当前位置: 首页 > news >正文

UPPAAL学习

UPPAAL过程的节点
1.初始位置在这里插入图片描述

过程的开始。每个进程必须有一个初始位置。初始位置用一个双圆圈标记。
2.紧急位置在这里插入图片描述

紧急位置冻结时间。该过程通过紧急节点进行转换,没有任何延迟。
3.已提交位置在这里插入图片描述

与紧急位置类似,承诺位置冻结时间。此外,如果任何进程处于承诺位置,则下一个转换必须从其中一个承诺位置进行。

不变量

  • 表达时钟和整数变量值的条件,这些条件必须为真才能保持在该位直。
  • 它被评估为布尔值。
  • 只能使用时钟变量、整数变量和常量(或此类数组)

  • 两个控制节点(位置)之间的线。
  • 边被注释/标记为选择、守卫、同步和更新。(selections,guards,synchronizations and updates)
    在这里插入图片描述

在这里插入图片描述

1.选择

语法 lD ‘:’ Type
选择ID是一个非确定性标识符。这些标识符可以作为变量,出现在此边界的其他标签(如守卫、同步或更新)中。支持的类型包括有界整数和标量集合。
它可以用作数组索引来决定要同步的通道,并作为参数在后续调用函数时使用。

例如,i : int[0,3]
因此,将在范围[0,3]内有一个随机值可以作为通道a的索引(chan a[4];)

2.守卫

  • 在必须满足的条件边缘表达,以进行转换。
  • 它应该是正确的,并且是无副作用的(即不允许有赋值)布尔表达式
  • 只允许时钟变量、整数变量和常量(或此类数组)

3.同步

同步意味着两个(或更多)进程在一步中进行转换(改变位置)。
为了同步进程,它们的边应标记一个通道变量(在前面声明,例如chan Push),然后为其中一个变量加上"!“,为另一个变量加上”?"。(例如,Push!Push?)。

4. 更新

当进行一个转换时,可以评估该边的更新(赋值)表达式。此表达式的副作用会改变系统的状态(例如: x=3;)。
注意,你也可以使用:=运算符。
在这里插入图片描述

正态位置的性质

是否可以在P0的S1位置等待(正常位置)

  • E<> P0.S1 and P0.x>0 //真还是假?

Time in P0 always >=0

  • A[] P0.x >= 0 //真还是假?

这个查询的结果是什么:

  • A[] PO.S1 and P0.x >=0
  • 它是FALSE,因为A[]意味着在所有状态下都适用,而不仅仅是P0.S1

UPPAAL中的查询类型

  1. E-存在一个路径
  2. A-对所有路径
  3. []-路径中的所有状态
  4. <>-路径中的某些状态

支持以下组合:

  • 'A[]'表达式
  • 'E<>'表达式
  • 'E[]'表达式
  • ‘A<>’ 表达式
  • 表达式 -->表达式

可达性属性

E<>p-可以达到一个状态,使得p得到满足。
p在(至少)一个可达状态中为真。
在这里插入图片描述

安全性和活性

任何系统的正确性总是以以下术语来表达的:安全性活性

安全性

保证坏事永远不会发生
表示永远不会发生坏事的属性

活性

保证好事最终会发生:
最终 ==并不意味着有时间限制,但如果你让系统运行足够长的时间,那么…
表示好事最终会发生。

例子

交叉路口的交通信号灯

  • 安全性

只有一个方向应该有绿灯

  • 活性

每个方向最终都应该有绿灯
在这里插入图片描述

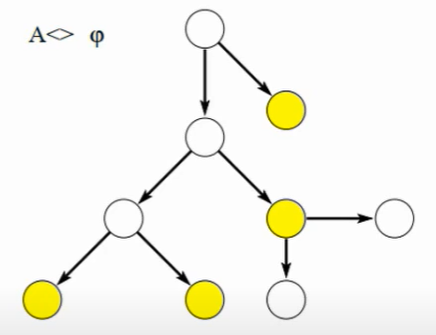
不变性

A[]p - p 保持不变。
P 在所有可达状态中为真。
在这里插入图片描述

变体

E[]p存在一条路径使得 p总是为真
在这里插入图片描述

活性属性

在简单形式中,活体性表达为:
路径公式A<>p,表示p最终被满足。
在这里插入图片描述

活性检测

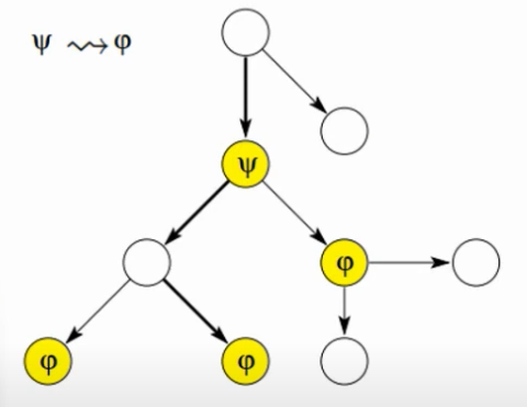
或者导致或响应属性,表示为 p -->q,读作当p 被满足时,最终q也会被满足。
例如:每当发送一条消息时,最终它会被接收。
在这里插入图片描述

整数(Integer):
使用关键字 int 声明。
取值范围为 -32768 到 32767。

布尔型(Boolean):
使用关键字 bool 声明。
布尔变量只有两个取值:

  • true(真)
  • false(假)

(注意:true 和 false 必须小写,UPPAAL 区分大小写)


Uppaal 中的声明语法:

UPPAAL 的声明语法与 C 语言类似。

整数(Integer)
int num1, num2;

两个默认取值范围的整型变量 num1 和 num2。

int[0,100] a;

一个取值范围为 0 到 100 的整型变量 a。

int a[100];

一个包含 100 个元素的整型数组。

int a[2][3];

一个二维整型数组。

int[0,5] b = 0;

一个取值范围为 0 到 5 的整型变量 b,并初始化为 0。

布尔型(Boolean)
bool yes = true;

一个布尔变量 yes,初始值为 true。

bool b[8], c[4];

两个布尔数组 b 和 c,分别包含 8 个和 4 个元素。


常量(Const)

const int a = 1;

一个整型常量 a,值为 1。

const bool No = false;

一个布尔常量 No,值为 false。


紧急通道(Urgent Channels)

当一个通道被声明为紧急通道时,通过该通道的同步优先于普通通道,并且该转换必须立刻执行,不允许延迟。
使用关键字 urgent chan 声明。

  • 紧急同步的边上 不允许 使用时钟守卫(clock guard)。
  • 允许 使用不变式(invariants)和数据变量守卫。
  • 注意:如果需要在某个状态冻结时间,可以将该位置声明为 Urgent 或 Committed。

广播通道(Broadcast Channels)

广播通道允许一对多同步。

带同步标签 e! 的边会向通道 e 发送一个广播,任何带同步标签 e? 且处于可触发状态的边都会与之同步。

例子: 用户向智能灯控系统中的灯控器发送广播信号 Push!,多个组件上的 Push? 同时接收。


声明示例

clock x, y;

两个时钟 x 和 y。

chan d;

一个普通通道 d。

urgent chan a, b, c;

三个紧急通道。

broadcast chan c;

一个广播通道 c。


函数与过程(Functions & Procedures)

可以与其他声明一同书写。

Add(加法)

以下函数返回两个整数的和,参数为值传递(call by value):

int add(int a, int b) 
{return a + b;
}
Swap(交换)

以下过程交换两个整数引用参数的值(call by reference):

void swap(int &a, int &b)
{int c = a;a = b;b = c;
}

函数可用于:

  • 赋值(Assignment)
  • 比较(Comparison)
  • 位置(Locations)
  • 边(Edges)

过程(Procedure)可用于除以下情况外的任意位置:

  • 赋值(Assignment)
  • 比较(Comparison)
http://www.dtcms.com/a/500476.html

相关文章:

  • 嘉定网站设计制作价格宣传片拍摄合同范本
  • 忻州网站建设培训网站备案填写电话号码
  • 阿里云服务器 放多个网站h5移动端网站模板下载
  • 老年衰弱与气虚体质
  • 企业微信聚合应用系统,ipad协议接口
  • namecheap建站wordpress.jsp网站开发技术
  • 淘宝客绑定网站备案号做网站对于不同的分辨率
  • Python基础_03_函数
  • 自由学习记录(107)
  • 宝山网站制作杭州家装设计公司排名榜
  • 购物网站开发步骤视频演示网页制作难学吗
  • 好看的网站 你知道的2021中国北京出啥大事了
  • 从零构建生产级日志分析系统:Flask + Docker + Nginx 完整实战
  • 济南市建设局网站查房产信息鞍山人才网站
  • 网站流量被用完了wordpress页面创建失败
  • 企业seo整站优化方案石家庄网站推广方案
  • 中学生做的网站有哪些方面企业号码查询系统
  • feed流推模式和拉模式学习
  • 颜色搭配的网站采集伪原创wordpress
  • 北京建设局网站首页河北省建设银行网站
  • 网站建设 300元电子商务网站建设 试题
  • 网站建设改版攻略51CTO学院个人网站开发视频
  • tkinter显示不出中文?
  • wordpress建壁纸站苏州网站建设上往建站
  • 温江做网站公司wordpress菜单选项
  • 网络层数、参数量、数据集大小的关系
  • 启迪网站建设招聘做自己的视频网站
  • STM32G474单片机开发入门(十六)CCM SRAM详解及实战
  • 安徽省建设厅网站首页集约化网站建设方案
  • seo对企业网站运营有何意义做网站的中标公司