当前位置: 首页 > news >正文

深度学习入门(四)——从激活到注意力:神经网络的现代模块与工程实践

在前三篇中,我们已经走完了神经网络的核心理论路径——
从神经元到前向传播,从损失函数到反向传播,从优化算法到数值稳定。
你现在已经可以手写一个两层网络并跑通梯度下降

但如果要让一个网络真正「跑得快、收敛稳、效果好」,
光有数学推导远远不够。

深度学习的成熟来自工程化——各种模块、正则化手段、数值技巧和结构设计。
这一篇,我们就来系统地梳理神经网络在实际中最重要的几个「现代模块」与「工程问题」,
从直觉到原理,让你能真正理解它们为什么存在、该在什么地方用。


一、激活函数:非线性的本质与选择

1. 为什么需要激活函数?

如果没有激活函数,神经网络每一层都是线性变换。
多个线性层叠加仍然是线性函数。
这意味着无论堆多少层,你都无法逼近非线性关系。

所以,激活函数的核心作用是:引入非线性,使网络能表达复杂映射


2. Sigmoid 与 Tanh:早期的经典

最早使用的激活函数是 sigmoid:

它的输出在 (0, 1) 之间,形状平滑,适合二分类概率建模。

但问题也明显:

  • 在 |x| 很大时,梯度几乎为 0 → 梯度消失

  • 输出非零均值,导致每层输入偏移

Tanh(双曲正切)是 sigmoid 的改进:

输出范围 (-1, 1),均值居中,效果稍好,但依旧有梯度消失问题。


3. ReLU 的崛起

Rectified Linear Unit(ReLU)是目前最主流的激活函数:

优点:

  • 计算极快(只需取最大值)

  • 正区间梯度恒为 1,避免梯度消失

  • 稀疏激活,部分神经元可自然「休眠」

缺点:

  • 负区间梯度为 0 → 神经元死亡问题

  • 在部分任务上表现不稳(尤其是输入数据分布变化较大时)


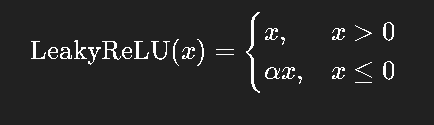
4. Leaky ReLU、ELU、GELU:改良版本

为解决 ReLU 的“死亡问题”,出现了 Leaky ReLU:

通常取 α = 0.01。

进一步的改良如 ELU、GELU(Transformer中使用):

其中是标准正态分布的累积分布函数。

GELU 在数学上近似「输入越大越可能被保留」,更平滑自然。
这也是为什么几乎所有 Transformer 模型都采用 GELU。


5. 实战建议

场景建议激活函数
普通全连接层ReLU 或 Leaky ReLU
RNN/LSTMTanh / Sigmoid
Transformer / BERT 类模型GELU
稀疏特征或非负输入ReLU
对梯度平滑性敏感任务ELU 或 Swish

一句话总结:默认用 ReLU,不够平滑用 GELU。


二、Batch Normalization:让训练更稳

1. 为什么需要 BN?

在训练深层网络时,随着层数加深,输入分布不断变化,
导致后续层的学习变得困难。
这种现象叫做 Internal Covariate Shift

Batch Normalization 的想法非常简单:
在每一层中,把中间激活值标准化成均值 0、方差 1,再引入可学习的缩放与偏移。


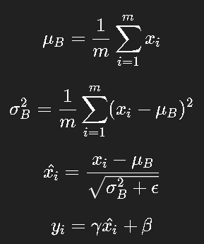
2. 公式

对每个 mini-batch:

其中 γ、β 是可学习参数。


3. BN 的好处

  • 缓解梯度消失与爆炸问题

  • 提高学习率容忍度

  • 加快收敛速度

  • 起到一定正则化作用


4. 实践注意点

  • 推理阶段使用移动平均的均值与方差

  • 对小 batch(如小于 8)时 BN 不稳定 → 可用 LayerNorm 替代

  • 在 Transformer 中,LayerNorm 更常见,因为它对 batch size 不敏感


三、Dropout:一种简单而强大的正则化

1. 过拟合的本质

神经网络参数众多,训练集很容易被「记住」。
当模型过于依赖少数神经元时,泛化能力就会下降。


2. Dropout 的思想

在训练时,随机将一部分神经元“丢弃”(置为0):

这样网络在每次训练时都像在「抽样多个子网络」,
从而避免单一神经元过度依赖。


3. 实现与注意

伪代码:

for each layer l:mask = random_matrix(shape=a[l], keep_prob=p)a[l] = a[l] * mask / p

推理阶段:

a[l] = a[l]  # 不做丢弃

实战经验:

  • 对小模型:p=0.1~0.3

  • 对大模型:p=0.3~0.5

  • 在 BN 之后使用效果更稳定


四、卷积与注意力:特征提取的两种路径

1. 卷积:空间局部性的表达

卷积神经网络(CNN)是图像任务的基石。
其核心思想是局部感受野权值共享

以二维卷积为例:

这样,卷积核(filter)可以自动学习空间局部模式,如边缘、角点、纹理等。
随着层数加深,卷积层学到的特征也从「低级」变成「高级」。


2. 卷积的演化:从 LeNet 到 ResNet

  • LeNet(1998):首个 CNN,用于手写数字识别

  • AlexNet(2012):GPU+ReLU+Dropout,引爆深度学习浪潮

  • VGG(2014):统一 3×3 卷积结构,层数更深

  • ResNet(2015):引入残差连接(skip connection)

残差结构核心思想:

允许梯度直接跨层传播,从根本上解决了深层网络训练难的问题。


3. 注意力机制:打破空间固定性的限制

卷积的局部性是一把双刃剑。
它高效,但只能捕捉邻近区域关系。
对于全局依赖任务(如语言理解),这种结构不够灵活。

注意力机制(Attention) 由此诞生。
核心思想:
让每个位置都能“关注”输入序列中其他位置的重要性。

公式:

其中:

  • Q: Query(当前元素的查询向量)

  • K: Key(全体元素的键向量)

  • V: Value(全体元素的值向量)

每个输出是所有输入的加权平均,权重由相似度决定。
这让模型具备「全局依赖建模能力」。


4. 从注意力到 Transformer

Transformer(2017)用纯注意力结构取代了循环与卷积,
实现了并行、高效、强表达的特性。

核心结构:

  • Multi-Head Attention(多头注意力)

  • Position-wise Feed Forward(逐位置全连接)

  • Layer Normalization

  • 残差连接

伪代码概要:

for each layer:x = x + MultiHeadAttention(LayerNorm(x))x = x + FeedForward(LayerNorm(x))

五、训练调试与部署注意事项

1. 学习率选择

  • 初学者常见错误:学习率过大或过小。

  • 建议:从 1e-3 起,观察损失曲线振荡程度调整。

  • 现代方法:使用 Cosine Annealing 或 Warmup 策略。


2. 初始化策略

  • Xavier(均匀分布):适合 tanh

  • He 初始化:适合 ReLU 系列

  • 过大 → 梯度爆炸;过小 → 梯度消失


3. 正则化

  • L2 权重衰减(weight decay)

  • Dropout

  • 数据增强(augmentation)


4. Debug 技巧

  • 先跑一个小 batch,确保前向输出与损失正常

  • 梯度检查(gradient check):验证反向传播是否正确

  • 梯度可视化:查看是否消失或爆炸

  • 学习曲线:训练集与验证集误差是否同步下降


5. 部署阶段注意

  • BN 改为固定统计量

  • Dropout 关闭

  • 使用混合精度(float16)加速

  • 对模型进行量化 / 蒸馏以减小体积


六、总结:深度学习的工程之美

回到最初的问题——为什么深度学习能起飞?
不仅因为有数学推导,更因为工程化体系成熟:

  • ReLU 让梯度流动顺畅

  • BatchNorm 让训练稳定

  • Dropout 让模型泛化

  • Residual 与 Attention 让信息传递高效

  • 优化算法让训练变得可控

从「感知机」到「Transformer」,
深度学习走过了从经验到体系的漫长过程。
每个改进都不是偶然,而是对真实工程问题的回应。


尾声 · 写给正在学习的你

如果你一路读到了这里,请给自己一点肯定。
你已经掌握了神经网络的全流程原理——
从数学出发,理解算法,再到工程实现。

接下来你可以:

  • 自己实现一个 mini 框架(从前向到反向)

  • 尝试在 MNIST / CIFAR10 跑出结果

  • 阅读经典论文(LeNet、ResNet、Transformer)

  • 学习自动求导与模型部署

记住一句话:

理论让你理解模型,工程让你驯服模型。


http://www.dtcms.com/a/474665.html

相关文章:

  • Linux下的压缩(zip)解压(unzip)缩命令
  • 湖南平台网站建设推荐dedecms网站如何上线
  • 网站后台都有哪些中国建设工程监理网站
  • JWT(JSON Web Token)详解
  • 快手KAT-Dev-72B模型开源登顶!国产AI编程助手迎来技术突
  • 网站建设app开发有哪里可以做兼职翻译的网站
  • Web 开发入门:从前端到后端的全栈开发探索
  • Redis-Zest
  • 深圳市升华建设有限公司网站制作网页的
  • 用opencv来识别信用卡的号码 Vs 使用yolo+paddleocr
  • 小程序 地理位置授权怎么搞
  • 福州贸易公司网站制作seo的网站
  • 开网站 主机 服务器百度竞价广告的位置
  • 【Unity每日一记】Unity脚本教程:用脚本创建物体与输入系统详解
  • 动易网站官网使用python建设一个论坛网站
  • Java-集合练习3
  • 2.c++面向对象(六)
  • STM32 环境监测项目笔记(一):DHT11 温湿度传感器原理与驱动实现
  • C++ 完全背包
  • 【Linux】理解链接过程
  • 广州做网站多少钱怎么做简单的网站首页
  • 【机器人学中的状态估计】7.5.2习题证明:(Cu)^=(2cos(phi)+1)u^-u^C-C^Tu^公式证明
  • Flask、Nginx 与 Docker 的分工与协作
  • 怎么建立一个公司的网站吗ui界面设计作品模板
  • 网站浮动广告怎么做qq开放平台网站开发申请不通过的原因
  • redis中的list命令
  • 对网站建设课程的心得体会北京旅游网页设计
  • 碎片化知识整理利器:NoteGen——AI驱动的免费开源笔记工具使用指南
  • 网站的建设方法包括什么问题高端网站建设大概多少费用
  • RabbitMQ Exchange类型与绑定规则详解