从 DeepWalk 到 Node2Vec:如何让图学习“更聪明”?
在图神经网络(GNN)兴起之前,图嵌入(Graph Embedding) 是处理社交网络、知识图谱等复杂结构数据的重要手段。其中,DeepWalk 和 Node2Vec 是两个里程碑式的工作。它们将自然语言处理中的 Word2Vec 思想迁移到图结构中,实现了节点的低维向量表示。
本文将带你深入理解 Node2Vec 的核心思想——为什么它比 DeepWalk 更智能? 我们将通过手绘图示、数学公式和实际案例,一步步揭示其背后的奥秘。
本文总结:

🔍 一、从 DeepWalk 开始:图上的“词向量”
1.1 DeepWalk 的基本思路
DeepWalk 的灵感来源于 Word2Vec:
把图中的节点看作“词”,把随机游走生成的路径看作“句子”,然后用 Skip-gram 模型训练这些“句子”,得到每个节点的向量表示。
例如,在一个社交网络中:
A → B → C → D → E
这条路径就像一句话:“A 和 B 是朋友,B 和 C 是朋友……”
我们可以通过这个序列来学习 A、B、C 等节点之间的关系。
1.2 DeepWalk 的局限性
然而,DeepWalk 的随机游走是均匀采样邻居节点,即每个邻居被选中的概率相等。这导致了两个问题:
- 无法控制探索策略:既不能深入局部结构(DFS),也不能广泛探索全局结构(BFS)
- 信息利用不充分:忽略了节点之间的拓扑距离和上下文关系
👉 这正是 Node2Vec 出现的原因!
🚀 二、Node2Vec:可调的智能游走
2.1 Node2Vec 的核心改进
Node2Vec 在 DeepWalk 基础上做了两大升级:
| 特性 | DeepWalk | Node2Vec |
|---|---|---|
| 随机游走方式 | 均匀采样 | 可控偏置 |
| 是否支持 DFS/BFS | 否 | ✅ 支持 |
| 参数调节能力 | 无 | 有 p 和 q |
✅ Node2Vec 保留了 DeepWalk 的随机游走 + Word2Vec 的训练框架,但引入了搜索偏差(search bias) 来指导游走方向。
🧠 三、Node2Vec 的三大关键设计
3.1 定义邻域:BFS vs DFS
以如下图为例:
C|A/ \B D - E - F
假设当前节点为 A,前一节点为 B。
我们可以定义两种邻域:
- BFS 邻域(广度优先):
{B, C, D}—— 包括直接邻居和回退点 - DFS 邻域(深度优先):
{D, E, F}—— 沿着一条路径深入探索
⚠️ 但注意:Node2Vec 并不会“选择”某个邻域,而是通过参数调节游走倾向。
3.2 引入搜索偏差:a(i,k)
这是 Node2Vec 的灵魂所在!
核心思想:
当我们在节点
j上,前一节点是i,要决定下一步去哪个邻居k时,不应该完全随机,而应考虑:
k是否是前一节点i?k是否靠近i?- 我们希望是“深入探索”还是“广泛扫描”?
为此,Node2Vec 定义了一个非归一化转移概率:
![]()
其中:
:边 (j,k)的权重(通常为 1)- a(i,k) :搜索偏差(search bias),取决于
i和k之间的距离
3.3 搜索偏差函数 a(i,k)

参数含义:
| 距离 | 含义 | 示例 |
|---|---|---|
k == i,即回到前一节点 | 回退 | |
k 是 j 的邻居,且不是 i | 普通邻居 | |
k 是 j 的邻居,但与 i 不直接相连 | 探索新区域 |
参数作用:
| 参数 | 作用 | 效果 |
|---|---|---|
p(返回参数) | 控制是否回退到前一节点 | - p < 1:鼓励回退 → 类似 DFS- p > 1:抑制回退 → 类似 BFS |
q(进出参数) | 控制是否探索远离当前子图的节点 | - q < 1:倾向于访问远距离节点 → 类似 BFS- q > 1:倾向于停留在局部 → 类似 DFS |
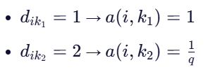
3.4 图解:非归一化转移概率
以下图为例:
k₁/ \/ \i ---- j ---- k₂
- 当前节点:
j - 前一节点:
i - 邻居:
k₁,k₂
假设:

则非归一化概率为:

最终归一化后:

💡 如果
q = 0.5,则k₂的概率更高 → 更愿意探索远方!
🎯 四、为什么 Node2Vec 更强大?
1. 灵活可控的游走策略
| p | q | 游走风格 | 适用场景 |
|---|---|---|---|
| 1 | 1 | 随机游走 | 通用任务 |
| 0.5 | 1 | 深入局部(DFS) | 社区发现、聚类 |
| 1 | 0.5 | 广泛探索(BFS) | 全局结构建模、推荐系统 |
2. 兼顾局部与全局结构
- 小
q→ 探索更多节点 → 学习全局结构 - 小
p→ 回溯频繁 → 深入局部结构
3. 数学表达清晰,可解释性强
- 使用
a(i,k)显式建模了“上下文”对转移的影响 - 参数直观,便于调参和分析
🧪 五、实战应用建议
| 任务 | 推荐参数 |
|---|---|
| 社区发现 | p=0.5, q=1(强调局部结构) |
| 推荐系统 | p=1, q=0.5(强调全局连接) |
| 图分类 | p=1, q=1(平衡) |
✅ 实际使用中,可通过网格搜索寻找最优
p和q。
📚 六、总结:Node2Vec 的本质
Node2Vec 的核心是:让图上的随机游走变得“智能”。
它没有改变 DeepWalk 的整体框架,却通过引入 搜索偏差 和 两个可调参数 p 和 q,实现了对游走行为的精细控制。这使得它既能像 DFS 一样深入挖掘局部社区,也能像 BFS 一样广泛扫描全局结构。
🧩 附录:Node2Vec vs DeepWalk 对比表
| 特性 | DeepWalk | Node2Vec |
|---|---|---|
| 随机游走方式 | 均匀采样 | 偏置采样 |
| 是否支持 DFS/BFS | 否 | ✅ 支持 |
| 参数调节 | 无 | 有 p, q |
| 局部结构捕捉 | 一般 | 强 |
| 全局结构捕捉 | 一般 | 强 |
| 可解释性 | 低 | 高 |
📖 参考资料
- Perozzi, B., et al. (2014). "DeepWalk: Online Learning of Social Representations."
- Grover, A., & Leskovec, J. (2016). "node2vec: Scalable Feature Learning for Networks."
📌 欢迎关注我的博客,获取更多 AI 与图学习实战教程!
如果你正在做推荐系统、社交网络分析或知识图谱嵌入,不妨试试 Node2Vec —— 它或许是你通往智能图分析的第一步!
