【C++】手搓AVL树
手搓AVL树
- 手搓AVL树
- github地址
- 0. 前言
- 1. 二叉搜索树的缺陷
- 性能分析
- 2. 什么是AVL树
- 概念与定义
- 平衡因子
- 基本性质
- 为什么AVL树不要求左右子树的高度为0呢?
- 3. AVL树的实现
- 整体架构设计
- AVL树的结点定义
- AVL树设计
- AVL树的操作实现
- 插入
- 1. 本质
- 2. 思路简述
- 3. 二叉搜索树的插入逻辑
- 4. 更新平衡因子
- 1. 插入后父节点的平衡因子变化分析
- 2. 平衡因子更新后的三种情况:
- 3. 更新平衡因子的最坏情况
- 4. 更新平衡因子的代码实现
- 旋转操作
- 旋转的目的
- 一、左单旋
- 触发条件
- 左单旋原理与核心操作
- 代码实现
- 二、右单旋
- 触发条件
- 右单旋原理与核心操作
- parent为根节点的情况:
- parent为某棵树的子树的情况:
- 代码实现
- 三、单旋有效与失效的场景
- 仅单旋有效的场景总结:
- 单旋失效场景总结:
- 四、双旋的分析
- 双旋的简单样例
- 双旋的本质
- 双旋后平衡因子的更新
- 五、左右双旋
- 触发条件
- 代码实现
- 六、右左双旋
- 触发条件
- 代码实现
- 插入的总结与完整代码
- 总结流程:
- 完整插入代码
- AVL树的删除
- 4. 验证操作
- 求树的高度
- 判断树是否是AVL平衡树
- 测试 AVL树的正确性
- 4. 完整代码实现
- 5. 结语
手搓AVL树
github地址
有梦想的电信狗
0. 前言
之前的文章我们实现了二叉搜索树(BST),虽然它能在平均情况下提供不错的查找性能,但当输入数据趋于有序时,BST 会退化为链表结构,查找效率将从 O(logN)O(\log N)O(logN) 直降为 O(N)O(N)O(N) —— 这在工程中几乎是无法接受的。
为了解决这种性能退化问题,我们引入了更“聪明”的树形结构 —— AVL 树。
它通过在插入和删除过程中实时调整自身结构,让整棵树始终保持“平衡”状态,使得查找、插入、删除操作的时间复杂度都能稳定在 O(logN)O(\log N)O(logN)。
本文将从最基础的平衡因子概念讲起,逐步实现一棵功能完整的 AVLTree<K, V> 模板类,详细剖析其核心操作:
- 插入逻辑的演化过程(从 BST 到 AVL)
- 平衡因子的更新与传播机制
- 单旋与双旋的触发与实现原理
- 旋转后平衡因子的维护策略
文章最后还将通过数千万随机数据进行验证,确保代码逻辑与性能的可靠性。让我们一起手搓出一棵真正能“自我修复”的平衡二叉搜索树吧 🚀
1. 二叉搜索树的缺陷
性能分析
- 查找 / 插入 / 删除(平均)时间复杂度:O(h),h 为树高。
- 空间:迭代版本额外
O(1);递归版本额外O(h)递归栈。 - 拷贝构造/Copy: O(n) 时间与 O(h) 递归栈。

结点数为N的二叉搜索树,最多查找高度次。对于随机插入的平衡树平均 h = O(log n);最坏情况下 h = O(n)。
-
最优情况下:⼆叉搜索树为完全⼆叉树(或者接近完全二叉树),其高度为:
log2 N -
最差情况下:⼆叉搜索树(退化为单链表),其高度为:
N,查找效率退化为O(N),这也正是二叉搜索树的缺陷
综合而言,⼆叉搜索树增删查改时间复杂度为: O(N),这样的效率显然是⽆法满⾜我们需求的
- 今天我们来认识二叉搜索树的进阶形态——
AVL树,满足我们在内存中存储和搜索数据高性能需求。
2. 什么是AVL树
概念与定义
- 二叉搜索树虽可以缩短查找的效率,但如果数据有序或接近有序二叉搜索树将退化为单支树,查找元素相当于在链表中搜索元素,效率低下。
AVL树:是一种 自平衡二叉搜索树,由苏联数学家 Georgy Adelson-Velsky 和 Evgenii Landis 在 1962 年提出,其名称来源于这两位发明者的名字缩写。
AVL树是最早发明的 自平衡二叉搜索树- 当向二叉搜索树中插入新结点后,如果能保证每个结点的左右子树高度之差的绝对值不超过1(需要对树中的结点进行调整),即可降低树的高度,从而减少平均搜索长度。
AVL树是在普通二叉搜索树的基础上增加了平衡条件,确保树始终保持近似平衡状态AVL树要么是空树,要么是满足以下性质的二叉搜索树:- 其左、右子树也都是 AVL 树
- 左、右子树高度之差(简称平衡因子)的绝对值不超过 1
如果一棵二叉搜索树是高度平衡的,它就是AVL树。如果它有n个结点,其高度可保持在O(log2nlog_2 nlog2n),搜索时间复杂度 O(log2nlog_2 nlog2n)
平衡因子
- AVL 树是一颗高度平衡的搜索二叉树,通过控制高度差去控制平衡
AVL树可以始终保持平衡状态,是因为在实现 AVL 树时,我们引入了 平衡因子(balance factor) 的概念:
每个节点都有一个平衡因子,其值等于该节点右子树的高度减去左子树的高度
- 因此:任何节点的平衡因子只能是 0、1 或 - 1
当然平衡因子并非 AVL 树的必需属性,因为AVL 树的维持平衡不一定需要平衡因子,也可以动态计算高度或其他方法使 AVL 树保持平衡
- 使用平衡因子实现只是实现平衡的其中一种方式
但平衡因子如同一个 “风向标”:
- 可以更方便我们去观察和控制树是否平衡
- 高效控制树的平衡维护过程 —— 通过判断平衡因子是否超出
[-1, 1]范围 - 可快速定位需要调整的节点,进而通过旋转操作恢复树的平衡
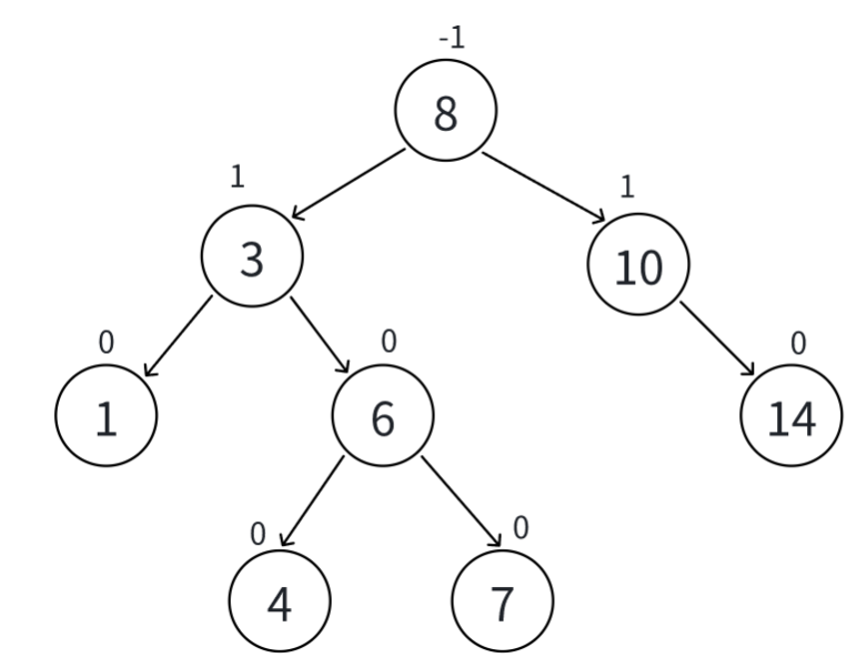
以下就是一颗AVL树,同时附有相应的平衡因子

而下面这棵树就不是一棵 AVL 树,因为 10 这个节点它的左右子树的高度差超过了 1

基本性质
核心特点:
- 高度近似平衡:
AVL树通过不断调整树的结构,保证树的左右子树高度差始终在允许范围内,使得树的高度相对较低。- 例如:在插入或删除节点后,会通过旋转操作(左旋、右旋、左右双旋、右左双旋)来重新平衡树,从而维持高度平衡。
- 查找效率稳定:
- 由于
AVL树高度平衡,其高度近似于O(logN)O(logN)O(logN),其中n是节点数量,这意味着在 AVL 树中进行查找操作时,时间复杂度稳定在 O(logN)O(log N)O(logN) - 相比于普通二叉搜索树在最坏情况下可能退化为链表,查找时间复杂度为O(n)O(n)O(n),AVL 树查找效率更高且稳定
- 由于
基本操作:
- 插入:
- 新节点插入后,从插入节点开始向上检查祖先节点的平衡因子。如果发现某个节点的平衡因子绝对值超过 1,就需要进行旋转操作来恢复平衡。
- 查找:
- 按照普通二叉搜索树的查找逻辑查找,时间复杂度为O ( log N )
优缺比较:
-
优点:查找效率高且稳定,时间复杂度为O ( log N ) ,适用于对查找效率要求较高,且插入和删除操作相对不太频繁的场景。
-
缺点:每次插入和删除操作都可能需要进行旋转来维持平衡,这会增加额外的计算开销,导致插入和删除操作的时间复杂度比普通二叉搜索树要高一些。
为什么AVL树不要求左右子树的高度为0呢?
为什么 AVL 树要求左右子树的高度差不超过 1,而非必须为 0 呢?
从平衡的理想状态看,高度差为 0 确实更平衡,但实际情况中,部分树的结构无法满足这一要求:
- 当树的节点数为 2、4 ……等特定数量时,最优的高度差只能是 1,无法强制达到 0
- 这说明
AVL树的平衡条件是在 “绝对平衡” 和 “实现可行性” 之间的权衡设计
3. AVL树的实现
整体架构设计
AVL树的结点定义
- AVL树为模版实现
template<class K, class V>
struct AVLTreeNode {pair<K, V> _kv; // 键值对// 三叉链AVLTreeNode<K, V>* _left; AVLTreeNode<K, V>* _right;AVLTreeNode<K, V>* _parent; // 插入结点后,需要更新平衡因子,有了_parent,可以很方便的找父节点int _balanceFactor; // balance factor 平衡因子,用于判断当前子树 有没有出现不平衡的问题// Node结点 的构造函数AVLTreeNode(const pair<K, V>& kv):_kv(kv), _left(nullptr), _right(nullptr),_parent(nullptr), _balanceFactor(0) // 新结点 初始的平衡因子为 0{ }
};
- 搜索树常用于存储键值,方便查找关键字,这里我们使用
std::pair<K, V>来存储我们的键值对 - 结点中的成员变量:采用三叉链的方式实现
AVLTreeNode<K, V>* _left:指向左孩子的指针AVLTreeNode<K, V>* _right:指向右孩子的指针AVLTreeNode<K, V>* _parent:指向父节点的指针- 插入结点后,需要更新平衡因子,有了
_parent,可以很方便的找父节点
- 插入结点后,需要更新平衡因子,有了
int _balanceFactor:平衡因子,用于判断当前子树 有没有出现不平衡的问题
- 默认构造函数
AVLTreeNode(const pair<K, V>& kv):- 将三个指针初始化为
nullptr,初始化平衡因子为0 - 使用
kv初始化类内的_kv成员
- 将三个指针初始化为
- 结点采用
struct设计,默认权限为public,方便下文的AVLTree类访问成员
AVL树设计
- 我们采用的设计:左右子树高度之差的绝对值 小于等于 1 (-1 0 1)
- 方便起见:我们使用 平衡因子 == 右子树的高度 - 左子树的高度
template<class K, class V>
class AVLTree
{typedef AVLTreeNode<K, V> Node;
private:AVLTreeNode<K, V>* _root = nullptr;public:// ... 对外共有接口
private:// ... 内部私有成员函数
};
AVLTreeNode<K, V>* _root = nullptr:初始时根节点为空typedef AVLTreeNode<K, V> Node:结点类型重定义,简化书写
AVL树的操作实现
插入
1. 本质
插入操作的本质是:
AVL树的插入操作是在二叉搜索树插入逻辑基础上,增加了平衡维护的关键步骤,核心要解决 “插入新节点可能破坏树的平衡,导致查询效率下降” 的问题。
2. 思路简述
插入操作思路的简述:
AVL 树插入 == 二叉搜索树插入(找位置、挂节点) + 平衡修复(更新平衡因子 + 旋转调整)
流程分 5 步:
- 空树处理:树为空时,新节点直接作为根
- 查找插入位置:从根出发,**按二叉搜索树规则(小往左、大往右)**找到新节点的父节点
parent,确定挂左还是挂右 - 挂载新节点:创建新节点,连接到
parent的 左 or 右 子树,并维护parent指针 - 更新平衡因子:从新节点的父节点开始,向上更新路径上所有节点的平衡因子(
_balacnFactor),反映子树高度变化 - 平衡修复:根据平衡因子判断是否失衡(绝对值 ≥ 2),若失衡则通过旋转操作(单旋 / 双旋)恢复平衡,同时更新旋转后节点的平衡因子
3. 二叉搜索树的插入逻辑
public:bool insert(const pair<K, V>& kv) {// 先走二叉搜索树的插入逻辑if (_root == nullptr) {_root = new Node(kv);return true;}// _root 不为空时的操作Node* parent = nullptr;Node* curNode = _root;// 先找空,找到一个可以插入的位置while (curNode){if (kv.first < curNode->_kv.first){parent = curNode;curNode = curNode->_left;}else if (kv.first > curNode->_kv.first){parent = curNode;curNode = curNode->_right;}// 搜索树中不允许有重复的值 对于已有值,不插入elsereturn false;}// while 循环结束后,代表找到了可以插入的位置// 找到位置了,但父节点不知道 新结点 比自己大还是比自己小,需要再次判断curNode = new Node(kv);if (curNode->_kv.first < parent->_kv.first)parent->_left = curNode;elseparent->_right = curNode;curNode->_parent = parent;// 以上是二叉搜索树的插入逻辑,这样插入可能导致树不平衡,从而导致查找效率退化为 O(n)// 以下是AVL树对二叉搜索树 进行的 控制平衡 操作 的代码 // 控制平衡 ... }
详细讲解二叉搜索树迭代插入的逻辑):
- 插入时,需要先找到空位置,默认插入的元素不能重复
- 空树特判:若
_root == nullptr,直接把根设为新节点(new Node(key))。 - 否则从
_root向下查找插入位置:- 使用
curNode跟随,parent保存其父节点(因为当curNode为nullptr时需要把新节点挂到parent)。 - 如果
kv.first > curNode->_kv.first,curNode沿右子树移动;kv.first < curNode->_kv.first时,curNode沿左子树移动。 - 如果
kv.first == curNode->_kv.first,返回false(二叉搜索树默认不允许重复键)。
- 使用
- 当
curNode走到nullptr(找到空位)后,代表curNode已找到合适的可以插入的位置。 new Node(kv)建节点- 要插入新结点,必须修改
curNode的父节点内的左右孩子指针,但父节点并不知道要插入的key比自己大还是自己小,只知道下面由位置可以插入,不知道插入到哪个位置 - 因此要根据
key与parent->_key的比较把它接为左/右子节点。- 如果
curNode->_kv.first > parent->_kv.first→ 插到右边 (parent->_right = curNode) - 如果
curNode->_kv.first < parent->_kv.first→ 插到左边 (parent->_left = curNode)
- 如果
- 要插入新结点,必须修改
-
总结:
✔️ 循环结束时,位置已经找到了,就是
curNode == nullptr的地方。
✔️ 但是插入操作不能直接修改curNode,必须通过parent去改指针。
✔️ 而parent自己并不知道空位是在左边还是右边,所以需要再比较一次来决定。
4. 更新平衡因子
1. 插入后父节点的平衡因子变化分析
-
新创建结点的平衡因子:
-
新结点插入在右:
-
新结点插入在左:
2. 平衡因子更新后的三种情况:
-
- 更新后平衡因子 == 0:不用继续沿着到
root的路径往上更新平衡因子
- 更新后平衡因子 == 0:不用继续沿着到
-
- 更新后平衡因子 == 1 or -1:继续沿着到
root的路径往上更新平衡因子
- 更新后平衡因子 == 1 or -1:继续沿着到
-
- 更新后平衡因子 == 2 or -2:树已失衡,需进行旋转

3. 更新平衡因子的最坏情况
- 更新平衡因子的最坏情况:为一路更新到根节点,因此可以使用循环控制更新,循环条件为
while(parent)
4. 更新平衡因子的代码实现
public:bool insert(const pair<K, V>& kv) {// ... 以上是二叉搜索树的插入逻辑,这样插入可能导致树不平衡,从而导致查找效率退化为 O(n)// 以下是AVL树对二叉搜索树 进行的 控制平衡 操作 ... // 插入后,最坏情况时: 可能root的平衡因子需要更新,只有root的parent为空while (parent){// 插入后 ,先更新平衡因子if (curNode == parent->_left)--parent->_balanceFactor;else // if (curNode == parent->_right)++parent->_balanceFactor;// 当前parent结点更新完了,判断是否还需要再往上更新 // 处理平衡因子更新后有三种情况// 情况一 parent所在子树高度不变且平衡,无需更新 和 旋转, 结束循环if (parent->_balanceFactor == 0){break;}// 情况二 parent 所在子树高度变了,继续往上更新else if (parent->_balanceFactor == 1 || parent->_balanceFactor == -1) {curNode = parent;parent = parent->_parent;}// 情况三 当前子树不平衡了,需要旋转else if (parent->_balanceFactor == 2 || parent->_balanceFactor == -2) {// 旋转的情况和操作}else // 其他情况报错assert(false); // 平衡因子不是 0 1 -1 2 -2 直接报错}// 插入结束后,return truereturn true;}
核心操作:
while (parent)
/-------------第一步:更新新插入节点的父节点的平衡因子-------------/
- 新插入节点是左子节点 —> 父节点的平衡因子
-1 - 新插入节点是右子节点 —> 父节点的平衡因子
+1
/-------------第二步:根据父节点的平衡因子做进一步的更新-------------/
- 情况1:父节点的平衡因子为 0 —> 高度变化未影响上层,结束更新
- 情况2:父节点的平衡因子为±1 —> 高度变化需向上传递,继续更新上层节点
- 情况3:父节点的平衡因子为±2 —> 树失衡,需要旋转调整
- 情况4:非法平衡因子 —> 断言失败
return true;
旋转操作
旋转的目的
- 保持搜索树的规则
- 不平衡的树变成平衡的,其次降低旋转树的高度
旋转总共分为四种:根据不同的不平衡情况我们需要采取不同的旋转方式,这些操作在插入或删除节点导致树失衡时自动触发
- 左单旋:处理 RR 型失衡
- 右单旋:处理 LL 型失衡
- 左右双旋:处理 RL 型失衡
- 右左双旋:处理 LR 型失衡
需要旋转的情况:父节点的平衡因子为±2 —> 树失衡,需要旋转调整
- 失衡1:左左失衡(父子平衡因子都为“负”) —> 右单旋
- 失衡2:右右失衡(父子平衡因子都为“正”) —> 左单旋
- 失衡3:左右失衡(父为“负”,子为“正”) —> 左右双旋
- 失衡4:右左失衡(父为“正”,子为“负”) ----> 右左双旋
- 特殊情况:非法平衡因子 —> 断言失败
一、左单旋
触发条件
- 左单旋的触发条件:
- 当AVL树中某个节点的右子树高度比左子树高度大2,且失衡是由右子树的右子树插入节点导致(即右子树的右子树深度增加,称
为“RR 型失衡”)时,需要通过**左单旋**恢复平衡。
- 当AVL树中某个节点的右子树高度比左子树高度大2,且失衡是由右子树的右子树插入节点导致(即右子树的右子树深度增加,称

左单旋原理与核心操作
核心操作:旋转过程分为三步(以节点 60(curNode) 为旋转中心,对parent进行左单旋)
- 先处理 curNode 的 left 结点或子树:处理
curLeft和parent的链接关系,注意curLeft可能为空 - parent 可能是整棵树的根节点,也可能是某棵树的子树
- parent 是根节点时:
curNode成为整棵树的新根,_parent指向nullptr。最后再将parent正确挂载,成为curNode的左子树 - parent 不是根节点时:需要先保存
curNode的祖父结点ppNode,判断parent 是 ppNode 的左孩子还是右孩子,再更改链接关系。最后再将parent正确挂载,成为curNode的左子树
- parent 是根节点时:
- 最后将parent和curNode的平衡因子都更改为0
左单旋原理:

代码实现
private:// 左单旋 2 1 newNode 练成线,单纯的右边高void RotateL(Node* parent){if (parent == nullptr || parent->_right == nullptr)return;Node* curNode = parent->_right;Node* curLeft = curNode->_left; // curLeft 有可能为空// 先处理 curNode 的 left 结点,curLeft 有可能是空parent->_right = curLeft;if(curLeft) curLeft->_parent = parent;// 再处理 curNode 结点// parent 有可能是根节点,也有可能是子树的根节点if (parent == _root) {// 先立新根_root = curNode;curNode->_parent = nullptr;// 再挂旧根parent->_parent = curNode;curNode->_left = parent;}else{Node* ppNode = parent->_parent;// 这里不知道 parent 是 ppNode 的 左孩子 还是 右孩子 if (parent == ppNode->_left)ppNode->_left = curNode;elseppNode->_right = curNode;curNode->_parent = ppNode;// 挂 parentparent->_parent = curNode;curNode->_left = parent;}parent->_balanceFactor = curNode->_balanceFactor = 0;}
二、右单旋
右单旋可以看做是左单旋的镜像操作
触发条件
- 右单旋的触发条件:
- 当AVL树中某个节点的左子树高度比右子树高度大2,且失衡是由左子树的左子树插入节点导致(即右子树的右子树深度增加,称
为“LL 型失衡”)时,需要通过**右单旋**恢复平衡。
- 当AVL树中某个节点的左子树高度比右子树高度大2,且失衡是由左子树的左子树插入节点导致(即右子树的右子树深度增加,称
右单旋原理与核心操作
核心操作:旋转过程分为三步(以节点 30(curNode) 为旋转中心,对parent进行右单旋)
- 先处理 curNode 的 right 结点或子树:处理
curRight和parent的链接关系,注意curRight可能为空 - parent 可能是整棵树的根节点,也可能是某棵树的子树
- parent 是根节点时:
curNode成为整棵树的新根,_parent指向nullptr。最后再将parent正确挂载,成为curNode的左子树 - parent 不是根节点时:需要先保存
curNode的祖父结点ppNode,判断parent 是 ppNode 的左孩子还是右孩子,再更改链接关系。最后再将parent正确挂载,成为curNode的右子树
- parent 是根节点时:
- 最后将parent和curNode的平衡因子都更改为0
parent为根节点的情况:

parent为某棵树的子树的情况:

代码实现
private: // 右单旋 -2 -1 newNode 连成线,单纯的左边高void RotateR(Node* parent){// parent 为空 或 curNode 为空的情况if (parent == nullptr || parent->_left == nullptr)return;Node* curNode = parent->_left;Node* curRight = curNode->_right;// 把 curNode 的 right 给给 parent 的 leftparent->_left = curRight;if (curRight)curRight->_parent = parent;if (parent == _root){// 先立新根_root = curNode;curNode->_parent = nullptr;// 再挂旧根curNode->_right = parent;parent->_parent = curNode;}else{Node* ppNode = parent->_parent;// 找 parent 是 ppNode 的左还是右if (parent == ppNode->_left)ppNode->_left = curNode;elseppNode->_right = curNode;curNode->_parent = ppNode;// 挂 parentcurNode->_right = parent;parent->_parent = curNode;}curNode->_balanceFactor = parent->_balanceFactor = 0;}
三、单旋有效与失效的场景

仅单旋有效的场景总结:

单旋失效场景总结:

四、双旋的分析
双旋的简单样例

双旋的本质

双旋后平衡因子的更新
- 双旋平衡因子的更新分为三种情况讨论,以下为左右双旋的场景:

- 双旋的核心操作不在于旋转,因为双旋只是左单旋和右单旋的简单组合
- 双旋的核心操作在于旋转后平衡因子的更新
五、左右双旋
触发条件
- 左右双旋的触发条件:折线的拐角在左边
- 当 AVL 树中某个节点的左子树高度比右子树高度大 2,且失衡是由左子树的右子树插入节点导致(即左子树的右子树深度增加,称为 “LR 型失衡” )时,需要通过左右双旋恢复平衡。
- 左右双旋是 左单旋 + 右单旋 的复合操作,专门处理 LR 型失衡
- 左右双旋通过 “先左旋修正左子树方向,再右旋整体平衡” 的两步操作,解决 LR 型失衡问题
左右双旋的过程以及平衡因子的更新:

代码实现
关键操作:
- 对
cur结点进行左旋 - 再对
parent结点进行右旋 - 最终
curRight结点成为树的新根 - 旋转完后进行平衡因子的更新
// 左右双旋
void RotateLR(Node* parent)
{Node* curNode = parent->_left;Node* curRight = curNode->_right;int bf_curRight = curRight->_balanceFactor;// 旋转RotateL(parent->_left);RotateR(parent);// 双旋 这里的麻烦事 是平衡因子的更新// 更新平衡因子if (bf_curRight == 0) // {parent->_balanceFactor = 0;curNode->_balanceFactor = 0;curRight->_balanceFactor = 0;}else if (bf_curRight == 1){parent->_balanceFactor = 0;curNode->_balanceFactor = -1;curRight->_balanceFactor = 0;}else if (bf_curRight == -1){parent->_balanceFactor = 1;curNode->_balanceFactor = 0;curRight->_balanceFactor = 0;}elseassert(false);
}
六、右左双旋
右左双旋可以看做是左右双旋的镜像操作,二者可以看作是一个对称的关系。当插入节点在不平衡节点的右子树的左边时,可以记作右左型 (RL 型),此时采用右左双旋的方法去调整平衡,即先对不平衡节点的右子树进行一次右单旋,之后再对不平衡节点为根的子树进行一次左单旋。
触发条件
- 右左双旋的触发条件:折线的拐角在右边
- 当 AVL 树中某个节点的右子树高度比左子树高度大 2,且失衡是由右子树的左子树插入节点导致(即右子树的左子树深度增加,称为 “RL 型失衡” )时,需要通过右左双旋恢复平衡。
- 左双旋是 右单旋 + 左单旋 的复合操作,专门处理RL型失衡
- 右左双旋通过 “先右旋修正右子树方向,再左旋整体平衡” 的两步操作,解决 RL 型失衡问题
右左双旋的过程以及平衡因子的更新:

代码实现
关键操作:
- 对
cur结点进行右旋 - 再对
parent结点进行左旋 - 最终
curLeft结点成为树的新根 - 旋转完后进行平衡因子的更新
// 右左双旋 parent 的平衡因子为 2 或 -2
void RotateRL(Node* parent)
{Node* curNode = parent->_right;Node* curLeft = curNode->_left;int bf_curLeft = curLeft->_balanceFactor;// 旋转RotateR(parent->_right);RotateL(parent);// 双旋 这里的麻烦事 是平衡因子的更新// 更新平衡因子if (bf_curLeft == 0) {parent->_balanceFactor = 0;curNode->_balanceFactor = 0;curLeft->_balanceFactor = 0;}else if (bf_curLeft == 1){parent->_balanceFactor = -1;curNode->_balanceFactor = 0;curLeft->_balanceFactor = 0;}else if (bf_curLeft == -1){parent->_balanceFactor = 0;curNode->_balanceFactor = 1;curLeft->_balanceFactor = 0;}elseassert(false);
}
插入的总结与完整代码
总结流程:
- 空树处理:树为空时,新节点直接作为根
- 查找插入位置:从根出发,**按二叉搜索树规则(小往左、大往右)**找到新节点的父节点
parent,确定挂左还是挂右 - 挂载新节点:创建新节点,连接到
parent的 左 or 右 子树,并维护parent指针 - 更新平衡因子:从新节点的父节点开始,向上更新路径上所有节点的平衡因子(
_balacnFactor),反映子树高度变化 - 平衡修复:根据平衡因子判断是否失衡(绝对值 ≥ 2),若失衡则通过旋转操作(单旋 / 双旋)恢复平衡,同时更新旋转后节点的平衡因子
- 右单旋:处理 LL 型失衡
- 左单旋:处理 RR 型失衡
- 左右双旋:处理 RL 型失衡
- 右左双旋:处理 LR 型失衡
完整插入代码
public:bool insert(const pair<K, V>& kv) {// 先走二叉搜索树的插入逻辑if (_root == nullptr){_root = new Node(kv);return true;}// _root 不为空时,二叉搜索树的逻辑Node* parent = nullptr;Node* curNode = _root;// 先找空,找到一个可以插入的位置while (curNode){if (kv.first < curNode->_kv.first){parent = curNode;curNode = curNode->_left;}else if (kv.first > curNode->_kv.first){parent = curNode;curNode = curNode->_right;}// 搜索树中不允许有重复的值 对于已有值,不插入elsereturn false;}// while 循环结束后,代表找到了可以插入的位置// 找到位置了,但父节点不知道 新结点比自己大还是比自己小curNode = new Node(kv);if (curNode->_kv.first < parent->_kv.first){parent->_left = curNode;}else{parent->_right = curNode;}curNode->_parent = parent;// 以上是二叉搜索树的插入逻辑,这样插入可能导致树不平衡,从而导致查找效率退化为 O(n)// 以下是AVL树对二叉搜索树 进行的 控制平衡 操作// 控制平衡 ... // 插入后 ,先更新平衡因子// 插入后,最坏情况时: 可能root的平衡因子需要更新,只有root的parent为空while (parent){// 更新平衡因子if (curNode == parent->_left)--parent->_balanceFactor;else // if (curNode == parent->_right)++parent->_balanceFactor;// 当前parent结点更新完了,判断是否还需要再往上更新 // 处理平衡因子更新后有三种情况// 情况一 parent所在子树高度不变且平衡,无需更新 和 旋转 结束循环if (parent->_balanceFactor == 0){break;}// 情况二 parent所在子树高度变了,继续往上更新else if (parent->_balanceFactor == 1 || parent->_balanceFactor == -1) {curNode = parent;parent = parent->_parent;}// 情况三 当前子树不平衡了,需要旋转else if (parent->_balanceFactor == 2 || parent->_balanceFactor == -2) {// 左单旋 “右子树右高”的一种情况// 2 1 newNode 排成直线,单纯的右边高,进行 左单旋// 2 -> 右高,1 -> 右高,右右 左单旋if (parent->_balanceFactor == 2 && curNode->_balanceFactor == 1){RotateL(parent);}// -2 -1 newNode 排成直线,单纯的右边高,进行,右单旋// -2 -> 左高,-1 -> 左高,左左 右单旋else if (parent->_balanceFactor == -2 && curNode->_balanceFactor == -1){RotateR(parent);}// 2 -1 newNode 排成折线 右左双旋else if (parent->_balanceFactor == 2 && curNode->_balanceFactor == -1){RotateRL(parent);}// -2 1 newNode 排成折线 左右双旋else if (parent->_balanceFactor == -2 && curNode->_balanceFactor == 1){RotateLR(parent);}else{assert(false);}// 旋转后,让这棵树平衡,且降低了这棵树的高度,// 旋转后 就无需再更新平衡因子了,可以跳出循环break;}else{assert(false); // 平衡因子不是 0 1 -1 2 -2 直接报错}}return true;}
AVL树的删除
AVL 树的删除操作这里不做重点讲解,这个操作会比插入稍复杂一些,但核心思路依然是走正常的二叉搜索树的删除操作 + 更新平衡因子 + 失衡时进行旋转
只不过与二叉搜索树删除不同的是,删除节点后的平衡因子更新,最差情况下一直要调整到根节点的位置。
具体实现可参考《算法导论》或《数据结构-用面向对象方法与C++描述》殷人昆版
4. 验证操作
求树的高度
求树的高度思路如下:
- 先分别求树的左右子树高度
- 最终返回左右子树中 高度更大的高度 + 1
public:int Height(Node* root){if (root == nullptr)return 0;// 分别求左右子树的高度int leftHeight = Height(root->_left);int rightHeight = Height(root->_right);// 左右子树中 高度更大的那个 + 1return leftHeight > rightHeight ? leftHeight + 1 : rightHeight + 1;}
判断树是否是AVL平衡树
- 先分别求树的左右子树高度
- AVL平衡树的条件:
- 当前树是AVL树:
abs(rightHeight - leftHeight) < 2 &&- 左右子树也都是AVL树:
_IsBalance(root->_left) && _IsBalance(root->_right);
- 左右子树也都是AVL树:
- 当前树是AVL树:
public:// 判断是否是 AVL 树bool isBalance(){return _IsBalance(_root);}
private:bool _IsBalance(Node* root){if (root == nullptr)return true;int leftHeight = Height(root->_left);int rightHeight = Height(root->_right);// 加一层保障if (rightHeight - leftHeight != root->_balanceFactor){cout << " 平衡因子异常: " << root->_kv.first << "->" << root->_balanceFactor << endl;return false;}return abs(rightHeight - leftHeight) < 2&& _IsBalance(root->_left)&& _IsBalance(root->_right);}
测试 AVL树的正确性
- 使用
20000000个随机数测试
void test() {const int N = 20000000;vector<int> v;v.reserve(N);srand(time(0));AVLTree<int, int> t;for (size_t i = 0; i < N; ++i)v.push_back(rand());for (auto e : v)t.insert(make_pair(e, e));cout << t.isBalance() << endl;}
int main() {test();return 0;
}

4. 完整代码实现
#pragma once#include <iostream>
#include <assert.h>
using namespace std;template<class K, class V>
struct AVLTreeNode
{pair<K, V> _kv; // 键值对// 三叉链AVLTreeNode<K, V>* _left;AVLTreeNode<K, V>* _right;AVLTreeNode<K, V>* _parent; // 插入结点后,需要更新平衡因子,有了_parent,可以很方便的找父节点// 平衡因子,用于判断当前子树 有没有出现不平衡的问题int _balanceFactor; // balance factor 平衡因子// Node 的构造函数AVLTreeNode(const pair<K, V>& kv):_kv(kv), _left(nullptr), _right(nullptr),_parent(nullptr), _balanceFactor(0) // 新结点 初始的平衡因子为 0{ }// 我们使用 平衡因子 = 右子树的高度 - 左子树的高度// AVL 树的实现不是一定需要平衡因子,也可以动态的计算高度来判断// 使用平衡因子实现只是其中一种方式
};// 左右子树高度之差的绝对值 小于等于 1 (-1 0 1)
template<class K, class V>
class AVLTree
{typedef AVLTreeNode<K, V> Node;
private:AVLTreeNode<K, V>* _root = nullptr;public:bool insert(const pair<K, V>& kv) {// 先走二叉搜索树的插入逻辑if (_root == nullptr){_root = new Node(kv);return true;}// _root 不为空时,二叉搜索树的逻辑Node* parent = nullptr;Node* curNode = _root;// 先找空,找到一个可以插入的位置while (curNode){if (kv.first < curNode->_kv.first){parent = curNode;curNode = curNode->_left;}else if (kv.first > curNode->_kv.first){parent = curNode;curNode = curNode->_right;}// 搜索树中不允许有重复的值 对于已有值,不插入elsereturn false;}// while 循环结束后,代表找到了可以插入的位置// 找到位置了,但父节点不知道 新结点比自己大还是比自己小curNode = new Node(kv);if (curNode->_kv.first < parent->_kv.first){parent->_left = curNode;}else{parent->_right = curNode;}curNode->_parent = parent;// 以上是二叉搜索树的插入逻辑,这样插入可能导致树不平衡,从而导致查找效率退化为 O(n)// 以下是AVL树对二叉搜索树 进行的 控制平衡 操作// 控制平衡 ... // 插入后 ,先更新平衡因子// 插入后,最坏情况时: 可能root的平衡因子需要更新,只有root的parent为空while (parent){// 更新平衡因子if (curNode == parent->_left)--parent->_balanceFactor;else // if (curNode == parent->_right)++parent->_balanceFactor;// 当前parent结点更新完了,判断是否还需要再往上更新 // 处理平衡因子更新后有三种情况// 情况一 parent所在子树高度不变且平衡,无需更新 和 旋转 结束循环if (parent->_balanceFactor == 0){break;}// 情况二 parent所在子树高度变了,继续往上更新else if (parent->_balanceFactor == 1 || parent->_balanceFactor == -1) {curNode = parent;parent = parent->_parent;}// 情况三 当前子树不平衡了,需要旋转else if (parent->_balanceFactor == 2 || parent->_balanceFactor == -2) {// 左单旋 “右子树右高”的一种情况// 2 1 newNode 排成直线,单纯的右边高,进行 左单旋// 2 -> 右高,1 -> 右高,右右 左单旋if (parent->_balanceFactor == 2 && curNode->_balanceFactor == 1){RotateL(parent);}// -2 -1 newNode 排成直线,单纯的右边高,进行,右单旋// -2 -> 左高,-1 -> 左高,左左 右单旋else if (parent->_balanceFactor == -2 && curNode->_balanceFactor == -1){RotateR(parent);}// 2 -1 newNode 排成折线 右左双旋else if (parent->_balanceFactor == 2 && curNode->_balanceFactor == -1){RotateRL(parent);}// -2 1 newNode 排成折线 左右双旋else if (parent->_balanceFactor == -2 && curNode->_balanceFactor == 1){RotateLR(parent);}else{assert(false);}// 旋转后,让这棵树平衡,且降低了这棵树的高度,// 旋转后 就无需再更新平衡因子了,可以跳出循环break;}else{assert(false); // 平衡因子不是 0 1 -1 2 -2 直接报错}}return true;}// 判断是否是 AVL 树bool isBalance(){return _IsBalance(_root);}
private:bool _IsBalance(Node* root){if (root == nullptr)return true;int leftHeight = Height(root->_left);int rightHeight = Height(root->_right);// 加一层保障if (rightHeight - leftHeight != root->_balanceFactor){cout << " 平衡因子异常: " << root->_kv.first << "->" << root->_balanceFactor << endl;return false;}return abs(rightHeight - leftHeight) < 2&& _IsBalance(root->_left)&& _IsBalance(root->_right);}int Height(Node* root){if (root == nullptr)return 0;// 分别求左右子树的高度int leftHeight = Height(root->_left);int rightHeight = Height(root->_right);// 左右子树中 高度更大的那个 + 1return leftHeight > rightHeight ? leftHeight + 1 : rightHeight + 1;}// 左单旋 复习版void RotateL_review(Node* parent) {if (parent == nullptr || parent->_right == nullptr)return;Node* curNode = parent->_right;Node* curLeft = curNode->_left;parent->_right = curLeft;if (curLeft) // curLeft 可能为空curLeft->_parent = parent;// parent 可能是根节点,也可能是一颗子树if (parent == _root){// 先立新根_root = curNode;curNode->_parent = nullptr;// 再挂旧根parent->_parent = curNode;curNode->_left = parent;}else{Node* ppNode = parent->_parent;// 先立新根// 这里不知道 parent 是 ppNode 的左 还是右if (parent == ppNode->_left)ppNode->_left = curNode;elseppNode->_right = curNode;curNode->_parent = ppNode;// 再挂parentparent->_parent = curNode;curNode->_left = parent;}parent->_balanceFactor = curNode->_balanceFactor = 0;}// 左单旋 2 1 newNode 练成线,单纯的右边高void RotateL(Node* parent){if (parent == nullptr || parent->_right == nullptr)return;Node* curNode = parent->_right;Node* curLeft = curNode->_left; // curLeft 有可能为空// 先处理 curNode 的 left 结点,curLeft 有可能是空parent->_right = curLeft;if(curLeft) curLeft->_parent = parent;// 再处理 curNode 结点// parent 有可能是根节点,也有可能是子树的根节点if (parent == _root) {// 先立新根_root = curNode;curNode->_parent = nullptr;// 再挂旧根parent->_parent = curNode;curNode->_left = parent;}else{Node* ppNode = parent->_parent;// 这里不知道 parent 是 ppNode 的 左孩子 还是 右孩子 if (parent == ppNode->_left)ppNode->_left = curNode;elseppNode->_right = curNode;curNode->_parent = ppNode;// 挂 parentparent->_parent = curNode;curNode->_left = parent;}parent->_balanceFactor = curNode->_balanceFactor = 0;}// 右单旋 -2 -1 newNode 连成线,单纯的左边高void RotateR(Node* parent){// parent 为空 或 curNode 为空的情况if (parent == nullptr || parent->_left == nullptr)return;Node* curNode = parent->_left;Node* curRight = curNode->_right;// 把 curNode 的 right 给给 parent 的 leftparent->_left = curRight;if (curRight)curRight->_parent = parent;if (parent == _root){// 先立新根_root = curNode;curNode->_parent = nullptr;// 再挂旧根curNode->_right = parent;parent->_parent = curNode;}else{Node* ppNode = parent->_parent;// 找 parent 是 ppNode 的左还是右if (parent == ppNode->_left)ppNode->_left = curNode;elseppNode->_right = curNode;curNode->_parent = ppNode;// 挂 parentcurNode->_right = parent;parent->_parent = curNode;}curNode->_balanceFactor = parent->_balanceFactor = 0;}// 右左双旋 parent 的平衡因子为 2 或 -2void RotateRL(Node* parent) {Node* curNode = parent->_right;Node* curLeft = curNode->_left;int bf_curLeft = curLeft->_balanceFactor;// 旋转RotateR(parent->_right);RotateL(parent);// 双旋 这里的麻烦事 是平衡因子的更新// 更新平衡因子if (bf_curLeft == 0) {parent->_balanceFactor = 0;curNode->_balanceFactor = 0;curLeft->_balanceFactor = 0;}else if (bf_curLeft == 1){parent->_balanceFactor = -1;curNode->_balanceFactor = 0;curLeft->_balanceFactor = 0;}else if (bf_curLeft == -1){parent->_balanceFactor = 0;curNode->_balanceFactor = 1;curLeft->_balanceFactor = 0;}elseassert(false);}// 左右双旋void RotateLR(Node* parent){Node* curNode = parent->_left;Node* curRight = curNode->_right;int bf_curRight = curRight->_balanceFactor;// 旋转RotateL(parent->_left);RotateR(parent);// 双旋 这里的麻烦事 是平衡因子的更新// 更新平衡因子if (bf_curRight == 0) // {parent->_balanceFactor = 0;curNode->_balanceFactor = 0;curRight->_balanceFactor = 0;}else if (bf_curRight == 1){parent->_balanceFactor = 0;curNode->_balanceFactor = -1;curRight->_balanceFactor = 0;}else if (bf_curRight == -1){parent->_balanceFactor = 1;curNode->_balanceFactor = 0;curRight->_balanceFactor = 0;}elseassert(false);}
};
5. 结语
从最初的二叉搜索树到 AVL 树,我们一步步地走完了“从失衡到平衡”的进化历程。
AVL 树通过平衡因子 + 旋转操作巧妙地在插入、删除之间保持树的高度稳定,让查找性能始终维持在对数级别。
它是现代平衡树结构(如红黑树、Treap、B 树等)的理论基石,也让我们深刻理解了“以空间换时间”、“以维护换性能”的设计哲学。
虽然 AVL 树在插入删除时的维护成本略高,但在查找密集的场景中,它的稳定性与高效性仍然无可替代。
希望这篇文章能帮助你彻底理解平衡二叉树的核心思想,为你后续深入学习红黑树、STL map/set 底层实现打下坚实的基础。
以上就是本文的所有内容了,如果觉得文章对你有帮助,欢迎 点赞⭐收藏 支持!如有疑问或建议,请在评论区留言交流,我们一起进步
分享到此结束啦
一键三连,好运连连!你的每一次互动,都是对作者最大的鼓励!
征程尚未结束,让我们在广阔的世界里继续前行!🚀




