当前位置: 首页 > news >正文

数据结构——二叉树的从前序与中序遍历序列构造二叉树

从前序与中序遍历序列构造二叉树

地址:https://leetcode.cn/problems/construct-binary-tree-from-preorder-and-inorder-traversal/
给定两个整数数组 preorder 和 inorder ,其中 preorder 是二叉树的先序遍历, inorder 是同一棵树的中序遍历,请构造二叉树并返回其根节点。
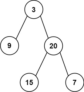
在这里插入图片描述
核心依据:两种遍历的特性
前序遍历:顺序为「根节点 → 左子树 → 右子树」,即第一个元素必然是当前子树的根节点。
中序遍历:顺序为「左子树 → 根节点 → 右子树」,即根节点左侧的元素都属于左子树,右侧的元素都属于右子树。

  1. 初始化与入口
    定义全局变量 preIndex,用于记录前序遍历中「当前根节点」的位置(从 0 开始)。
    主方法 buildTree 调用辅助方法 buildTreeChild,并传入中序遍历的初始区间 [0, inorder.length-1](表示整棵树的中序范围)。
  2. 递归构建子树(buildTreeChild 方法)
    该方法的作用是:根据当前子树的中序区间 [inBegin, inEnd],构建并返回当前子树的根节点。
    ① 终止条件
    如果 inBegin > inEnd,说明当前区间内没有节点(子树为空),返回 null。
    ② 确定当前子树的根节点
    从前序遍历的 preIndex 位置取元素,创建当前子树的根节点 root。
    preIndex 自增(因为下一次递归需要处理前序遍历的下一个元素,即下一个子树的根)。
    ③ 定位根节点在中序中的位置
    调用 findRootIndex 方法,在中序区间 [inBegin, inEnd] 内找到 root.val 对应的索引 rootIndex。这个索引是划分左、右子树的关键。
    ④ 递归构建左、右子树并挂载
    左子树:中序区间为 [inBegin, rootIndex-1](根节点左侧的元素),递归调用 buildTreeChild 得到左子树的根,挂载到 root.left。
    右子树:中序区间为 [rootIndex+1, inEnd](根节点右侧的元素),递归调用 buildTreeChild 得到右子树的根,挂载到 root.right。
    ⑤ 返回当前子树的根节点
    将构建好的当前子树的根节点 root 返回,供上层递归挂载。
  3. 辅助方法:查找中序中根节点的位置(findRootIndex)
    在中序数组的 [inBegin, inEnd] 区间内遍历,找到值为 key(当前根节点的值)的元素索引并返回。限定区间是为了避免找到其他子树的同名节点,确保准确性。
class Solution {
// 记录前序遍历的当前节点索引int preIndex = 0; public TreeNode buildTree(int[] preorder, int[] inorder) {//  采用的递归的方法return buildTreeChild(preorder, inorder, 0, inorder.length - 1);}public TreeNode buildTreeChild(int[] preorder, int[] inorder, int inBegin, int inEnd) {// 区间无效(无节点),返回null这时候说明二叉树已经创建好了递归可以结束了if (inBegin > inEnd) {return null;}// 前序的当前节点作为根节点TreeNode root = new TreeNode(preorder[preIndex]);// 前序索引后移,指向下一个根节点preIndex++; // 在中序中找到根节点的位置int rootIndex = findRootIndex(inorder, root.val, inBegin, inEnd);// 递归构建左子树(中序左区间)和右子树(中序右区间)root.left = buildTreeChild(preorder, inorder, inBegin, rootIndex - 1);
//        在每一个root变化的时候,子树的范围也在变化
//按着上面的图来说
/*假设前序遍历为 [1,2,3,4],中序遍历为 [2,1,3,4]:
第一层递归:
preIndex=0,root.val = preorder[0] = 1,此时 “根节点” 是整棵树的根(值为 1)。
在中序 [2,1,3,4] 中找 1 的位置,得到 rootIndex=1,划分左子树区间 [0,0](值 2)和右子树区间 [2,3](值 3,4)。
第二层递归(构建左子树):
preIndex=1(已递增),root.val = preorder[1] = 2,此时 “根节点” 是左子树的根(值为 2)。
在中序左区间 [0,0] 中找 2 的位置,得到 rootIndex=0,其左 / 右区间均无效(终止递归)。
第三层递归(构建右子树):
preIndex=2,root.val = preorder[2] = 3,此时 “根节点” 是右子树的根(值为 3)。
在中序右区间 [2,3] 中找 3 的位置,得到 rootIndex=2,划分右子树的右区间 [3,3](值 4)。
第四层递归(构建 3 的右子树):
preIndex=3,root.val = preorder[3] = 4,此时 “根节点” 是 3 的右子树的根(值为 4)。
在中序区间 [3,3] 中找 4 的位置,得到 rootIndex=3,递归终止。
*/root.right = buildTreeChild(preorder, inorder, rootIndex + 1, inEnd);
//二叉树创建完成就是比如说root = 3,那就是3.right = 9差不多就是这样子的return root;}// 在中序遍历的[inBegin, inEnd]区间内找根节点的索引//但是其实不加inBegin,inend也可以,但是可以避免全数组遍历导致错误。public int findRootIndex(int[] inorder, int key, int inBegin, int inEnd) {for (int i = inBegin; i <= inEnd; i++) {if (key == inorder[i]) {return i;}}return -1; }
}

假设前序遍历为 [1,2,3,4],中序遍历为 [2,1,3,4]:
第一层递归:
preIndex=0,root.val = preorder[0] = 1,此时 “根节点” 是整棵树的根(值为 1)。
在中序 [2,1,3,4] 中找 1 的位置,得到 rootIndex=1,划分左子树区间 [0,0](值 2)和右子树区间 [2,3](值 3,4)。
第二层递归(构建左子树):
preIndex=1(已递增),root.val = preorder[1] = 2,此时 “根节点” 是左子树的根(值为 2)。
在中序左区间 [0,0] 中找 2 的位置,得到 rootIndex=0,其左 / 右区间均无效(终止递归)。
第三层递归(构建右子树):
preIndex=2,root.val = preorder[2] = 3,此时 “根节点” 是右子树的根(值为 3)。
在中序右区间 [2,3] 中找 3 的位置,得到 rootIndex=2,划分右子树的右区间 [3,3](值 4)。
第四层递归(构建 3 的右子树)
preIndex=3,root.val = preorder[3] = 4,此时 “根节点” 是 3 的右子树的根(值为 4)。
在中序区间 [3,3] 中找 4 的位置,得到 rootIndex=3,递归终止。

在这里插入图片描述

http://www.dtcms.com/a/478142.html

相关文章:

  • 做网站要用到的技术网站维护主要做哪些
  • 聚焦string:C++ string 核心接口、编译器差异与自定义实现的深度剖析
  • 【Java集合体系】全面解析:架构、原理与实战选型
  • 999免费的网站北京网站设计方案
  • 复制和粘贴快捷键ctrl加什么?【图文详解】电脑复制粘贴快捷键?剪贴板历史记录?电脑快捷键大全?快捷键操作?
  • 手机网站样式专门做婚庆的网站
  • 知识付费产品:如何与用户建立长期价值共生关系?
  • 操作【GM3568JHF】FPGA+ARM异构开发板 使用指南:音频接口
  • Redis -持久化
  • [css]基础知识和常见应用
  • 电子商务网站的建设费用案例涿州网站建设
  • 企业网站推广哪家公司好惠州网站建设方案外包
  • 容器管理不再受限!PortainerCE+cpolar打造云端数字指挥中心
  • 无人机抗电磁干扰机理与抗干扰技术研究综述
  • Spring Batch 容错机制分析
  • 【C++ Primer】第三章:字符串、向量与数组
  • Allegro X Advanced Designer 23.1 设计约束
  • 【Leetcode hot 100】4.寻找两个正序数组的中位数
  • HTB 赛季9靶场 - Signed
  • 任务栏透明度调节工具
  • 网站企业电子商务网站建设教学计划
  • 淘宝一番赏抽赏小程序:开启趣味抽赏新体验
  • 上海专业网站建站扬州北京网站建设
  • HTTP初识(二)
  • 【10 分钟!M4 Mac mini 离线部署「私有 ChatGPT」完整实录】
  • 怎么给网站做动图网络营销中的四种方法
  • API测试 | 3步走,通过协作实现API的高质量交付
  • 消息鉴别码的种类
  • C++设计模式之行为型模式:策略模式(Strategy)
  • 接口安全测试实战:从数据库错误泄露看如何构建安全防线