当前位置: 首页 > news >正文

MySQL索引原理

目录

索引

存储方式

案例

理解page

多个page

B树  VSB  +树

聚簇索引 VS 非聚簇索引

聚簇索引

非聚簇索引

innodb对比MYISAM

MYISAM

innodb


索引

用于提高数据库的性能,不需要增加内存与其他的sql语句就可以让查询速度提升许多倍。

但是这种提升是以修改作为代价的。

我们可以通过数据结构:vector、list进行对比

链表不支持随机访问,也就是没有索引,需要访问某一个数据需要从头开始遍历直到找到符合条件的数据。

顺序表支持随机访问,也就是有索引。访问某个数据时直接就可以计算出对应数据的地址进行快速访问。

但是一旦涉及到修改,顺序表的效率比起链表就会慢很多,这就是快速检索的“代价”

存储方式

我们知道操作系统中管理数据是以‘块’为单位(4KB进行IO),MySQL同样如此,MySQL一次读取硬盘数据的基本单位为16KB(innodb存储引擎)。

为了提高效率,我们要做的就是尽量减少io次数,因为数据库的数据存储在硬盘上,而不是内存中。硬盘io效率要远远低于内存效率。

案例

我们可以观察到,在我们设置了主键之后,就算我们插入数据的顺序并没有按照顺序来,但是当我们进行查找是可以发现他们是有序的,这是为什么?

设想,当我们访问一个数据时,有没有可能访问与这个数据相关的其他数据?由于局部性原理,我们访问时有很大可能会用到该数据附近的数据,因此我们如果可以一次性将某数据周围的数据页读取出来,那么下次进行访问时,就不需要访问磁盘进行io了,这样也就提高了效率。

这样主要是用于解释为什么mysql一次的读取单位为16KB,目的是为了减少io提高效率。

理解page

不同的 page,在mysql中都是16KB,采用两个指针构成双向链表

上文中对数据进行排序主要是因为有主键的问题,从上面的例子中我们也可以发现,每个数据都是按照主键顺序进行有序排列的。

而这种操作的主要目的则是上文的提升效率。如果因为排序而可以提前结束查找,那么效率就提升了。

多个page

好了,这样让我们再次设想一下,如果数据很多的话,一个一个page进行遍历查找,效率是不是很低?那么我们有没有什么办法提升效率?

那就是换一种数据结构来对数据进行存储。

MySQL中对数据进行存储采用的数据结构是B+树

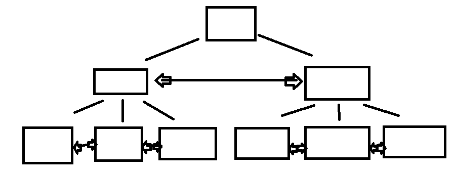
就是上面这样的结构,相邻的数据之间,通过指针进行连接,一个节点可以管理多个子节点。

与二叉树不同的是,二叉树只有左右两个节点,对于保存在磁盘中的数据,这样的查找方式会导致多次io,也就是效率会很低下。

但是B+树则可以一个父节点关联多个子节点,显著的减少了树高,也就减少了io次数,提升效率。

这样,我们只需要从最顶上节点开始,一次从磁盘中以Page为单位读取数据到内存中,然后向下去寻找目标Page,读取数据。

最终,我们形成的结构就是这样的,每一级父节点,都存储目标page索引(大索引,也就是分隔,比如第二层是以20为分隔(0,20,40),下一层就以4为分隔(0,4,8)。然后不同的索引处对应了不同的下一级节点地址,也就是存储的值)

通过计算来一层层获取到叶子节点,叶子节点中存储的就是实际的数据。

B树  VS  B+树

我们从上面已经可以知道了B+树的结构是个什么样子,父节点存索引,叶子节点存数据,但这是B+树,还有一种树形结构,为B树,B+树实际上就是B树优化而来的。

通过与B+树进行比较,我们可以发现,B+树是将所有的值存放在了叶子节点处,而B树则是在每一个节点中都会存放数据。这样会导致每一个page可以存放的数据量更少,也就会进一步导致树更高,io次数也会更多

同时B+树的叶子节点之间是通过指针相连的,这样的话,对于数据来说,范围查找也就更方便了

聚簇索引 VS 非聚簇索引

这个则是取决于存储引擎了,MySQL默认存储引擎为innodb(支持事务),也可以选择存储引擎为MYISAM(支持全文索引)。

这两种存储引擎除了功能上的区别外,就连存储方式也有所不同。

聚簇索引

叶子节点中存放的是具体的数据

非聚簇索引

叶子节点中存放的是目标数据的物理地址(没错,最后找到的page页存放的不是实际数据,而是数据的存放地址)。

innodb对比MYISAM

上面的两种索引方式,是两种存储引擎的主键索引存储方式,然后就是两种存储引擎的普通索引存储方式。

MYISAM

存储方式和主键索引一样,也是叶子节点存储数据地址

innodb

innodb的普通索引存储的就不是目标数据了,而是对应数据对应的主键索引。

设想,如果一个数据的数据量很大,如果我们将数据再次完完整整的复制一份,是不是非常的浪费空间,但是如果我们将数据采用主键索引的方式,再次去访问主键对应的B+树,就可以节省很多空间。

同时也不需要担心效率的问题,如果是高频访问到数据,那么该数据会进行缓存,而不是释放,读取内存的效率比起读取磁盘要高多了。

http://www.dtcms.com/a/482974.html

相关文章:

  • 扁平化网站源码云服务器最便宜
  • 一个网站的成功深圳市深企在线技术开发有限公司
  • Python学习-----小游戏之人生重开模拟器(普通版)
  • 上海网站建设的网html网站系统
  • 理解AUROC,AP,F1-scroe,PRO
  • php做网站安全性wordpress 网银
  • 教程上新|重新定义下一代 OCR:IBM 最新开源 Granite-docling-258M,实现端到端的「结构+内容」统一理解
  • 网络原理 -- HTTP
  • 县级门户网站建设的报告网页游戏网站排名
  • 快速创建无线AP热点
  • CSS级联层样式权重和优先级
  • 免费搭建私人网站修改wordpress后台文字
  • 站内推广的方法网络整合营销传播
  • 国际网站建设的目的网站建设预算知乎
  • 瀚海微SD NAND/TF卡:赋能全场景数据存储,定义高效安全新基准
  • 怎样安全地开启MySQL远程管理权限?
  • 建设局网站查询个人信息wordpress首页文章显示固定分类
  • 网站建设多少钱实惠湘潭磐石网络企业网站建设的目的是什么
  • 知微传感Dkam系列3D相机SDK例程篇:Python设置相机触发模式
  • Java 故障分析与性能调优命令详解(含案例)
  • 【Pytorch】激活函数 Loss 梯度 超详细文本笔记
  • 不同材质金冠钳的力学性能及其对修复体就位影响研究
  • vs2015做网站的后端个人怎么做百度竞价
  • 微信小程序入门学习教程,从入门到精通,项目实战:美妆商城小程序 —— 知识点详解与案例代码 (18)
  • 微信小程序添加水印功能
  • 02_ES索引规范kibana
  • 购物网站建设模板图片价格低的跑车
  • LeetCode hot100:049 字母异位词分组:两种解法的深度解析
  • 网站建设业务前景政务信息网站建设制度
  • 使用C#写微信小程序后端——电商微信小程序