深度学习——Logistic回归中的梯度下降法
4.5 梯度下降法
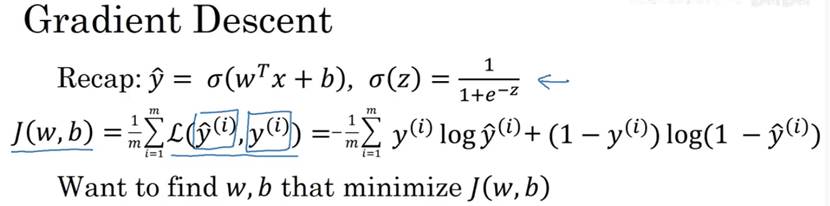
损失函数是衡量单一训练样例的效果,成本函数用于衡量w和b的效果,在全部训练集上衡量。下面我们讨论如何使用梯度下降法(the gradient descent algorithm)去训练或者学习训练集上的参数w和b。
下面是熟悉的logistic回归算法,第二行是成本函数,定义为平均值。即1/m的损失函数之和。损失函数可以衡量算法的效果。每一个训练样例,都输出
,把它和基本真值标签
进行比较,等号右边是完整的公式。

成本函数衡量了参数w和b在训练集(training set)上的效果,要学习到合适的参数w和b,即为使得成本函数尽可能小的w和b,下面是梯度算法介绍。横轴表示参数w和b,实际上,w可以是更高维的,为了方便绘图,w和b都是一个实数。成本函数是在水平轴w和b上的曲面,曲面的高度代表J(w,b)在某一点的值,我们需要找到w和b使得对应的成本函数最小,可以看到成本函数J(w,b)是一个凸函数,像一个碗。为了找到更好的w和b,我们要做的就是用某初始化的w和b(在图中表示为小红点),对于logistic回归来说,几乎任意初始化都是有效的,通常是0。梯度下降法就是从初始的点开始,朝着最抖得下坡方向走一步,在梯度下降一步后或许在那里停下,这是梯度下降的一次迭代,两次迭代或许会抵达那里。这张图片阐述了梯度下降法。

让我们来看一些函数,你希望得到最小化的J(w),函数可能如下图,为了方便,先忽略b,用一维曲线代替多维,梯度下降法的步骤是:重复执行以下的更新操作,我们更新w的值,用:=来表示更新w。在算法收敛前,重复这样去做。α表示学习率,学习率可以控制每一次迭代或者梯度下降法中的步长。之后会讨论如何选择α。

现在w在初始值位置(右侧最高点),对应成本函数J(w)在曲线上的一点,导数的定义是曲线在这一点的斜率,这里导数是正的,新的w值等于w减去学习率乘以导数,因此w接着向左走一步。算法使得w渐渐减小。反之,如果w在左侧最高点,此时导数是负的,w值等于w减去学习率乘以导数,w就会渐渐增大。无论w在哪里,梯度下降法会朝着全局最小值方向移动。
当前J(w)的梯度下降法,只有参数w,在logistic回归算法中,成本函数是一个含有w和b的函数,此时,梯度下降执行以下两个式子更新w和b。在编写代码时,dJ/dω用dω表示,dJ/db用db表示。


另外,想要明确一下在微积分的符号约定中,dJ/dω表示为αJ/αω,当J有两个以上的变量时,使用α来代表偏导数符号。使用α还是d取决于函数的变量个数。

4.6 计算图
在这里举一个比logistic回归更简单的神经网络的例子。J是a,b,c的函数:
![]()
![]()
![]()
![]()
有三个步骤,计算u=bc,计算v=a+u,计算J=3v。可以画成如下流程图,举个例子,对a,b,c赋值为5,3,2,此时J=33。可以看到这样一个从左到右的流程可以计算出J。

下图为整理后的计算图,通过反向传播算法计算导数,实际上核心就是链式传播法则,这里吴恩达老师的视频讲的比较基础。
![]()

4.7 logistic回归中的梯度下降法
回顾一下logistic回归中的损失函数,现在只考虑单个样本,关于该样本的损失函数定义如下,a是logistic回归的输出,y是真值标签值(ground truth label),写在写出该样本的偏导数流程图,假设样本只有两个特征x1和x2,为了计算z,我们需要输入参数w1、w2和b。然后,计算。最后计算
。
![]()
![]()

在logistic回归中,我们要做的是,变换参数w和b的值,来最小化损失函数,在前面我们已经通过前向传播步骤,在单个样本上计算损失函数。现在让我们讨论如何反向传播计算偏导数。下面是计算图。

如果想要计算损失函数
的导数,首先要向前一步,计算损失函数关于a的导数,在代码中,使用da来表示这个变量,现在进一步计算dz,损失函数关于dz的导数。最后一步,计算关于w1、w2和b的导数





最后,更新w和b:
![]()
![]()
![]()

