糖尿病视网膜病变图像分类数据集
本数据集包含不同类型的糖尿病视网膜病变影像样本:轻度病变、中度病变、增殖性病变和重度病变。旨在构建高精度的图像分类模型,实现对糖尿病视网膜病变健康状态的自动识别与判定。通过对大量标注清晰的糖尿病视网膜病变影像进行深度学习训练,模型能够自动提取糖尿病视网膜病变的关键特征,区分不同病变类型,从而为临床提供辅助诊断依据。该数据集的建立旨在推动深度学习与人工智能技术在糖尿病视网膜病变早期筛查与智能诊断中的应用,助力实现糖尿病视网膜病变医疗影像分析的标准化与智能化。
数据集概览
数据图像:

图1 样本图像
数据类型:

表1 数据类型与格式
数据规模:
(1)数据集划分饼图

图2 数据集划分饼图
数据集类别

表3 类别定义
数据集来源

表4 数据集来源与说明
数据集用途
本数据集用于糖尿病视网膜病变影像的分类模型训练与验证,包含五类样本:轻度病变(Mild)、中度病变(Moderate)、暂无病变(No_DR)、增殖性病变(Proliferative_DR)和重度病变(Severe)。可应用于以下研究与开发方向:
(1)模型训练:支持基于深度学习的图像分类模型(如ResNet50、VGG16、Swin Transformer)进行糖尿病视网膜病变影像特征学习。
(2)性能评估:用于测试模型在不同病变类型分类任务中的准确率、召回率、F1值等性能指标。
(3)特征分析:研究不同类型糖尿病视网膜病变影像在结构、纹理及组织特征等方面的差异。
(4)系统开发:为糖尿病视网膜病变智能诊断系统、医学影像辅助诊断平台及健康筛查系统提供数据支持。
数据集须知
(1)数据来源:基于公开的糖尿病视网膜病变影像数据集,仅限科研与教学用途。
(2)数据结构:包含训练集与测试集,分为五类样本(轻度病变、中度病变、增殖性病变、重度病变、无病变)。
(3)文件格式:图像文件为.jpg格式,文件命名与类别严格对应。
(4)使用要求:需遵守糖尿病视网膜病变医学影像数据隐私与伦理保护相关规定,引用时须注明数据来源。
(5)适用范围:适用于糖尿病视网膜病变影像识别、分类、特征提取及智能诊断系统研究。
数据集性能
训练与验证准确率和损失曲线:

图3 训练与验证准确率和损失曲线线
该图展示了模型在训练和验证过程中的准确率和损失变化。训练准确率稳步上升,接近 90%,而验证准确率也随之提高,显示出模型在不同数据集上的良好适应性。训练损失和验证损失均呈下降趋势,表明模型在训练过程中有效地减少了误差,并且未发生明显的过拟合现象。这表明模型具有较强的泛化能力,能够在未见数据上保持较好的表现。
混淆矩阵热力图:

图4 混淆矩阵热力图
混淆矩阵展示了不同类别的预测结果,其中轻度病变的准确率较高(0.96),中度病变的召回率较低(0.69),这表明模型在处理轻度病变时表现较好,但在中度病变的分类上存在一定挑战。其他类别,如无病变、增殖性病变和重度病变,表现较为均衡,分类精度较高。这表明模型在糖尿病视网膜病变的诊断中能较好地区分不同的病变类别。
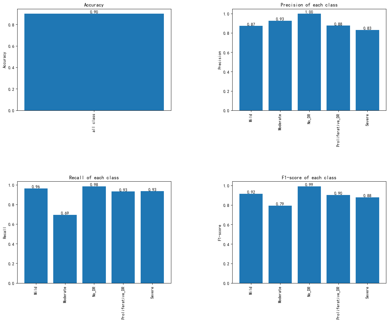
各类认知障碍的分类性能评估:准确率、精确率、召回率与F1分数图

图5 各类认知障碍的分类性能评估:准确率、精确率、召回率与F1分数图
该图展示了模型在不同类别上的精确度(Precision)、召回率(Recall)和 F1 分数。整体而言,F1 分数较高,尤其是在无病变类别(1.00)和增殖性病变类别(0.90)上表现突出,说明模型在这两个类别上的预测能力非常强。其他类别也表现良好,尤其是轻度病变和重度病变,其精确度和召回率都接近于 1,这进一步证明了模型在这些任务中的优异性能。
