神经学习(4)神经网络的向量化实现与TensorFlow训练流程
一、向量化实现神经网络中的前向传播
1. 前向传播的基本过程
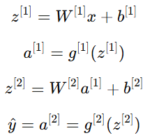
神经网络的核心思想是“输入 → 线性变换 → 激活函数 → 输出”。例如在一个简单的两层神经网络中:

其中:
x:输入向量(input vector)
:第 lll 层的参数(权重与偏置)
:激活函数(activation function)
:第 lll 层的输出(也称为激活值)
2. 非向量化与向量化的区别
(1)非向量化实现
早期写法中,我们可能会用循环遍历每个样本或每个神经元:
for i in range(m):z[i] = np.dot(W, x[i]) + ba[i] = sigmoid(z[i])
这种方式逻辑清晰,但在处理大量样本时效率极低,因为循环会反复进行矩阵运算。
(2)向量化实现
向量化(Vectorization)可以通过 NumPy 的矩阵运算一次性完成所有样本的计算:
Z = np.dot(W, X) + b
A = sigmoid(Z)
这样不仅更简洁,而且可以充分利用底层的 BLAS / GPU 并行计算,使得速度提升几十倍到上百倍。
优点总结:
避免显式循环,提高运算效率;
代码更简洁易读;
便于与深度学习框架(TensorFlow、PyTorch)集成。
二、如何在 TensorFlow 中训练神经网络
TensorFlow(TF)高度封装了神经网络的训练过程,可以通过三个主要步骤实现:
1. 指定模型结构(Define the Model)
你需要定义网络层的结构,比如输入层、隐藏层、输出层。
import tensorflow as tf
from tensorflow import kerasmodel = keras.Sequential([keras.layers.Dense(10, activation='relu', input_shape=(2,)),keras.layers.Dense(1, activation='sigmoid')
])
2. 编译模型(Compile the Model)
编译模型时,需要指定:
损失函数(Loss Function):用于衡量预测与真实值的差距;
优化器(Optimizer):用于更新参数;
评估指标(Metrics):用于监控训练效果。
model.compile(optimizer='adam',loss='binary_crossentropy',metrics=['accuracy'])
3. 训练模型(Train the Model)
使用 .fit() 方法进行训练:
model.fit(X_train, y_train, epochs=50, batch_size=32)
三、训练细节:逻辑回归与神经网络
训练逻辑回归(Logistic Regression)或神经网络的步骤非常类似:
1. 指定如何计算输出
给定输入 x 和参数 W,b,模型计算预测输出:
![]()
2. 指定损失函数
对于二分类问题,常用 二元交叉熵损失函数(Binary Cross Entropy Loss):
![]()
这里的 “二元” 指的是输出只有两类:0 或 1。
3. 调用优化算法
优化器会自动计算梯度并最小化损失函数,例如使用梯度下降(Gradient Descent)或 Adam 优化器。
四、常见激活函数(Activation Functions)
激活函数决定了神经网络的非线性特征,不同任务中会选择不同的函数:
| 激活函数 | 表达式 | 特点 | 常用场景 |
|---|---|---|---|
| 线性函数(Linear) | 无非线性 | 回归任务 | |
| Sigmoid | 输出范围 (0,1),可解释为概率 | 二分类输出层 | |
| ReLU(Rectified Linear Unit) | 收敛快,避免梯度消失 | 隐藏层常用 | |
| Softmax | 多分类概率分布 | 多分类输出层 |
五、总结
向量化计算让神经网络的前向传播更快更高效;
TensorFlow 提供了从模型构建、编译到训练的完整流程;
二元交叉熵是二分类任务最常用的损失函数;
激活函数的选择直接影响模型性能和收敛速度。
