5~20.数学基础
方向导数

梯度
梯度就是最大变化率的方向导数的向量
向量范数
L0范数

L1范数(和范数)

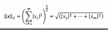
L2范数(欧几里得范数)

向量代码

矩阵和张量
矩阵基本运算
代码


矩阵的其他运算
矩阵的向量化

矩阵内积

矩阵Hadamard(哈达玛)积

矩阵的Kronecker(克罗内克)积(张量积)

最后得到一个:mp行 * nq列的矩阵
其他运算代码

张量


矩阵的矩阵就是张量
矩阵求导

典型计算场景




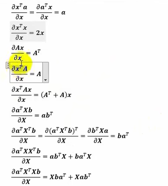
常用求导结果

梯度矩阵
实标量函数f对向量矩阵求grad

计算离散梯度


梯度就是最大变化率的方向导数的向量










最后得到一个:mp行 * nq列的矩阵



矩阵的矩阵就是张量







