(如 get(key)、put(key, value))。而当需要遍历 Map 中的所有键值对时(比如用 map.entrySet() 遍历),就需要一个对象来单独表示每一组键值对,Map.Entry 正是这个角色。
注:Map.Entry<K,V>并没有提供设置Key的方法
3、Map 的常用方法说明

注:
(1)Map是一个接口,不能直接实例化对象,如果要实例化对象只能实例化其实现类TreeMap或者HashMap
(2)Map中存放键值对的Key是唯一的,value是可以重复的
(3)在TreeMap中插入键值对时,key不能为空,否则就会抛NullPointerException异常,value可以为空。但是HashMap的key和value都可以为空。
(4)Map中的Key可以全部分离出来,存储到Set中来进行访问(因为Key不能重复)。
(5)Map中的value可以全部分离出来,存储在Collection的任何一个子集合中(value可能有重复)。
(6)Map中键值对的Key不能直接修改,value可以修改,如果要修改key,只能先将该key删除掉,然后再来进行重新插入。
Set<Map.Entry<K,V>> entrySet 中Map.Entry<K,V>其实就是节点
(7)TreeMap和HashMap的区别【HashMap我们在最后会讲到】

3.Map 的使用案例
import java.util.TreeMap;
import java.util.Map;public static void TestMap(){Map<String, String> m = new TreeMap<>();// put(key, value):插入key-value的键值对// 如果key不存在,会将key-value的键值对插入到map中,返回nullm.put("林冲", "豹子头");m.put("鲁智深", "花和尚");m.put("武松", "行者");m.put("宋江", "及时雨");String str = m.put("李逵", "黑旋风");System.out.println(m.size());System.out.println(m);// put(key,value): 注意key不能为空,但是value可以为空// key如果为空,会抛出空指针异常//m.put(null, "花名");str = m.put("无名", null);System.out.println(m.size());// put(key, value):// 如果key存在,会使用value替换原来key所对应的value,返回旧valuestr = m.put("李逵", "铁牛");// get(key): 返回key所对应的value// 如果key存在,返回key所对应的value// 如果key不存在,返回nullSystem.out.println(m.get("鲁智深"));System.out.println(m.get("史进"));//GetOrDefault(): 如果key存在,返回与key所对应的value,如果key不存在,返回一个默认值System.out.println(m.getOrDefault("李逵", "铁牛"));System.out.println(m.getOrDefault("史进", "九纹龙"));System.out.println(m.size());//containKey(key):检测key是否包含在Map中,时间复杂度:O(logN)// 按照红黑树的性质来进行查找// 找到返回true,否则返回falseSystem.out.println(m.containsKey("林冲"));System.out.println(m.containsKey("史进"));// containValue(value): 检测value是否包含在Map中,时间复杂度: O(N)// 找到返回true,否则返回falseSystem.out.println(m.containsValue("豹子头"));System.out.println(m.containsValue("九纹龙"));// 打印所有的key// keySet是将map中的key防止在Set中返回的for(String s : m.keySet()){System.out.print(s + " ");}System.out.println();// 打印所有的value// values()是将map中的value放在collect的一个集合中返回的for(String s : m.values()){System.out.print(s + " ");}System.out.println();// 打印所有的键值对// entrySet(): 将Map中的键值对放在Set中返回了for(Map.Entry<String, String> entry : m.entrySet()){System.out.println(entry.getKey() + "--->" + entry.getValue());}System.out.println();
}
二、Set 的说明
Set 的官方文档https://docs.oracle.com/javase/8/docs/api/java/util/Set.html Set与Map主要的不同有两点:Set是继承自Collection的接口类,Set中只存储了Key。
在 Java 集合框架中,Set 是一个接口,它继承自Collection接口,用于存储不允许重复的元素,且不保证元素的顺序(部分实现类如TreeSet除外)。
核心特性
- 元素唯一性:
Set中不会存储重复的元素(判断重复的依据是元素的equals()方法和hashCode()方法,若自定义类需重写这两个方法以保证逻辑正确)。 - 无索引:
Set没有像List那样的索引机制,因此无法通过下标访问元素。 - 部分实现有序:
HashSet:无序(基于哈希表实现)。LinkedHashSet:保持元素的插入顺序(基于哈希表 + 链表实现)。TreeSet:按元素的自然顺序或自定义比较器顺序排列(基于红黑树实现)。
1、常见方法说明

public static void main2(String[] args) {Set<String> set = new TreeSet<>();set.add("abc");set.add("hello");set.add("ok");set.add("main");System.out.println(set);}

发现调用的是TreeSet

其实这个放到元素是放到TreeMap 里面,换句话说,我不管再Set里add 什么元素,key 的值是指定的,value 都是默认的Object 对象

注:
(1)Set是继承自Collection的一个接口类
(2)Set中只存储了key,并且要求key一定要唯一
(3)TreeSet的底层是使用Map来实现的,其使用key与Object的一个默认对象作为键值对插入到Map中的
(4)Set最大的功能就是对集合中的元素进行去重
(5)实现Set接口的常用类有TreeSet和HashSet,还有一个LinkedHashSet,LinkedHashSet是在HashSet的基础 上维护了一个双向链表来记录元素的插入次序。
(6)Set中的Key不能修改,如果要修改,先将原来的删除掉,然后再重新插入
(7)TreeSet中不能插入null的key,HashSet可以。
(8)TreeSet和HashSet的区别【HashSet我们在后面最后会讲到】

Set 的使用案例
import java.util.TreeSet;
import java.util.Iterator;
import java.util.Set;public static void TestSet(){Set<String> s = new TreeSet<>();// add(key): 如果key不存在,则插入,返回ture// 如果key存在,返回falseboolean isIn = s.add("apple");s.add("orange");s.add("peach");s.add("banana");System.out.println(s.size());System.out.println(s);isIn = s.add("apple");// add(key): key如果是空,抛出空指针异常//s.add(null);// contains(key): 如果key存在,返回true,否则返回falseSystem.out.println(s.contains("apple"));System.out.println(s.contains("watermelen"));// remove(key): key存在,删除成功返回true// key不存在,删除失败返回false// key为空,抛出空指针异常s.remove("apple");System.out.println(s);s.remove("watermelen");System.out.println(s);Iterator<String> it = s.iterator();while(it.hasNext()){System.out.print(it.next() + " ");}System.out.println();
}
目录
1、概念
2.二叉搜索的操作
1.查找
3.删除
1. cur.val = target.val:值的替换
2. 后续删除target的逻辑:调整树结构
三、Map 的使用
1、关于Map的说明
2. 作为 红黑树的节点(以 TreeMap 底层为例):
3、Map 的常用方法说明
Map 的使用案例
