当前位置: 首页 > news >正文

卫星授时原理

目录

技术介绍

UTC

总结


技术介绍

卫星授时是通过接收全球导航卫星系统(GNSS)提供位置和时间信息信号的授时技术,卫星授时技术目前在地震仪器的授时和校准技术上广泛应用,下图 展示了卫星授时技术三大模块的流程。其授时原理主要有几下几方面:1、多卫星协作:通常我们说到的GNSS系统他是多个卫星导航系统的统称,主要包括北斗、GPS、GLONASS、Galileo等国际主流导航系统,每个导航系统由多个卫星组成,如GPS由24颗卫星组成、北斗有约60颗卫星组成,并且这些卫星在全球范围内分布,并通过卫星上面的原子钟定期发送精确的时间信号。2、伪距测量:伪距测量技术是卫星导航和授时技术中关键的一步,地面接收器测量从不同位置的卫星发送的信号在空中传播时间,并且结合已知的卫星位置和相对运动参数,便可计算出自身的位置信息。接收到的卫星信号中包含了高精度的时间信息,地面接收机通过对这些信号进行解析后便可以实现授时。3、时间同步机制:为确保时间的精准性和可靠性,通常采用原子钟作为卫星的基准时间源,这样可以确保系统内卫星的时间高度一致。地面接收器在测算出不同卫星信号到达时间差,可以得到精确地时间偏移量,经过处理好的信号便可用于设备的本地时钟校正。卫星授时具有快速、高效、精准等独特的优势,我们通常使用主动式授时技术(即卫星内部高精度原子钟作为输出的时间信号),位于太空中的卫星将自身的高精度时间信号进行广播,这样可以用少量的卫星在全球范围内提供高精度的时间信号,并且由于卫星信号自身具有低噪声、传播路径干扰小等特点,且卫星授时也具备了高精度,低价格等优点,因此将其输出的 1PPS信号作为时间同步系统中的参考频率拥有不可替代的优势。

UTC

世界上第一个广泛运用的卫星导航系统GPS的时钟标准使用的是世界协调时间(UTC)。采用这种时间制式是考虑到人们日常生活中对均匀时间间隔的需求,与以地球自转为基础获取精准世界时时刻的要求。因此在GPS卫星内部,配备了与UTC时间保持高度同步的铯原子钟或氢原子钟。原子钟具有极高的稳定性记录时间,因此有足够的技术参数作为时钟源。地面接收机将捕捉GPS所广播的信息信号。而这些信号携带着定位信息、时间信息等有效信息,地面终端设备接收到信号后,会根据需要对信号进行解析计算,得到需要的信号来校准本地时钟,使本地时钟与GPS时钟达到同步状态,最终完成精确的时间传递任务,这一过程就被称为GPS授时。

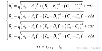
由于设备的安装使用具有极高的灵活度,在这种状态下GPS授时是未知站址授时,其存在三个未知数,这时候时间也属于未知参数,因此需要与4颗GPS卫星进行通信连接。根据理论计算得到的4颗卫星的坐标分别为 i A, i B,C  i 1  i  、2、3、4 ,设备位置坐标为 0 A, 0 B, 0 C,本地时钟相对于GPS时间钟差为 t,那么可以得到如下所示公式:

总结

将上述的方程组进行求解便可得到用户的数据 0 A, 0 B, 0 C和本地钟相对GPS时间的时差 t。然后便按 t修正本地时钟就可实现与GPS时间的同步。在上述的式子中为设备到4颗卫星伪距实测值,c表示为光速, t为本地时钟相对GPS时间的真时差, *R为本地钟相对GPS时间的真时差, GPS t为用户接收机收到的GPS时刻信号, U t 为本地时钟, SV t载钟相对于GPS时间时差,*  是星R c是直接测得的伪时差,卫星到地面接收机的总时延, R 只考虑卫星至接收机距离的时延, i 、 t 有电离层和对流层引入的附加时延, r  接收机天线、天线电缆及接收机本身引入存在的设备时延。如下图所示:

http://www.dtcms.com/a/497044.html

相关文章:

  • 2025时空低空经济发展现状与智能化趋势
  • 哪个网站推广做的好做网站素材在哪找
  • 荆州公司做网站多仓库版仓库管理网站建设源码
  • 哈尔滨餐饮网站建设外包公司的人好跳槽吗
  • 高中课程免费教学网站网络规划设计师知识点
  • 企业官方网站制作wordpress 3.8.1 exp 下载
  • 为什么做腾讯网站网站建设方案与报价
  • 网站建设教程特别棒湖南岚鸿权 威工业设计专业最好的大学世界排名
  • 2 网站内部链接优化网址大全
  • 3D Gaussian Splatting论文简要解读与可视化复现(基于gsplat)
  • 养老网站备案必须做前置审批吗天津电商网站建设
  • Spring Data Redis
  • 站长之家工具高清网站的百度推广怎么做
  • 深圳微信网站运营免费网站建站系统
  • 沈阳网站建设的公司西安网站推广排名
  • 购物网站有哪些平台百度网盘搜索引擎
  • 火币网(Huobi Pro)是否正规?是否存在安全漏洞?——深度解析
  • 第3章,[标签 Win32] :窗口类03,窗口过程函数字段
  • 软件开发网站开发公司工作组赴平凉事故现场
  • 友情链接如何选择网站工程招标信息网
  • 现在建设的网站有什么劣势网站建设公司盈利分析
  • 广西网站设计服务代码优化网站排名
  • django 网站开发视频杭州品牌网站建设
  • 白银市建设局网站首页包头微网站开发
  • 做网站维护是什么岗位浅谈你对大学校园网站建设的建议
  • seo整站优化建网站能干嘛
  • 企业网站推广建议考试报名费悦生活建设银行网站
  • 所得税 网站建设费北京网站建设公司华网制作作
  • Java核心概念:抽象类、接口、Object类深度剖析
  • 广西城乡与住房建设厅网站昆山网站建设公司哪家好