数学概念 复习自用
好难顶,这也不会,那也不会,
一、数学符号与公式的介绍:
1. 连乘符号 :
:
含义:对 a_i 求连乘,从下标 i=1到下标 i=m
英文表达:the product of a_i from i equals 1 to m
latex 表达:\prod_{i=1}^{m} a_i
2. 概率密度:
对于连续性的变量,如身高、体重、温度、误差大小等,我们无法谈论“某个精确值的概率”
因为P(我的身高正好是 180.00000000 cm) = 0,因为在179cm和181cm之间,有无穷多个可能的身高值,任何一个精确值的概率都是1除以无穷大,等于0。这显然不是描述情况的合适方式,因此,我们换一种方式来描述可能性,这就是概率密度。
我们不再问“在某一点”的概率,而是问“在某一极小区间内”的概率。概率密度 f(x) 在点 x 处的值,本身不是概率,它是一个比率或者强度。含义为:在点 x 附近,情况发生的集中程度。
即,概率为 概率密度在对应短区间上的积分:
一个区间 [a, b] 的概率,等于概率密度函数PDF曲线下方,从 a 到 b 这一段的面积。
P(a ≤ x ≤ b) = ∫ [a, b] f(x) dx
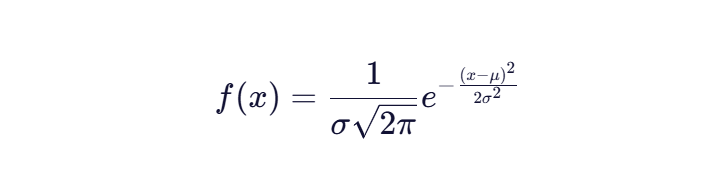
例如,概率密度函数为高斯函数,就会画出如下所示的钟型图:

而高斯概率密度函数表达式为:

