当前位置: 首页 > news >正文

【matlab】如何提取论文plot图中的数据

用origin太麻烦了,还得安装付费插件,得到的数据的导出过程还麻烦,这里给出matlab的处理方法

参考链接:matlab读取论文图中数据

代码:

%https://blog.csdn.net/JISANSAN/article/details/106722830?utm_medium=distribute.pc_relevant.none-task-blog-2~default~baidujs_baidulandingword~default-2-106722830-blog-150155985.235^v43^pc_blog_bottom_relevance_base4&spm=1001.2101.3001.4242.2&utm_relevant_index=5
clc
clear
close all
%% 1.图片与曲线间的定标
im=imread('figure4.png');%读入图片(替换成需要提取曲线的图片)
im=rgb2gray(im);%灰度变化
thresh = graythresh(im);%二值化阈值
im=im2bw(im,thresh);%二值化
set(0,'defaultfigurecolor','w')
imshow(im)%显示图片
[y,x]=find(im==0);%找出图形中的“黑点”的坐标。该坐标是一维数据。
y=max(y)-y;%将屏幕坐标转换为右手系笛卡尔坐标
y=fliplr(y);%fliplr()——左右翻转数组
plot(x,y,'r.','Markersize', 2);
disp('请在Figrure中先后点击实际坐标框的两个顶点(左上点和右下点),即A、B两点. ');
[Xx,Yy]=ginput(2);%Xx,Yy——指实际坐标框的两个顶点
min_x=input('最小的x值');%输入x轴最小值
max_x=input('最大的x值');%输入x轴最大值
min_y=input('最小的y值');%输入y轴最小值
max_y=input('最大的y值');%输入y轴最大值
x=(x-Xx(1))*(max_x-min_x)/(Xx(2)-Xx(1))+min_x;
y=(y-Yy(1))*(min_y-max_y)/(Yy(2)-Yy(1))+max_y;%% 2.画图
figure(1)
plot(x,y,'r.','Markersize', 2);
axis([min_x,max_x,min_y,max_y])%根据输入设置坐标范围
title('由原图片得到的未处理散点图')
% 使用getpts函数选择点
[x_get_1, y_get_1] = getpts;% 选中的点的坐标
[x_get_2, y_get_2] = getpts;% 选中的点的坐标%% 3.绘制提取数的据
figure(101)
plot(x_get_1,y_get_1,'r-','Markersize', 2,'LineWidth',3)
xlabel('x')
ylabel('y')
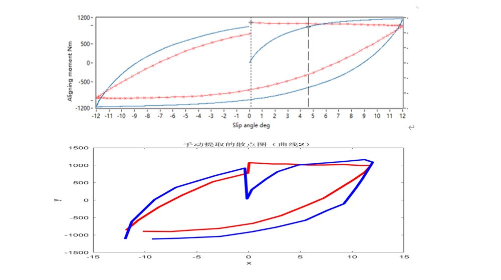
title('手动提取的散点图(曲线1)')figure(102)
plot(x_get_2,y_get_2,'b-','Markersize', 2,'LineWidth',3)
xlabel('x')
ylabel('y')
title('手动提取的散点图(曲线2)')

流程:
(1)运行代码
(2)在弹出的Figrure图框中先后点击实际坐标框的两个顶点(左上点和右下点)
在这里插入图片描述
(3)输入实际坐标框的坐标范围(图例为-12、12、-1200、1200)后即可使原图与matlab的figure坐标框对齐
在这里插入图片描述
(4)在figure坐标框中拾取点,点得按照曲线取,越密越好,拾取完毕后敲“enter键”即可绘制对应的数据图(示例中包含两种曲线,需要拾取两次)
拾取散点图1:
在这里插入图片描述
拾取散点图2:
在这里插入图片描述效果:
在这里插入图片描述
提取数据可以采用拟合的方法提升平滑性或者得到拟合函数,链接:【Matlab】Curve Fitting Tool的使用方式(拟合函数、导出函数、调用函数)

对比原图:
在这里插入图片描述

精确的扒图做不到,但是可以描述其数量、形状

http://www.dtcms.com/a/515485.html

相关文章:

  • 手机网站开发的目的ppt免费背景图片
  • Java 核心知识点查漏补缺(一)
  • UE5 C++ CVar控制台命令字段使用
  • 从图像处理到AI识别:直播美颜sdk如何实现高效一键美颜?
  • ESD防护设计宝典(十三):电快速瞬变脉冲群(EFT)防护与整改
  • 做百度推广去些网站加客户二级域名免费申请网站
  • 婚介 东莞网站建设西部数码网站源码
  • 云计算实验4——CentOS中HBase的安装
  • Excel文件中的VBA脚本,在文件使用WPS编辑保存后无法执行
  • LLD(详细设计文档)输出标准模板
  • 【山西政务服务网-注册_登录安全分析报告】
  • 云原生安全深度实战:从容器安全到零信任架构
  • Java导出写入固定Excel模板数据
  • 合肥网站建设模板系统html怎么做商品页面
  • uniapp微信小程序页面跳转后定时器未清除问题解析与解决方案
  • 《从“直接对话”到 “集成开发调用”:智谱 GLM-4.6 引领 Coding 场景的效率跃迁》
  • 数据中心基础设施等级
  • 关于架空输电线识别树障or测距相关论文阅读
  • [go 面试] 深入理解并发控制:掌握锁的精髓
  • TypeScript 面试题及详细答案 100题 (61-70)-- 泛型(Generics)
  • 全球外贸网站制作教程icp网站快速备案
  • 《Hiding Images in Diffusion Models by Editing Learned Score Functions》 论文阅读
  • 频率分集阵列雷达——论文阅读
  • 网站备案信息如何下载潍坊市住房和城乡建设局网站下载
  • 比较好的企业网站百度举报网站
  • 数据库加密技术
  • nginx配置内嵌网页
  • 【微服务】SpringBoot 整合轻量级安全框架JWE 项目实战详解
  • 一个完整的AI项目从需求分析到部署的全流程详解
  • UE5 材质-14:减法subtract节点适用于向量与标量,数学 if 组件,由已遮罩材质结合自发光参数,周期性改变蒙版的大小,实现溶解效果