当前位置: 首页 > news >正文

leetcode 206. 反转链表 python

给你单链表的头节点 head ,请你反转链表,并返回反转后的链表。

示例 1:

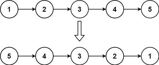
输入:head = [1,2,3,4,5]
输出:[5,4,3,2,1]

示例 2:

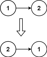
输入:head = [1,2]
输出:[2,1]

示例 3:

输入:head = []
输出:[]

提示:

  • 链表中节点的数目范围是 [0, 5000]
  • -5000 <= Node.val <= 5000
    # Definition for singly-linked list.
    # class ListNode:
    #     def __init__(self, val=0, next=None):
    #         self.val = val
    #         self.next = next
    class Solution:def reverseList(self, head: Optional[ListNode]) -> Optional[ListNode]:true_head = ListNode(0,None)//注意题中的头节点是有真正元素的p = headq = pwhile(p!=None):q = p.next            p.next = true_head.nexttrue_head.next = pp = qreturn true_head.next

http://www.dtcms.com/a/499293.html

相关文章:

  • 【C语言】自定义类型(附源码与图片分析)
  • 用户头像文件存储功能是如何实现的?
  • 网站设计大概在什么价位渠道销售
  • C++竞赛递推算法-斐波那契数列常见题型与例题详解
  • 单元测试-例子
  • 网站顶部素材山西制作网站
  • PHP 高效 JSON 库 JsonMachine
  • 网站建设内部因素百度站长平台有哪些功能
  • Linux内核IPoIB驱动深度解析:在InfiniBand上跑IP网络的高性能之道
  • 275TOPS算力边缘计算盒子的价值洞察与市场定位---视程空间
  • 对话 MoonBit 张宏波:为 AI 重构编程语言
  • QGIS制图专题4:缓冲区分析与服务半径专题图制作
  • IP 资源会枯竭吗?IPv6 能解决代理市场的矛盾吗?
  • 物联网运维中的边缘计算任务调度优化策略
  • TensorFlow2 Python深度学习 - 循环神经网络(LSTM)示例
  • C++第二十三课:猜数字游戏等练习
  • 河南省建设厅网站中州杯企业网站推广怎么做
  • 【数论】最大公因数 (gcd) 与最小公倍数 (lcm)
  • rocky linux MariaDB安装过程
  • git的 Rebase
  • 第8篇 QT联合halcon12在vs2019搭建环境开发图像处理
  • 【小白笔记】最大交换 (Maximum Swap)问题
  • CentOS安装Node.js
  • 深入解析MCP:从基础配置到高级应用指南
  • 佛山网站建设服务wordpress 不能更换主题
  • Process Monitor 学习笔记(5.13):从 0 到 1 的排障剧本清单(可复用模板)
  • Fluent 重叠网格+UDF NACA0012翼型摆动气动仿真
  • 深圳网站建设 设计卓越迈wordpress一键采集文章
  • 理想汽车Java后台开发面试题及参考答案(下)
  • python|if判断语法对比