动态无功+鲁棒优化!主动配电网动态无功两阶段鲁棒优化优化!
适用平台:Matlab+Yalmip+Gurobi或Matlab+Yalmip+Cplex(使用Cplex求解时需考虑版本适配问题,可用版本已在程序文件中说明)
参考文献:两阶段鲁棒优化的主动配电网动态无功优化[D]. 郑州大学, 2019.
一、文献解读
1. DG(新能源)对配网的影响
1) 电压偏差:DG接入后,原本单向潮流变为双向,导致各节点电压变化。例如,在光照充足且负载较轻时,光伏接入点的电压可能显著升高,尤其是位于馈线末端时,可能超出规定范围。
2) 电压波动:DG的启停过程会引起电压大幅波动,影响用电设备的稳定运行和使用寿命,进而带来经济损失。
3) 电能质量:光伏逆变器中的晶闸管在导通与关断时产生谐波,影响配电网和用户。谐波可能导致电压闪变、变压器发热,并对通信系统造成噪声干扰。
4) 继电保护:DG接入改变了潮流方向,故障时电流流向受其影响,可能导致继电保护误动作。
5) 短路电流:DG接入后,短路电流水平可能超出设备遮断容量,影响故障隔离,并可能导致原有开关设备无法正常运行。
由于DG的随机性和不确定性,配电网的经济运行面临挑战,需要灵活实施主动管理。主动配电网通过“源”、“网”、“荷”三方面的协同控制与管理,确保电网安全稳定优化运行。其核心理念包括:主动规划、主动控制、主动管理、主动服务、主动响应、主动参与。
2. 主动配电网无功优化
1) 传统优化方法
传统无功优化主要采用线性规划、动态规划、非线性规划和混合整数法等。线性规划通过将无功优化问题转换为线性问题求解,但转换过程中涉及大量近似。非线性规划则采用迭代方式求解,典型方法包括简化梯度法、牛顿法和二次规划法。
2) 人工智能算法
人工智能优化方法涵盖禁忌搜索、遗传算法、模拟退火、免疫算法、粒子群优化和进化算法等。主动配电网涉及众多离散与连续变量,使求解难度增加,智能算法易陷入局部最优,特别是离散变量较多时,迭代次数显著增加。
为兼顾求解精度与优化速度,二阶锥规划广泛应用于配电网优化,尤其在Disflow潮流模型中,利用有功、无功功率及节点电压描述配网潮流,提高优化决策的可靠性。
3) 不确定性处理
当前主要的不确定性处理方法包括模糊理论、随机概率优化和鲁棒优化。
模糊理论: 采用模糊变量描述不确定性,并通过隶属度函数评估约束满意度,但隶属度函数的构建受主观因素影响较大。
随机概率优化: 依赖不确定参数的已知分布,需大量抽样统计,否则难以保证模型精度,同时增加计算复杂度。
鲁棒优化 :关注不确定参数的边界范围,避免对概率分布的依赖,求解规模相对较小,因此应用广泛。
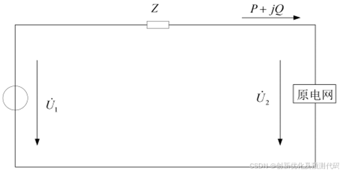
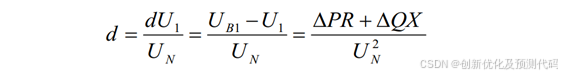
4主动配电网无功电压特性



从式中可以看出,分布式电源输出的有功功率可以对配电网中各节点的电压产生明显的影响作用,能够降低线路上的电压损耗,由于线路上的电压损耗减少,电压被抬高,随着接入的分布式电源的容量增大,电压抬高就会越明显,甚至出现功率倒流,导致负荷节点的电压超过母线的电压。


从式中可以看出分布电式源的电压波动主要由分布式电源的的功率变化和线路的参数决定的,线路阻抗越小,电气距离越小,则电压波动越小。
5 潮流计算方法
1) 前推回代法
该方法包括前推和回代两个过程。回代阶段:在已知配电网始端电压及末端电流或功率的情况下,假设各节点电压为额定值,并基于末端电流或功率计算线路中的电流及功率损耗,以求得始端功率。前推阶段:根据始端电压及回代所得功率,逐步向末端计算各线路的电压降和各节点电压,最终得出末端电压。该过程不断迭代,更新节点电压,直至满足精度要求。
2) 回路阻抗法
该方法利用阻抗表示各节点负荷,并忽略线路充电电容。馈线根节点至任意负荷节点可视为一个回路,构建回路方程求解回路电流,从而计算负荷节点的电流,再进一步推导出节点电压和功率。通过迭代计算,使负荷节点所得功率与设定值的偏差满足精度要求。
3) 隐式Zbus法
该算法基于导纳矩阵,因其具有高度稀疏性,占用内存较少,同时收敛速度快,在配电网潮流计算中应用广泛。
二、文章程序模型详析
1) 鲁棒优化及求解方法
鲁棒优化是一种应对不确定性问题的方法,与随机规划不同,它不依赖对不确定参数的概率分布假设,从而减少对先验知识的依赖。其目标是确保求解满足所有约束条件,并在最不利情况下仍能优化目标函数值。
两阶段鲁棒优化常用的求解方法包括列约束生成法(C&CG)和Benders分解法,其中C&CG计算性能优于Benders 分解法。C&CG通过主问题和子问题协同求解:主问题确定目标函数的下界,并假设不确定场景为离散集合U={u1,…,ur},对应的决策变量为 {x1,…,xr}。由于初始不确定场景并非全部情况,因此优化结果为目标函数的下界。随着子问题不断生成新的不确定场景并加入主问题,目标函数下界逐步提升。通常,不确定场景覆盖范围越广,算法收敛速度越快。
2) 两阶段电压鲁棒优化模型
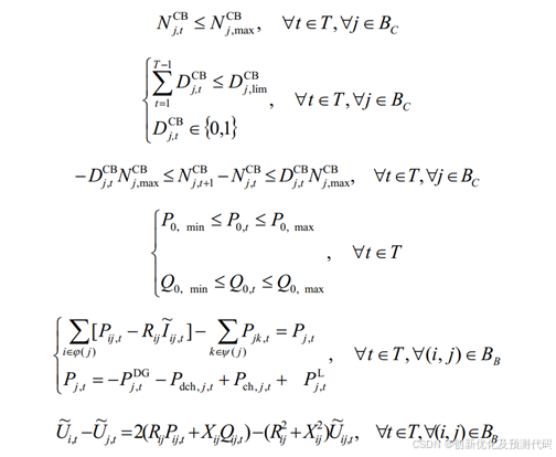
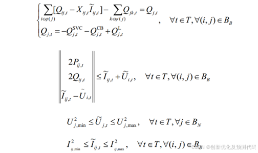
为降低分布式电源和负荷不确定性的影响,构建两阶段鲁棒优化动态无功优化模型。依据控制变量的调整速度,将储能充放电状态与分组投切电容器的投切组数设为第一阶段变量,储能功率与静止无功补偿器的补偿量置于第二阶段,确保第一阶段的决策使第二阶段在最不利条件下仍能维持配电网安全稳定运行。
为降低鲁棒优化的保守性,模型引入不确定预算,并采用列约束生成算法求解,优化目标为最小化网损:



上式分别为储能模型、分组投切电容器组模型、静止无功补偿器模型,DG模型,功率平衡模型,潮流模型,电压和电流模型。
3) 二阶锥松弛
![]()
则有

松弛后的结果为:

上式可以等价转化为

4) 大M等价法
αi为0到1之间变化,这样di的值将在dmin和dmax中变化,由于子问题本身考虑的就是在最恶劣的场景下,所以αi的取值只能是0或者是1,这样就能很好的用Big-M方法将其分离。


M为一个相对大的正数,如10000,当α-1时,从式(5.50)和(5.51)中可以得到0<μ-π1<0,即μ=π1,-M<μ<M对模型没有影响,这样与式(5.49)等价;当α=0时,式(5.50)和(5.51) 变为-M<μ-π1<M,由于M是很大的正数,其对模型没有影响,0<μ<0,即μ=0,这样式(5.49)等价。
5) 模型框架

6) 程序结果


7) 部分程序
%% 不确定集约束
C = [C, - lamwt1(1,:) + lamwt11(1,:) + LP(3,:) == 0];
C = [C, - lamwt1(2,:) + lamwt11(2,:) + LP(17,:) == 0];
C = [C, -mm*(1-Bwt) <= BBwt - lamwt11(1,:),BBwt - lamwt11(1,:)];
C = [C, -mm*Bwt <= BBwt,BBwt <= mm*Bwt];
C = [C, sum(sum(Bwt)) <= 24];
C = [C, -mm*Bwt1 <= BBwt1,BBwt1 <= mm*Bwt1];
C = [C, sum(sum(Bwt1)) <= 24];
C = [C, -mm*Bwt2 <= BBwt2,BBwt2 <= mm*Bwt2];
C = [C, sum(sum(Bpv)) <= 24];
%% 蓄电池约束
C = [C, LP(15,:)+/(0.64*2.78)*soc(1,:)==0];
C =[C, -LP(15,:).73/2.78*soc(1,:)==0];
C = [C, lam31(1,:)-lam3(1,:)-soc(1,:)-lam4==0];
C = C, soc(1,:)+lam5==0];
C = [C, LP(32,:)+lam2,:)+1/(0.64*2.78)*soc(2,:)==0];
C = [C, -LP(32,m2(2,:)-0.73/2.78*soc(2,:)==0];
C = [C, lam31(2,:)-lam3(2,:)-soc(2,:)-lam6==0];
C = [C, soc(2,:)+lam7==0];
C = [C, lam11>=0,lam1>=0,lam21>=0,lam2>=0];
部分内容源自网络,侵权联系删除!
欢迎感兴趣的小伙伴关注并私信获取完整版代码,小编会不定期更新高质量的学习资料、文章和程序代码,为您的科研加油助力!
