高级机器学习作业(一)岭回归 + 信息熵 + Sigmoid + Softmax + PCA
目录
1. 最小二乘与岭回归
1.1 中心化
2. 信息熵与信息增益
1. 信息熵的上下界
2. 证明信息增益非负
3. Sigmoid 与 Softmax
3.1 Sigmoid
3.2 多元与Softmax l对β求导
3.3 Sigmoid 与 Softmax 关系
4. PCA 降维
4.1 X^T X
4.2 奇异值分解
4.3 将下列矩阵降至二维
1. 最小二乘与岭回归
![]()
![]()
左右把逆都乘到对面,X (X^T X + λI) = (X*X^T + λI) X
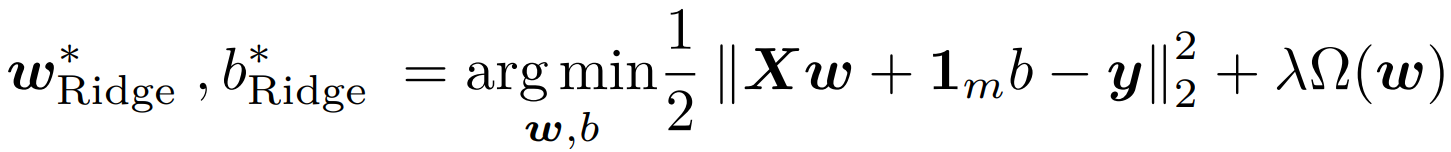
(2)给出岭回归 w*,b*的闭式解表达式,并与原始线性回归的结果比较。
闭式解 指的是可以通过显式的数学表达式直接求解的解,不需要通过迭代、逼近等数值方法。
![]()
岭回归则设置正则项 Ω(w) = ||w||^2
对 w 求偏导:
![]()
对 b 求偏导:
![]()
把 b代入,并整理得:

与普通最小二乘相比,b*是一样的,w*前面的 逆多了一项 2λI,
新增的一项能够避免矩阵的特征值趋于 0,从而方便矩阵的求逆操作。
1.1 中心化
![]()
z 先乘上一个全1行向量,得到每列求和,除以m即为每列平均值。
再乘上纵向量 1,即每列都减去均值。
目的:通过中心化,让 “均值信息” 被偏置b 单独捕捉,w捕捉特征波动对标签的影响。
可把之前的 w* 简化为:
![]()
2. 信息熵与信息增益
1. 信息熵的上下界
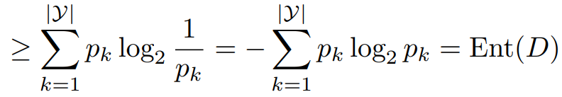
证明 ![]()
信息熵下界:全是同一类,结果即为0
上界:p*log(1/p) Jensen不等式 (系数移到里面 正好是1) log x 是凹函数


2. 证明信息增益非负

定义随机变量 Y 为类别标记,定义随机变量 A 为属性 a 的取值。可得条件熵 H(Y|A)为
即为对 A,Y的二维求和:

信息增益即可写为 H(Y) - H(Y|A).

前者也拆为 二维累加

可以看做 P = P(y,a) Q = P(y)P(a) 两个分布的 KL散度 是非负的。
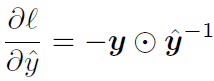
3. Sigmoid 与 Softmax
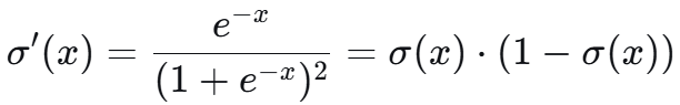
3.1 Sigmoid

![]()

![]()

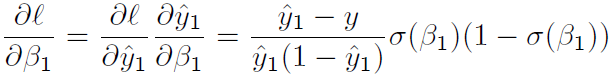
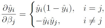
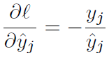
3.2 多元与Softmax l对β求导
多元损失函数
Softmax 
单元素求导与整个向量:
逐元素除法
对 Softmax 求导,分母设为 Z。yi 对 βj 求导,
若 i ≠ j,分子是常数,即为
![]()
若 i = j,

![]()
写成矩阵形式为 
链式法则相乘得:

3.3 Sigmoid 与 Softmax 关系

所以 Softmax 函数可以看成 Sigmoid 函数在多分类问题中的一个推广。
4. PCA 降维
给定 d 维空间中 m 个样本构成的矩阵为 ![]()
下面的讨论中 忽略系数 1/(m-1)
4.1 X^T X
![]()
二者的特征值有什么联系?受此启发,请思考当特征维度远大于样本个数时(d ≫ m),使用特征值分解求解PCA 应如何执行将更加高效?
对称,并且![]()

![]()
d>>m时,X^T X 是d*d的,X X^T是m*m的,后者小 所以特征值分解的成本 d*m^2 低于前者。
启发:d>>m 时,先算 X X^T 的特征值 λ 和特征向量 u,通过 X^T u 得到 X^T X 的特征向量。
4.2 奇异值分解
对角线元素从大到小排序,截胡非零项前 r 个。
维度分别为 (m*r) * (r*r) * (r*d)
在实现 PCA 时,往往使用奇异值分解(SVD) 而非特征值分解求解。
(1)请说明奇异值与特征值的关系。
![]()
所以 协方差矩阵的特征值分解的向量矩阵 -> 对应奇异值分解的向量矩阵。
特征值为奇异值的平方。
(2)如果可以获得 X 的奇异值分解,应如何使用PCA 对 X 进行降维?
对 d 维度进行截尾,
![]()
V的列向量即为投影特征向量, U Σ 即为降维后的结果。
(3) 请分析使用SVD 求解PCA 相比于使用特征值分解求解PCA 的优势。
时间复杂度分析:
都要(1)数据中心化:遍历整个矩阵来计算每个特征的均值并减去它。 O(m*d)
(2)计算协方差矩阵 O(d*m*d) d*d 的矩阵特征值分解 O(d^3)
如果是 SVD 复杂度 O(min(m,d)*m*d),随机 SVD 复杂度 O (k*m*d)
4.3 将下列矩阵降至二维

对 X 求列均值为 (4,2) 中心化后为 
协方差矩阵求特征值和特征向量
投影与变换回来 分别为
![]()
