如何保证RabbitMQ不出现消息丢失?
一.RabbitMQ消息丢失的三种情况

第一种:生产者弄丢了数据。生产者将数据发送到 RabbitMQ 的时候,可能数据就在半路给搞丢了,因为网络问题啥的,都有可能。
第二种:RabbitMQ 弄丢了数据。MQ还没有持久化自己挂了。
第三种:消费端弄丢了数据。刚消费到,还没处理,结果进程挂了,比如重启了。
二.RabbitMQ消息丢失解决方案

1.针对生产者
方案1 :开启RabbitMQ事务
可以选择用 RabbitMQ 提供的事务功能,就是生产者发送数据之前开启 RabbitMQ 事务channel.txSelect,然后发送消息,如果消息没有成功被 RabbitMQ 接收到,那么生产者会收到异常报错,此时就可以回滚事务channel.txRollback,然后重试发送消息;如果收到了消息,那么可以提交事务channel.txCommit。
// 开启事务
channel.txSelect();
try { // 这里发送消息
} catch (Exception e) { channel.txRollback();
// 这里再次重发这条消息
}
// 提交事务
channel.txCommit();
缺点:
RabbitMQ 事务机制是同步的,你提交一个事务之后会阻塞在那儿,采用这种方式基本上吞吐量会下来,因为太耗性能。
方案2:使用confirm机制
事务机制和 confirm 机制最大的不同在于,事务机制是同步的,你提交一个事务之后会阻塞在那儿,但是 confirm 机制是异步的
在生产者开启了confirm模式之后,每次写的消息都会分配一个唯一的id,然后如果写入了rabbitmq之中,rabbitmq会给你回传一个ack消息,告诉你这个消息发送OK了;如果rabbitmq没能处理这个消息,会回调你一个nack接口,告诉你这个消息失败了,你可以进行重试。而且你可以结合这个机制知道自己在内存里维护每个消息的id,如果超过一定时间还没接收到这个消息的回调,那么你可以进行重发。
//开启confirm
channel.confirm();
//发送成功回调
public void ack(String messageId){
}
// 发送失败回调
public void nack(String messageId){ //重发该消息
}
2.针对RabbitMQ
主要需要应对三点:
要保证rabbitMQ不丢失消息,那么就需要开启rabbitMQ的持久化机制,即把消息持久化到硬盘上,这样即使rabbitMQ挂掉在重启后仍然可以从硬盘读取消息;
如果rabbitMQ单点故障怎么办,这种情况倒不会造成消息丢失,这里就要提到rabbitMQ的3种安装模式,单机模式、普通集群模式、镜像集群模式,这里要保证rabbitMQ的高可用就要配合HAPROXY做镜像集群模式;
如果硬盘坏掉怎么保证消息不丢失。
(1)消息持久化
RabbitMQ 的消息默认存放在内存上面,如果不特别声明设置,消息不会持久化保存到硬盘上面的,如果节点重启或者意外crash掉,消息就会丢失。
所以就要对消息进行持久化处理。如何持久化,下面具体说明下。要想做到消息持久化,必须满足以下三个条件,缺一不可。
Exchange 设置持久化
Queue 设置持久化
Message持久化发送:发送消息设置发送模式deliveryMode=2,代表持久化消息
(2)设置集群镜像模式
先来介绍下RabbitMQ三种部署模式:
单节点模式:最简单的情况,非集群模式,节点挂了,消息就不能用了。业务可能瘫痪,只能等待。
普通模式:消息只会存在与当前节点中,并不会同步到其他节点,当前节点宕机,有影响的业务会瘫痪,只能等待节点恢复重启可用(必须持久化消息情况下)。
镜像模式:消息会同步到其他节点上,可以设置同步的节点个数,但吞吐量会下降。属于RabbitMQ的HA方案
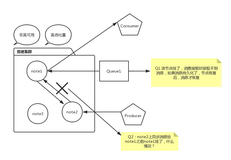
为什么设置镜像模式集群,因为队列的内容仅仅存在某一个节点上面,不会存在所有节点上面,所有节点仅仅存放消息结构和元数据。下面画了一张图介绍普通集群丢失消息情况:

如果想解决上面途中问题,保证消息不丢失,需要采用HA 镜像模式队列。
下面介绍下三种HA策略模式:
同步至所有的
同步最多N个机器
只同步至符合指定名称的nodes
命令处理HA策略模版:
rabbitmqctl set_policy [-p Vhost] Name Pattern Definition [Priority]
1)为每个以rock.wechat开头的队列设置所有节点的镜像,并且设置为自动同步模式
rabbitmqctl set_policy ha-all "^rock.wechat" '{"ha-mode":"all","ha-sync-mode":"automatic"}'
rabbitmqctl set_policy -p rock ha-all "^rock.wechat" '{"ha-mode":"all","ha-sync-mode":"automatic"}'
2)为每个以rock.wechat.开头的队列设置两个节点的镜像,并且设置为自动同步模式
rabbitmqctl set_policy -p rock ha-exacly "^rock.wechat" \
'{"ha-mode":"exactly","ha-params":2,"ha-sync-mode":"automatic"}'
3)为每个以node.开头的队列分配指定的节点做镜像
rabbitmqctl set_policy ha-nodes "^nodes\." \
'{"ha-mode":"nodes","ha-params":["rabbit@nodeA", "rabbit@nodeB"]}'
但是:HA 镜像队列有一个很大的缺点就是系统的吞吐量会有所下降。
(3)消息补偿机制
为什么还要消息补偿机制呢?难道消息还会丢失,没错,系统是在一个复杂的环境,不要想的太简单了,虽然以上的三种方案,基本可以保证消息的高可用不丢失的问题。
但是作为有追求的程序员来讲,要绝对保证我的系统的稳定性,有一种危机意识。
比如:持久化的消息,保存到硬盘过程中,当前队列节点挂了,存储节点硬盘又坏了,消息丢了,怎么办?
1)生产端首先将业务数据以及消息数据入库,需要在同一个事务中,消息数据入库失败,则整体回滚。

2)根据消息表中消息状态,失败则进行消息补偿措施,重新发送消息处理。

3.针对消费者
方案一:ACK确认机制
多个消费者同时收取消息,比如消息接收到一半的时候,一个消费者死掉了(逻辑复杂时间太长,超时了或者消费被停机或者网络断开链接),如何保证消息不丢?
使用rabbitmq提供的ack机制,服务端首先关闭rabbitmq的自动ack,然后每次在确保处理完这个消息之后,在代码里手动调用ack。这样就可以避免消息还没有处理完就ack。才把消息从内存删除。
这样就解决了,即使一个消费者出了问题,但不会同步消息给服务端,会有其他的消费端去消费,保证了消息不丢的case。
总结

如果需要保证消息在整条链路中不丢失,那就需要生产端、mq自身与消费端共同去保障。
生产端:对生产的消息进行状态标记,开启confirm机制,依据mq的响应来更新消息状态,使用定时任务重新投递超时的消息,多次投递失败进行报警。
mq自身:开启持久化,并在落盘后再进行ack。如果是镜像部署模式,需要在同步到多个副本之后再进行ack。
消费端:开启手动ack模式,在业务处理完成后再进行ack,并且需要保证幂等。
通过以上的处理,理论上不存在消息丢失的情况,但是系统的吞吐量以及性能有所下降。在实际开发中,需要考虑消息丢失的影响程度,来做出对可靠性以及性能之间的权衡。
