当前位置: 首页 > news >正文

R语言:非平稳时间序列实例

install.packages("astsa")

library(astsa)

# 加载JJ数据

data(jj)

# 查看数据结构

str(jj)

a)绘制时间序列图并解释特征

# 绘制时间序列图

plot(jj, main = "强生公司1960-1980年季度每股收益时间序列",

     xlab = "年份", ylab = "每股收益")

特征:由图可知,强生公司每股收益的季度数据的时间序列呈现指数增长趋势,且季度间存在季节性波动,方差随时间增大,存在异方差性。

(b)确定 Box-Cox变换的最优 λ 值

# 计算最优λ(对数似然和信息准则)

lambda_jj <- BoxCox.lambda(jj)

cat("最优λ值为:", lambda_jj, "\n")

library(MASS)

data(jj)

# 绘制对数似然曲线(幂变换)

boxcox(jj ~ 1, lambda = seq(-2, 2, 0.1),

       main = "Box-Cox变换的对数似然曲线",

       xlab = "λ值", ylab = "对数似然值")

# 标记最优λ

lambda_opt <- boxcox(jj ~ 1, lambda = seq(-2, 2, 0.01))$x[which.max(boxcox(jj ~ 1, lambda = seq(-2, 2, 0.01))$y)]

abline(v = lambda_opt, col = "red", lty = 2)  # 最优λ位置画竖线

text(lambda_opt, max(boxcox(jj ~ 1)$y), paste0("最优λ≈", round(lambda_opt, 2)), col = "red")

(c)基于最优λ的Box-Cox变换及平稳性分析

library(forecast)  # 用于Box-Cox变换

library(tseries)   # 用于ADF平稳性检验

library(astsa)     # 加载内置JJ数据

# 1. 加载数据并确定最优λ

data(jj)  # 强生公司季度收益数据(1960Q1-1980Q4)

lambda_opt <- BoxCox.lambda(jj, method = "loglik")  # 用对数似然法计算最优λ

cat("Box-Cox变换最优λ值:", round(lambda_opt, 3), "\n")

# 2. 执行Box-Cox变换

if (abs(lambda_opt) < 1e-6) {  # 若λ接近0,直接用对数变换(避免数值问题)

  jj_transformed <- log(jj)

  transform_note <- "使用对数变换(λ≈0)"

} else {

  jj_transformed <- (jj^lambda_opt - 1) / lambda_opt  # 通用幂变换公式

  transform_note <- paste0("使用幂变换(λ=", round(lambda_opt, 3), ")")

}

# 3. 转换为时间序列对象

jj_transformed_ts <- ts(

  jj_transformed,

  start = start(jj),  # 继承原始数据的起始时间(1960Q1)

  frequency = frequency(jj)  # 季度数据,frequency=4

)

# 4. 绘制变换后的时间序列图(对比原始序列)

par(mfrow = c(2, 1), mar = c(4, 4, 2, 1))  # 分两栏绘图

plot(jj, main = "原始JJ季度收益序列", xlab = "年份", ylab = "收益")

plot(jj_transformed_ts, main = paste("变换后JJ季度收益序列(", transform_note, ")"),

     xlab = "年份", ylab = "变换后收益")

par(mfrow = c(1, 1))  # 恢复绘图布局

# 5. 平稳性检验(ADF检验)

adf_result <- adf.test(jj_transformed_ts)

cat("\n变换后序列的ADF平稳性检验结果:\n")

print(adf_result)

平稳性解读:在5%显著性水平下,变换后序列仍为非平稳,需要进一步差分。

d)对数差分、时序图、平稳检验

# 1. 复用前文数据与最优λ

data(jj)

lambda_opt <- BoxCox.lambda(jj, method = "loglik")  # 最优λ

# 执行Box-Cox变换

jj_transformed <- if (abs(lambda_opt) < 1e-6) log(jj) else (jj^lambda_opt - 1)/lambda_opt

jj_transformed_ts <- ts(jj_transformed, start = start(jj), frequency = 4)

# 2. 差分处理

# 一阶差分(消除趋势)

jj_diff1 <- diff(jj_transformed_ts)  # 一阶差分序列

# 若存在季节性,补充季节差分(季度数据,滞后4期)

jj_diff_seasonal <- diff(jj_transformed_ts, lag = 4)  # 季节差分序列

# 综合差分

jj_diff_combined <- diff(jj_diff_seasonal)  # 一阶差分后再季节差分

# 3. 差分序列可视化(对比原始变换序列)

par(mfrow = c(2, 2), mar = c(3, 3, 2, 1), mgp = c(1.5, 0.5, 0))

plot(jj_transformed_ts, main = "变换后序列", ylab = "")

plot(jj_diff1, main = "一阶差分序列", ylab = "")

plot(jj_diff_seasonal, main = "季节差分序列(滞后4)", ylab = "")

plot(jj_diff_combined, main = "一阶+季节差分序列", ylab = "")

par(mfrow = c(1, 1))  # 恢复布局

# 4.差分后序列的平稳性检验

adf_diff1 <- adf.test(jj_diff1)

cat("一阶差分序列ADF检验结果:\n")

print(adf_diff1)

if (adf_diff1$p.value < 0.05) {

  cat("结论:一阶差分后序列在5%水平下平稳。\n")

  chosen_diff <- jj_diff1  # 选定一阶差分序列进行后续分析

} else {

  cat("结论:一阶差分后仍非平稳,建议使用综合差分。\n")

  chosen_diff <- jj_diff_combined

}

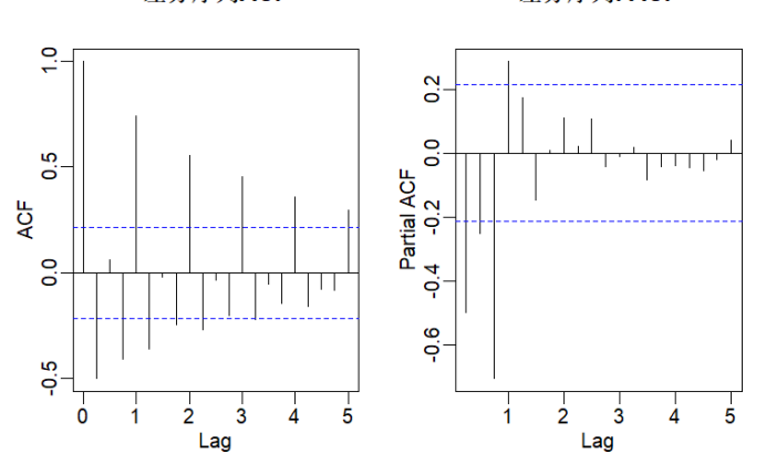
# 5. 通过ACF/PACF识别ARMA模型阶数

par(mfrow = c(1, 2), mar = c(3, 3, 2, 1))

acf(chosen_diff, main = "差分序列ACF", lag.max = 20)  # 自相关函数

pacf(chosen_diff, main = "差分序列PACF", lag.max = 20)  # 偏自相关函数

par(mfrow = c(1, 1))

模型识别:

  1. 若ACF在滞后q期截断,PACF拖尾 → 选MA(q)模型;
  2. 若PACF在滞后p期截断,ACF拖尾 → 选AR(p)模型;
  3. 若两者均拖尾 → 选ARMA(p,q)模型(通过AIC准则进一步优化阶数)。

install.packages("TSA")

library(TSA)

data(gold) #2005年黄金日价格数据

# 查看数据结构

str(gold)  

library(TSA)    # 提供gold数据集

library(tseries) # 用于ACF和Q-Q图

library(forecast)# 辅助时间序列处理

data(gold)  # 加载2005年黄金日价格数据(共252个交易日)

# 查看数据基本信息

cat("黄金价格数据维度:", length(gold), "个观测值(2005年交易日)\n")

cat("数据时间范围:2005年1月至2005年12月\n")

a)绘制时间序列图并解释

par(mfrow = c(1, 1), mar = c(4, 4, 2, 1))

plot(gold,

     main = "(a)2005年黄金日价格时间序列",

     xlab = "交易日(2005年)",

     ylab = "价格(美元/盎司)",

     col = "blue", lwd = 1.2)

解释:从图中可见,2005年黄金价格整体呈波动上升趋势,年初约420美元,年末接近520美元;价格波动幅度随时间略有增大,存在异方差性,无明显周期性,符合金融时间序列特征。

b对数差分及时间序列图

# 对数变换

gold_log <- log(gold)

# 对数差分(计算日收益率,近似Δlog(Y_t) = log(Y_t) - log(Y_{t-1}))

gold_log_diff <- diff(gold_log)

# 转换为时间序列(差分后长度减1,起始时间顺延1个交易日)

gold_log_diff_ts <- ts(gold_log_diff, start = start(gold) + c(0, 1), frequency = frequency(gold))

# 绘制对数差分序列图

plot(gold_log_diff_ts,

     main = "(b)黄金价格对数差分序列(日收益率)",

     xlab = "交易日(2005年)",

     ylab = "对数差分收益率",

     col = "red", lwd = 1)

解释:对数差分后序列消除了整体趋势,波动围绕0值上下震荡,更接近平稳序列特征,可以看作黄金价格的日收益率序列。

c对数差分序列的ACF及随机游动验证

par(mfrow = c(1, 1))

acf(gold_log_diff,

    main = "(c)对数差分序列的样本ACF",

    lag.max = 20,  # 最大滞后阶数

    col = "darkgreen", lwd = 2)

解释:ACF图显示,所有滞后阶数的自相关系数均落在95%置信区间,即蓝色虚线内;无显著自相关性,说明对数差分序列近似为白噪声,可以认为黄金价格的对数服从随机游动模型。

d对数差分序列的直方图

# 绘制直方图并叠加正态分布曲线

par(mfrow = c(1, 1))

hist(gold_log_diff,

     main = "(d)对数差分序列的直方图",

     xlab = "对数差分收益率",

     freq = FALSE,  # 显示密度而非频数

     col = "lightblue",

     border = "white",

     breaks = 30)  # 调整 bins 数量

# 叠加正态密度曲线

x <- seq(min(gold_log_diff), max(gold_log_diff), length = 100)

lines(x, dnorm(x, mean = mean(gold_log_diff), sd = sd(gold_log_diff)),

      col = "red", lwd = 2)

解释:直方图形状与正态分布曲线(红色)大致接近,但尾部略厚,表明日收益率分布近似正态,但可能存在少量极端值。

e对数差分序列的正态分位数-分位数图(Q-Q图

par(mfrow = c(1, 1))

qqnorm(gold_log_diff,

       main = "(e)对数差分序列的正态Q-Q图",

       col = "purple", pch = 16)

qqline(gold_log_diff, col = "black", lwd = 2)  # 添加参考线

解释:Q-Q图中大部分点近似落在参考线上,但两端尾部略有偏离,进一步验证了“近似正态但非完美正态”的结论,符合金融资产收益率的典型特征。

http://www.dtcms.com/a/515776.html

相关文章:

  • iis 添加网站 win7ip网站架设
  • AlphabetIndexer组件 与 List 联动总结
  • C++ 模拟真人鼠标轨迹算法 - 非贝塞尔曲线
  • 解锁高性能音视频处理:鸿蒙Next AVCodec Kit全解析
  • 购买服务器,操作系统选Debian、Ubuntu 还是Rocky Linux?
  • Process Monitor 学习笔记(5.23):把自定义“日志/标记”注入 Procmon 追踪
  • 专业集团门户网站建设服务商云落 wordpress
  • 基于MemU的自主代理记忆管理系统:技术解析与实践
  • 【ABAP函数】+CSAP_MAT_BOM_MAINTAIN更改BOM长文本
  • 小学英语资源合集
  • 裴蜀定理(Bézout‘s identity)
  • 在昇腾NPU上跑Llama 2模型:一次完整的性能测试与实战通关指南
  • 用wordpress建站一个人可以吗wordpress主题 表白
  • 鸿蒙6.0技术解析:五大行业迎来的智能化革命
  • Java的单例设计模式-饿汉式
  • 帝国建设网站phpcms做网站感想
  • 我的应用 Full GC 频繁,怎么优化?
  • clickhouse副本只有一个节点有数据原因
  • 【MySQL】从零开始了解数据库开发 --- mysql事务机制(二)
  • 国外手表网站湖南省专业建设公司网站
  • php使用腾讯云服务
  • 都安网站建设深圳专业seo优化公司
  • 小尺寸13*13cmRFSOC47DR数模混合信号处理卡
  • 基于PHP开发的医疗安全上报平台——医院不良事件管理系统,规范10大类50多种不良事件的上报、处理和追踪流程
  • Linux 中新建用户
  • bond模式以及配置清单
  • 汽车HIL测试供应商
  • 东方玉色静奢新生|欧神诺中国玉2025秋季新品重磅发布!
  • 织梦dede建站教程视频网站开发入门教程
  • 银川 网站建设郑州做网站 熊掌号