当前位置: 首页 > news >正文

双指针系列1 - 283. 移动零 和 1089. 复写零

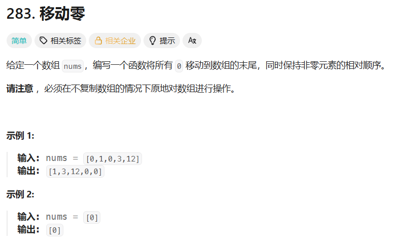
283. 移动零题目:

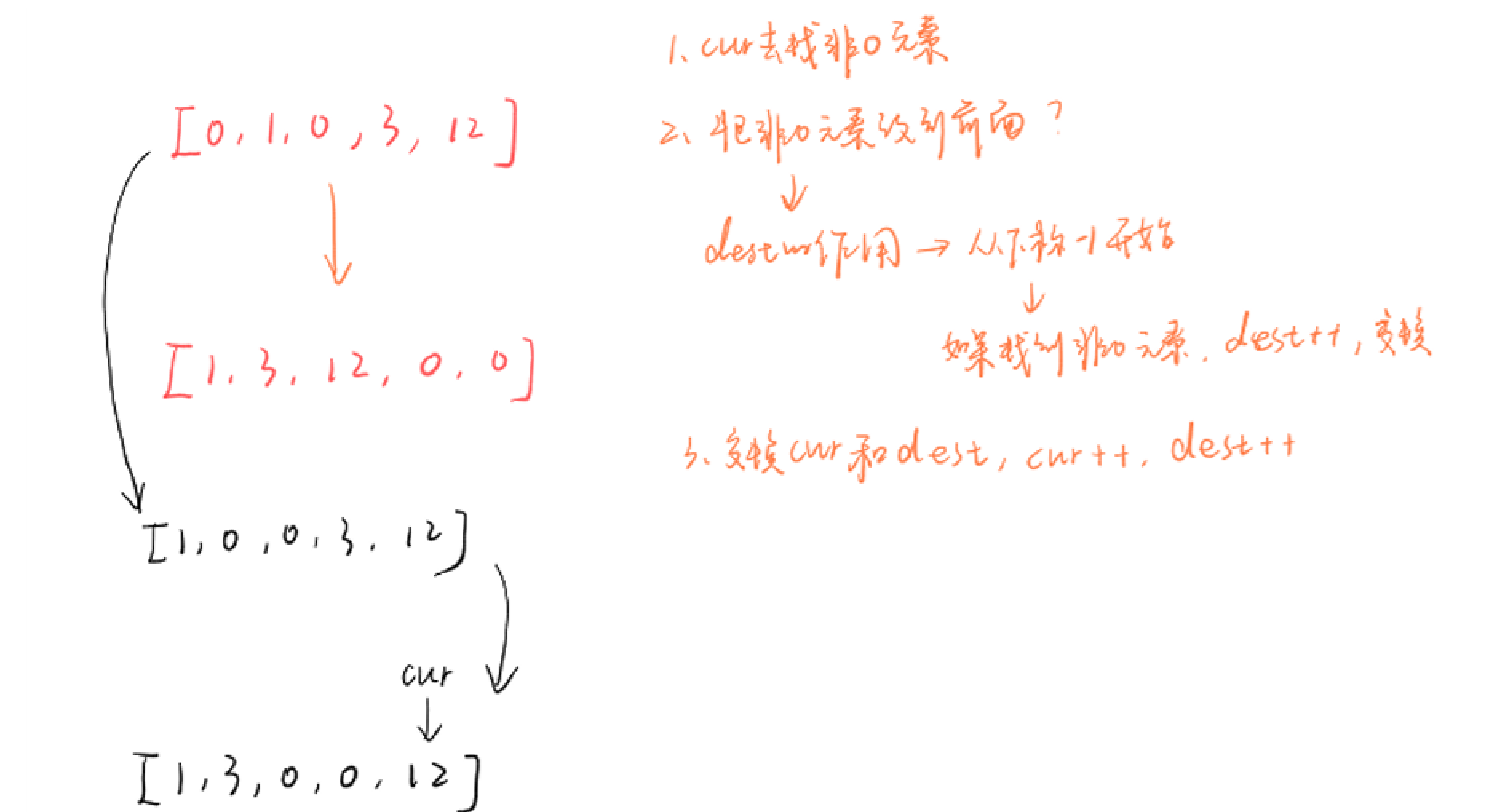
思路分析:

所以大致思路:

1. 定义两个双指针cur(用来遍历数组),dest(最后一个非零元素的下标):

刚开始可以认为数组没有非零元素,那么dest=-1;

cur=0找到了第一个非零元素,dest++,cur++;

2.cur去找非零元素,找到了dest++,交换cur和dest的值;

3.没有找到cur++,dest不动;

代码实现:

class Solution {
public:void moveZeroes(vector<int>& nums) {int cur = 0;int dest = -1;for(cur=0;cur<nums.size();cur++){// 找到非零元素if(nums[cur]){swap(nums[++dest],nums[cur]);}}}
};

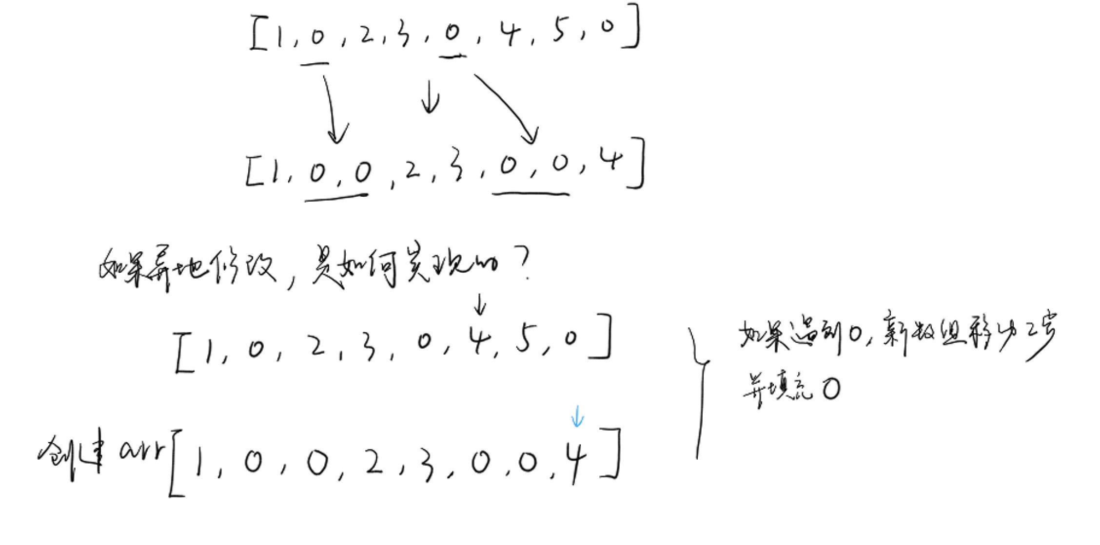
1089. 复写零题目:

思路分析:

代码实现:

class Solution {
public:void duplicateZeros(vector<int>& arr) {int cur = 0;int dest = -1;for (cur = 0; cur < arr.size(); cur++){if (arr[cur] == 0){dest += 2;}else{dest++;}if (dest >= arr.size()-1) //这里不要忘记dest=size()-1也要结束break;}if (dest == arr.size()){arr[arr.size()-1] = 0;cur--;dest -= 2;}while (cur >= 0){if (arr[cur]){arr[dest--] = arr[cur--];}else{arr[dest--] = 0;arr[dest--] = 0;cur--;}}}
};
http://www.dtcms.com/a/504911.html

相关文章:

  • 昆明做网站vr企业所得税会计分录
  • 网站建设技术免费简单网页制作成品
  • 网站建设公司推广网站品牌运营网站开发什么
  • 河南网站优化要多少钱台州网站搜索排名
  • 皋兰县建设局网站互联网营销外包推广
  • 网站商城设计方案智能自助建站系统源码
  • c语言14:字符指针
  • 手机怎么制作自己的网站wordpress怎么盈利
  • 网站页面链接怎么做怎么做二维码转到网站
  • 织梦dede建站教程视频郑州区块链数字钱包网站开发方案
  • 东莞网站设计轻量应用服务器可以做网站吗
  • 房产网站建站亚马逊雨林动物
  • 北京网站搜索引擎优化推广seo搜索优化是什么意思
  • matlab构造带通巴特沃斯滤波器进行滤波
  • wordpress建网站缺点公司注册网上查名
  • 申请建设网站经费申请苍溪县规划和建设局网站
  • GESP C++ 二级拓展课 三
  • 在线做网站午夜伦理百度竞价冷门产品
  • 国土网站建设自查报告用dedecms做两个一样的网站
  • 集团网站建设计划表百度免费网站制作成品
  • 建设网站需要学什么程序项目开发流程8个步骤流程图
  • 海口哪里做网站帝国cms 商城网站视频教程
  • 门户网站建设公司教程网站开发 技术难点
  • 阿里云服务器创建多个网站做网站第一部
  • Python高级编程:不通过调用init方法创建实例的完整指南
  • 怎么在百度搜索自己的网站百度一下百度一下
  • 网站租用西安seo网站公司
  • 中国城乡建设部网站首页h开头的网页设计软件
  • 第3章,[标签 Win32] :窗口类05,cbClsExtra 和 cbWndExtra 字段
  • 企业网站建设的方案ppt徐州网站开发兼职