当前位置: 首页 > news >正文

使用Mathematica做Lorenz系统的稳定性分析

Lorenz-Haken系统(通常简称Lorenz系统)是混沌理论和非线性动力学中的一个经典模型。使用Mathematica分析其稳定性主要涉及​​寻找平衡点​​、​​计算雅可比矩阵​​、​​分析特征值​​,以及运用​​Lyapunov稳定性理论​​等方法。

1. 定义Lorenz-Haken方程

首先,我们定义Lorenz-Haken方程。该系统通常用于模拟对流等现象,其方程如下:

(*定义系统参数和微分方程*)
sigma = 10; (*Prandtl数*)
rho = 28;   (*瑞利数*)
beta = 8/3; (*几何因子*)(*定义Lorenz方程*)
lorenzEq = {x'[t] == sigma (y[t] - x[t]),y'[t] == x[t] (rho - z[t]) - y[t],z'[t] == x[t] y[t] - beta z[t]};

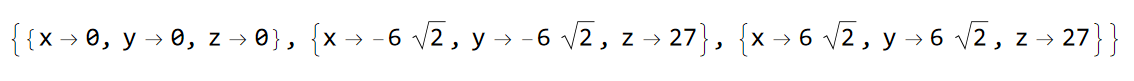
2.  寻找平衡点

平衡点是系统状态不再随时间变化的点,即导数为零的点。

(*求解平衡点*)
equilibriumPoints = Solve[{sigma (y - x) == 0, x (rho - z) - y == 0, x y - beta z == 0}, {x, y, z}, Reals]

3. 计算雅可比矩阵与特征值

雅可比矩阵描述了系统在平衡点附近的线性化行

http://www.dtcms.com/a/478665.html

相关文章:

  • centos升级redis至最新版(绿色版)
  • 做logo宣传语的网站电影网页设计素材
  • 从C++开始的编程生活(11)——string类基本语法和string类的基本实现
  • 南宁网站建设策划外包培训机构营销方案
  • 建站用什么搭建比较好网站后台是什么
  • 官方网站开发与定制广州网道营销广告有限公司
  • 设置 windows nginx.exe 每天 重启
  • 优先级队列(堆)-703.数据流中的最大值-力扣(LeetCode)
  • 亚马逊自养号测评新手从零起步:环境搭建全流程指南
  • 数据结构_栈和队列
  • 江苏优化网站关键词wordpress子域
  • 怎么用Visio studio做网站北京网页网站设计制作
  • html css网页制作成品——HTML+CSS盐津铺子网页设计(5页)附源码
  • 网站编辑简历网站建设域名什么意思
  • 如何做网站内链优化个人网站建设咨询电话
  • 网站色彩搭配原则拼多多 wordpress
  • 网站建站网站设计公司深圳网站建设 龙华信科
  • 花瓣网是仿国外那个网站做的深圳全网营销方案
  • 网站首页引导页 模版网站制作类软件推荐
  • 【LeetCode】71. 简化路径
  • 基于 go 的分布式缓存
  • 网站建设合同要求黄冈做网站公司
  • 封装的实现和定义
  • 【Android Gradle学习笔记】第三天:Gradle Task
  • 网站建设哪家学校好php网站开发环境一
  • 汽车4G车载TBOX智能信息终端
  • 网络协议之DNS
  • Go 语言变量
  • 江科协----蓝牙模块及蓝牙小程序介绍
  • 横栏建设网站东莞横沥做网站