当前位置: 首页 > news >正文

【文献】“宽带中国”战略和低碳城市双试点的减污效应研究

“宽带中国”战略和低碳城市双试点的减污效应研究

摘要

立足于数字经济和绿色发展的新时代背景,基于2009—2019年285个城市的面板数据,以“宽带中国”战略和低碳城市双试点建设作为准自然实验,采用多期双重差分法对“宽带中国”战略和低碳城市双试点的减污效应进行实证检验。研究发现,在不影响城市经济发展的条件下,相较于非双试点城市,双试点城市环境污染水平显著降低,这一结论经过多种稳健性检验后仍然成立。双试点政策的减污效应存在显著的异质性特征。其中,相较于分布在中西部的城市,位于东部的城市减污效果更强;非资源型城市的减污效果较资源型城市的更为理想。双试点政策主要通过优化产业结构和促进技术创新两条途径对城市发挥减污效应。此外,双试点政策具有明显的空间溢出效应,不仅能够有效降低本地的污染排放,而且能够显著抑制“邻地”的环境污染。进一步研究发现,“宽带中国”战略单试点和低碳城市单试点均具有减污效应,但弱于双试点的减污效应,“宽带中国”战略试点和低碳城市试点对减少环境污染具有协同作用,实现了“1+1>2”的政策效果。

引言

1. 背景与政策提出:

  • 中国经济进入新发展阶段,“十四五”规划以推动高质量发展为主题,贯彻新发展理念;党的二十大强调践行“绿水青山就是金山银山”理念,但生态环保压力仍大,污染问题突出。
  • 为应对环境问题,2010年国家发改委开展低碳城市试点,后于2012、2017年扩大范围,旨在减少温室气体排放,推进经济绿色转型。
  • 数字经济蓬勃兴起,成为经济高质量发展新动能。2013年国务院发布**“宽带中国”战略**,后工信部与国家发改委发布三批示范城市(群)名单,该战略推动城镇化与信息化同步、经济和信息转型,助力数字经济发展以重塑经济结构、赋能绿色转型。

2. 核心问题:

  • “宽带中国” 战略和低碳城市双试点是否实现了减污效应?
  • 通过什么途径实现的?
  • 双试点城市的减污效果是否比单试点的更强?
  • 双试点对邻近地区的环境污染是否存在空间溢出效应?

理论分析

1. 低碳城市试点的作用与问题:

  • 作为环境规制体系部分,从强制约束、创新激励、产业结构转型三方面影响环境污染,具有弱约束性、行业针对性、政策组合性特征。
  • 推动试点城市强化环境规制,促进高污染行业低碳化,抑制污染物产生;绿色技术创新和产业结构转型是城市低碳转型重要途径,但低碳转型存在风险与不确定性,高污染产业转型受限下城市经济转型方向及企业经营风险规避需重视。

2. “宽带中国”战略的作用:

  • 推动技术进步与产业结构转型,数字经济带动新兴产业发展,自身低污染、高经济驱动,助力城市低碳转型、降低污染;促进企业绿色转型升级,优化生产流程,降低成本与能耗,减少排放;完善数字基础设施,缓解城市绿色转型风险,改变居民生活方式、为政府减污政策提供数据支撑。

3. 双试点的协同效应及假设:

  • “宽带中国”战略试点和低碳城市试点均能降污,二者可能存在政策协同,双试点减污效果或强于单试点,提出假设1:“宽带中国”战略和低碳城市双试点降低了城市环境污染

4. 影响机制与假设:

  • 从产业结构和技术创新两方面分析双试点减污的影响机制。
    -产业结构方面,低碳城市试点降低高能耗、高污染产业占比,“宽带中国”战略加速新兴信息产业发展,推动产业结构升级,抑制污染;
  • 技术创新方面,低碳城市试点政策引导企业技术创新,“宽带中国”战略加快网络基建,提升创新能力,技术创新通过清洁生产、环保监测等抑制污染,

假设2:“宽带中国”战略和低碳城市双试点能够通过优化产业结构、促进技术创新进而抑制环境污染。

研究设计

(一)模型设定

为探究“宽带中国”战略和低碳城市双试点的减污效应,本文采用多期双重差分法对试点前后试点城市和非试点城市的减污效果的差异进行比较,构建以下基础模型:

polit=α0+α1bdlcit+α2Xit+νi+μt+εit(1)pol_{it}=\alpha_{0}+\alpha_{1}bdlc_{it}+\alpha_{2}X_{it}+\nu_{i}+\mu_{t}+\varepsilon_{it}(1)polit=α0+α1bdlcit+α2Xit+νi+μt+εit(1)

其中,下标iiittt分别表示城市和年份,

  • 被解释变量polpolpol表示取自然对数的城市环境污染排放规模,分别选取工业二氧化硫排放量和PM2.5PM_{2.5}PM2.5浓度的对数值进行表征
  • bdlcbdlcbdlc为核心解释变量,即多期双重差分变量,其取值规则为:某个城市成为双试点城市的当前年度及以后年度,取值为111,否则取值为000
  • α1\alpha_{1}α1表示多期双重差分变量的估计系数,反映了“宽带中国”战略和低碳城市双试点的减污效果。如果α1<0\alpha_{1}<0α1<0且通过显著性检验,则说明双试点显著降低环境污染。
  • XitX_{it}Xit为控制变量,νi\nu_{i}νi为城市固定效应,μt\mu_{t}μt为年份固定效应,εit\varepsilon_{it}εit为随机误差项。

为进一步验证“宽带中国”战略和低碳城市双试点的减污作用机制,本文参考已有研究,采用因果中介效应估计检验传导机制的存在,相较于传统的中介效应模型,该方法的优势在于可以作出变量关系的因果推断。具体模型如下:

Mit=β0+β1bdlcit+β2Xit+νi+μt+εit(2)M_{it}=\beta_{0}+\beta_{1}bdlc_{it}+\beta_{2}X_{it}+\nu_{i}+\mu_{t}+\varepsilon_{it}\ (2)Mit=β0+β1bdlcit+β2Xit+νi+μt+εit (2)

polit=ϕ0+ϕ1bdlcit+ϕ2Mit+ϕ3Xit+νi+μt+εit(3)pol_{it}=\phi_{0}+\phi_{1}bdlc_{it}+\phi_{2}M_{it}+\phi_{3}X_{it}+\nu_{i}+\mu_{t}+\varepsilon_{it}\ (3)polit=ϕ0+ϕ1bdlcit+ϕ2Mit+ϕ3Xit+νi+μt+εit (3)

其中,MitM_{it}Mit为中介变量,包括 产业结构升级isisis和技术创新tctctc ,表示“宽带中国”战略和低碳城市双试点实现减污效应的机制路径。其他变量含义同式$ (1) $。

(二)变量选取

  1. 被解释变量:环境污染。本文分别选取地级市的工业二氧化硫排放量SO2SO_{2}SO2PM2.5PM_{2.5}PM2.5浓度PM2.5PM_{2.5}PM2.5表征环境污染,并选取工业废水waterwaterwater和工业烟(粉)尘smokesmokesmoke的排放量进行稳健性检验。同时,为了增加数据的平稳性,对以上四种污染物数据均进行对数化处理。

  2. 核心解释变量:多期双重差分变量bdlcbdlcbdlc。基于已有学者的做法,按照是否同时为“宽带中国”示范城市和低碳城市构造虚拟变量bdlcbdlcbdlc:城市同时成为“宽带中国”示范城市和低碳城市的当年及以后年度,bdlcbdlcbdlc赋值为111,否则赋值为000。同理,当某一城市仅作为“宽带中国”示范城市或低碳城市单试点时,政策处理变量bdbdbdlclclc在城市成为试点的当期及后期均赋值为111,否则为000

  3. 中介变量

  • 产业结构isisis。经济结构服务化是产业结构优化升级的重要表现,因此选取第三产业产值与第二产业产值的比值衡量产业结构,该比值变大,意味着产业结构朝着服务化方向升级。
  • 技术创新tctctc。现有文献多采用专利申请数表示技术创新能力,但是专利申请数并不能真实反映城市创新水平[42]^{[42]}[42],因此本文采用专利授权数体现技术创新。为剔除人口规模的影响,选取地级市每万人专利授权数进行表征。
  1. 控制变量
    本文借鉴已有研究[43−44]^{[43-44]}[4344]对以下可能影响环境污染的变量进行控制:
    $ (1) 科技支持科技支持科技支持st$,用科技支出占地方财政支出的比重表示;
    $ (2) 经济发展水平经济发展水平经济发展水平pdgp,采用人均,采用人均,采用人均GDP$的对数衡量;
    $ (3) 政府干预政府干预政府干预gov$,用地方财政支出占生产总值的比重衡量;
    $ (4) 绿化覆盖率绿化覆盖率绿化覆盖率gc$,由城市绿化面积占城市总面积的比重进行衡量;
    $ (5) 交通基础设施水平交通基础设施水平交通基础设施水平inf$,利用人均城市道路面积衡量;
    $ (6) 人口规模人口规模人口规模pd$,用人口密度的对数表示。

(三)样本说明与数据来源

考虑到数据的可获性和可靠性,本文采用2009—20192009—20192009—2019年中国285285285个地级及以上城市作为研究样本,该样本覆盖了292929个省$ 区区 $市(不包括西藏、香港、澳门和台湾)。在样本范围内,低碳城市有686868个,其中东部地区占比为44.1244.12%44.12,中部地区和西部地区均为27.9427.94%27.94。样本中的“宽带中国”示范城市共108108108个,其中东部地区393939个,中部地区373737个,西部地区323232个。双试点城市在东部较为集中,占到样本总数的44.74%,西部地区次之,占到28.95%,中部地区最少,仅为26.32%。

变量数据主要来自《中国城市统计年鉴》《中国城市建设统计年鉴》《中国统计年鉴》、各省市统计年鉴以及国家知识产权局。个别缺失数据采用线性拟合或者插值法予以补充。

变量类型变量名称变量符号度量方法或定义数据来源
被解释变量环境污染polpolpol对污染排放量取自然对数;主要指标为工业二氧化硫排放量(SO2SO_2SO2)和PM2.5PM_{2.5}PM2.5浓度;稳健性检验使用工业废水排放量(waterwaterwater)和工业烟(粉)尘排放量(smokesmokesmoke)。《中国城市统计年鉴》《中国城市建设统计年鉴》等
核心解释变量多期双重差分变量bdlcbdlcbdlc若城市在当年及以后同时为“宽带中国”示范城市和低碳城市,则取值为1,否则为0。政策文件与统计年鉴
单项试点变量“宽带中国”试点bdbdbd城市在当年及以后成为“宽带中国”示范城市取1,否则取0。同上
低碳城市试点lclclc城市在当年及以后成为低碳城市试点取1,否则取0。同上
中介变量产业结构升级isisis第三产业产值与第二产业产值之比;比值越大,表示产业结构越服务化。各省市统计年鉴
技术创新tctctc每万人专利授权数,用以衡量技术创新水平。国家知识产权局
控制变量科技支持ststst科技支出占地方财政支出的比重。各地统计年鉴
经济发展水平pdgppdgppdgp人均GDP的对数。《中国统计年鉴》
政府干预govgovgov地方财政支出占GDP比重。同上
绿化覆盖率gcgcgc城市绿化面积占城市总面积比重。《中国城市建设统计年鉴》
交通基础设施水平infinfinf人均城市道路面积。同上
人口规模pdpdpd人口密度的对数。各地统计年鉴

实证结果分析

(一)基准回归

表1报告的是“宽带中国”战略和低碳城市双试点对城市环境污染影响的基准回归结果。

  • 由表1列(1)和列(2) 的结果可知,在控制城市和年份效应以及未加入控制变量时,“宽带中国”战略和低碳城市双试点对二氧化硫和PM2.5PM_{2.5}PM2.5的估计系数均显著为负;
  • 列(3)和列(4) 中同时加入控制变量和固定效应,实证结果表明,双试点同样能够显著降低二氧化硫排放量和PM2.5PM_{2.5}PM2.5浓度。

列(1)至列(4)的结果均验证了假设1,即“宽带中国”战略和低碳城市双试点的设立有助于降低环境污染,这意味着双试点发挥了预期的减污作用。

  • 列(5) 为考察双试点的减污效应是否以牺牲经济发展为代价,本文将双试点与城市对数化的生产总值gdpgdpgdp进行回归。结果表明,双试点具有显著的经济增长效应。

综上可得,“宽带中国”战略和低碳城市双试点能够带来环境与经济的双重红利,进而推动发展与保护协同共进之路越走越宽广。

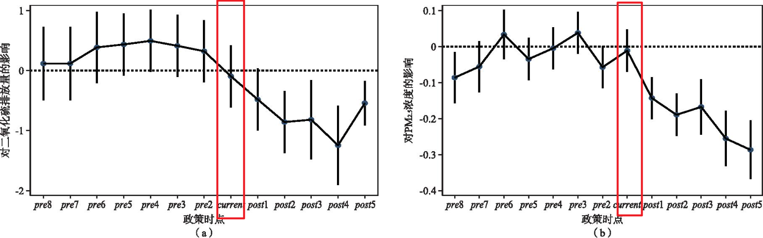
(二) 平行趋势检验

成为双试点前后城市二氧化硫排放量和PM2.5PM_{2.5}PM2.5浓度的变化情况见图1。

由图1(a)可以发现,成为双试点当年及之前年度对二氧化硫排放量的影响均未通过显著性检验,这说明在这期间,处理组与对照组对二氧化硫排放量影响的变动趋势一致,但成为双试点一年之后,处理组与对照组的差异显著,满足了平行趋势假设。

同理,由图1(b)可以看出,成为双试点当年及之前年份(除成为双试点前第8年外)PM2.5PM_{2.5}PM2.5浓度的影响系数不显著异于0,成为双试点之后影响系数显著异于0,基本上满足平行趋势假设。

(三) 稳健性检验

1. 安慰剂检验

借鉴郭劲光和王虹力的研究,本文通过随机抽选处理组与对照组来进行安慰剂检验。根据基准模型重复500次回归模拟,画出核密度图。如图2所示,双试点对二氧化硫和PM2.5PM_{2.5}PM2.5的影响的估计系数基本上呈现以零为均值的正态分布,而且均大于基准回归中相应的真实估计值-0.6679和-0.1286,这意味着几乎没有系数落在真实估计值的左侧,表明基准回归结果是稳健的。

2. 内生性检验

本文通过引入工具变量缓解内生性问题。具体而言:地形起伏度会影响到宽带接入与网络信号质量,地形较为平坦的地区在建设数字基础设施时具有天然优势;地形起伏度还影响着人口密度、经济活动,而低碳城市的选取与该区域的人口密度和经济活动密切相关。所以,地形起伏度与“宽带中国”战略和低碳城市双试点的设立具有相关性。同时,作为地理上客观存在的变量,地形起伏度也满足外生性假设。故本文将城市地形起伏度与双试点的交互项IV作为工具变量,并运用两阶段最小二乘法进行检验,结果见表2。

结果显示:工具变量通过了相关检验,表明选取的工具变量合理;双试点对二氧化硫排放量和PM2.5PM_{2.5}PM2.5浓度的影响仍然显著为负,且其系数绝对值均大于基准回归的估计值,说明工具变量的使用减弱了内生性问题。

其他稳健性检验
  • 替换被解释变量:用工业废水和工业烟(粉)尘排放量自然对数重新回归。
  • 更换估计方法:采用倾向得分匹配双重差分法(PSM - DID)检验。
  • 剔除弱内生性样本:剔除直辖市和省会城市,研究双试点对一般城市污染的影响。
  • 控制区域和年份交互项:减少区域时变因素影响。

(四)异质性检验

  • 地理区位:东部双试点城市二氧化硫减排效果优于中西部,对PM2.5PM_{2.5}PM2.5抑制效果也更强,因东部经济、基建、技术更优。
  • 资源禀赋:双试点对非资源型城市二氧化硫和PM2.5PM_{2.5}PM2.5负向影响大于资源型城市,资源型城市因产业和发展惯性,抑制效应难完全凸显。

(五) 机制检验

本文从 产业结构isisis技术创新tctctc 角度检验双试点对环境污染的作用机制,并通过因果中介分析方法,在反事实框架下估计了中介效应的平均效应,结果见表555

结果显示:当中介变量为产业结构时,双试点通过优化产业结构负向影响二氧化硫和PM2.5PM_{2.5}PM2.5的平均因果中介效应ACMEACMEACME分别为−0.0951-0.09510.0951−0.0173-0.01730.0173,其对应的9595%95的置信区间均在000以下,说明中介效应存在;直接效应ADEADEADE和总效应ATEATEATE的值均为负,且其9595%95的置信区间均小于000。除此之外,中介效应比例分别为0.14270.14270.14270.13480.13480.1348,表明了产业结构作为双试点负向影响环境污染的渠道的重要性。

当中介变量为技术创新时,双试点通过促进技术创新负向影响二氧化硫和PM2.5PM_{2.5}PM2.5ACMEACMEACME分别为−0.2093-0.20930.2093−0.0292-0.02920.0292,相应的9595%95的置信区间均小于000,且其对应的直接效应和总效应也通过了检验,这表明技术创新发挥的中介效应存在。中介效应比例分别为0.31390.31390.31390.22730.22730.2273,说明技术创新在双试点减少环境污染中同样发挥着至关重要的作用。如大约3131%31的二氧化硫是通过技术创新渠道减少的,这意味着双试点能够提高城市技术创新水平,并逐步增强其创新能力,从而降低城市环境污染。综上分析,“宽带中国”战略和低碳城市双试点通过优化产业结构、促进技术创新降低城市的环境污染。

因果中介效应需要满足序列可忽略假设,该假定是无法直接进行验证的,但敏感性分析可以量化评估如果违反了该假定对研究结果的稳健性有何影响。敏感性结果表明见表6,当二氧化硫作为被解释变量,且中介变量产业结构和技术创新对应的RhoRhoRho的取值分别为−0.2969-0.29690.2969−0.2487-0.24870.2487时,其相应的因果中介效应ACMEACMEACME均取值为000,而表555中列111与列222、列444与列555adj−R2adj - R^{2}adjR2分别为0.5240.5240.5240.7080.7080.7080.8690.8690.8690.6990.6990.699,经过计算可得到未观察到的混淆因子对模型的解释力分别为0.1410.1410.1410.0870.0870.0870.0330.0330.0330.0750.0750.075,远小于本文使用八个变量对模型的解释能力。现实中,几乎不存在一个未观察到的混淆因子对其模型的解释力与八个变量合起来的解释力相当的情况,这在一定程度上支持序列可忽略假设,表明了因果中介效应结果的稳健性。同理,当被解释变量为PM2.5PM_{2.5}PM2.5时亦是如此。

(六)空间溢出效应

政策试点对同类城市或地区具有示范和引领的作用,且地理事物之间具有显著的关联性,那么,“宽带中国”战略和低碳城市双试点是否会对周边城市的污染排放产生影响?因此,本文参考孟溦和高鸿怡的研究,引入空间滞后项,将双重差分模型与空间计量模型相结合,建立空间双重差分模型评估双试点减污效应的空间效应,具体模型如下:

polit=χ0+ρWpolit+χ1bdlcit+χ2Xit+νi+μt+εit(4)pol_{it}=\chi_{0}+\rho Wpol_{it}+\chi_{1}bdlc_{it}+\chi_{2}X_{it}+\nu_{i}+\mu_{t}+\varepsilon_{it}\ (4)polit=χ0+ρWpolit+χ1bdlcit+χ2Xit+νi+μt+εit (4)

其中,WWW为空间权重矩阵,为增强研究结果的稳健性,本文分别采用基于城市经纬度、GDP均值计算得到的地理距离和经济距离两种权重矩阵进行空间实证分析。 ρ\rhoρ为空间自回归系数,表示不同城市之间环境污染的空间相关性WpolitWpol_{it}Wpolit表示的是环境污染的空间滞后项。其余变量含义同式$ (1) $。

表7报告了空间效应检验及分解结果。结果表明:

  • 首先,在地理距离权重与经济距离权重矩阵下,“宽带中国”战略和低碳城市双试点(bdlcbdlcbdlc)对二氧化硫排放量和PM2.5PM_{2.5}PM2.5浓度的估计系数均显著为负,与前文的基础回归结果保持一致,这说明加入空间因素后,双试点的减污效应依然存在
  • 其次,空间自回归系数通过1%的显著性水平检验,且系数为正值,表明不同城市间环境污染存在空间相关性
  • 最后,采用偏微分方法将空间效应分解为直接效应、溢出效应和总效应。根据效应分解结果可知,基于两种权重矩阵,双试点(bdlcbdlcbdlc)对二氧化硫排放量和PM2.5PM_{2.5}PM2.5浓度的直接效应和溢出效应均显著为负,这说明“宽带中国”战略和低碳城市双试点的设立不仅对本地的环境污染产生明显的抑制效应,亦能随着要素溢出、知识扩散和示范效应等对邻近城市的环境污染产生负向的影响

综上所述,“宽带中国”战略和低碳城市双试点的设立具有明显的空间溢出效应,辐射带动了邻近城市的减污效应,产生“以邻为睦”的减污效果。

(七)进一步讨论

为了进一步验证“宽带中国”战略和低碳城市两种试点政策的协同效应,本文首先进行两项政策单试点减污效应的检验。为此,本小节剔除了低碳城市的样本,仅仅保留“宽带中国”战略单试点的样本以及基准回归中的对照组,借此剥离出“宽带中国”战略试点对城市环境污染的净影响效应,如表8中列(1)和列(2)所示。“宽带中国”战略(bdbdbd)对二氧化硫和PM2.5PM_{2.5}PM2.5的回归系数均在1%的水平下显著为负,表明“宽带中国”战略具有显著的减污效应。同理,剔除“宽带中国”示范城市样本后,可以得到低碳城市试点对城市环境污染的净影响效应,如表8中列(3)和列(4)所示。低碳城市试点(lclclc)对二氧化硫和PM2.5PM_{2.5}PM2.5具有显著的抑制作用,表明低碳城市试点具有显著的减污效应。

本文进一步证明双试点政策的减污效应明显优于单一试点。具体操作如下:在全样本中剔除既不是“宽带中国”战略试点也不是低碳城市试点的样本,保留是“宽带中国”战略试点或是低碳城市试点的样本,此时多期双重差分变量bdlcbdlcbdlc的系数捕捉到的是先成为“宽带中国”示范城市再成为低碳城市或先成为低碳城市再成为“宽带中国”示范城市,即单试点城市成为双试点城市对城市环境污染的净影响效应,如表8中列$ (5) 和列和列和列 (6) 所示。所示。所示。bdlc对二氧化硫和对二氧化硫和对二氧化硫和PM_{2.5}$的估计系数均在1%的水平下显著为负,表明单试点城市成为双试点城市对环境污染具有显著的抑制作用,换言之,双试点比仅仅是单试点减污更有效。

最后,本文通过对样本城市的处理进一步识别了“宽带中国”战略试点与低碳城市试点时间先后顺序对减污效应的影响。具体做法如下:在上一步的基础上,保留已是“宽带中国”示范城市还未成为双试点城市的样本,此时多期双重差分变量bdlcbdlcbdlc的系数表示的是“宽带中国”示范城市成为低碳城市对环境污染的影响。结果如表9中列$ (1) 和列和列和列 (2) 所示,所示,所示,bdlc对环境污染的回归系数均显著为负,表明“宽带中国”示范城市再成为低碳城市的双试点减污效应得到支持。同理,保留已是低碳城市还未成为双试点城市的样本,此时多期双重差分变量对环境污染的回归系数均显著为负,表明“宽带中国”示范城市再成为低碳城市的双试点减污效应得到支持。同理,保留已是低碳城市还未成为双试点城市的样本,此时多期双重差分变量对环境污染的回归系数均显著为负,表明宽带中国示范城市再成为低碳城市的双试点减污效应得到支持。同理,保留已是低碳城市还未成为双试点城市的样本,此时多期双重差分变量bdlc的系数表示的是低碳城市成为“宽带中国”示范城市对环境污染的净影响效应。结果如表9中列的系数表示的是低碳城市成为“宽带中国”示范城市对环境污染的净影响效应。结果如表9中列的系数表示的是低碳城市成为宽带中国示范城市对环境污染的净影响效应。结果如表9中列 (3) 和列和列和列 (4) 所示,所示,所示,bdlc对二氧化硫和对二氧化硫和对二氧化硫和PM_{2.5}的估计系数均显著为负,但系数值均小于列的估计系数均显著为负,但系数值均小于列的估计系数均显著为负,但系数值均小于列 (1) 和列和列和列 (2) $所示的系数,这说明低碳城市成为双试点城市的减污效应得到验证,但减污效果弱于“宽带中国”示范城市成为双试点城市的效果。

http://www.dtcms.com/a/484226.html

相关文章:

  • 建了个网站百度上会有么比分网站仿站建设
  • 已有备 网站新增网站网站建设网络推广广告语
  • 固安企业网站建设深圳集团网站建设服务
  • 内部劵淘网站怎么做网站是什么?
  • 好好建站做标书有什么好的网站吗
  • 深度学习之YOLO系列YOLOv3
  • 猪八戒网站开发合同华为企业网站建设需求分析
  • HTML网站页面建设深圳建网站公司哪家好
  • 网站建设 电子商务 品牌首选IDC在常州 做兼职上什么网站
  • 网站换模板影响云服务器做的网站需要备案
  • 太原网站seo服务个人网站制作流程图片
  • 微信网站主题做别墅花园绿化的网站
  • Oracle OCM 认证的定位与价值
  • 如何快速查找并连接到陌生的MySQL数据库?
  • 怎样做网站推广啊视频企业网站怎么制作
  • 做能收款的网站多少钱wordpress 目录遍历
  • 企业做网站的费用计入什么科目中山网站设计
  • 软件编程课程:课程目录介绍 总纲
  • 阿里云的wordpress如何设置密码大连企业网站排名优化
  • 网站欢迎页面设计松江网站建设培训费用
  • 网站海外推广平台百度手机网址提交
  • 东莞公司企业设计网站建设邢台视频优化排名
  • 2016年4月自考《信息组织》试题
  • 中断向量表作用
  • 如今做哪个网站能致富商丘企业网站服务
  • 宁德商城网站建设莱芜手机网站设计公司
  • 低价网站建设策划内容在线免费解答网站怎么建
  • 做网站代理怎么样企业网站建设公司丰台
  • 动漫电影做英语教学视频网站有哪些大城网站建设
  • 最牛html5网站建设wordpress做招聘网站