当前位置: 首页 > news >正文

基于Spring Boot的粮库设备管理平台的设计与实现 计算机毕业设计源码51037

                                                     摘要

随着信息化水平的不断提升,传统粮库在设备管理方面暴露出效率低、数据分散、信息滞后等问题,难以满足现代化管理需求。为提升粮库设备的智能化管理水平,构建一个高效、稳定、易维护的信息平台显得尤为重要。本项目采用前后端分离的架构模式,后端基于Spring Boot框架构建,使用MySQL作为数据存储,前端则采用Vue实现页面交互,开发了一套面向粮库设备管理的综合平台。系统实现了管理员与普通用户的分级使用场景,管理员可对用户信息与权限进行配置,管理设备信息与操作记录,并对维护历史、故障报告、反馈建议和采购信息进行统一管理;普通用户则可查看和操作设备,提交故障和建议,查看维护记录等功能。平台具备良好的扩展性和交互性,可有效提升粮库设备的管理效率和响应能力,为粮食安全保障提供有力的技术支撑。

关键词:粮库设备管理平台;SpringBoot;Vue;MySQL

                                               Abstract

With the continuous improvement of informatization, traditional grain storage facilities have exposed issues such as low efficiency, fragmented data, and delayed information in equipment management, making it difficult to meet the needs of modern management. To enhance the intelligent management level of grain storage equipment, it is particularly important to build an efficient, stable, and easy-to-maintain information platform. This project adopts a front-end and back-end separation architecture model, with the back-end built on the Spring Boot framework, MySQL used for data storage, and Vue implemented for front-end page interactions. A comprehensive platform for grain storage equipment management is developed. The system supports hierarchical user scenarios, where administrators can configure user information and permissions, manage equipment information and operation records, and centrally manage maintenance history, fault reports, feedback suggestions, and procurement information. Ordinary users can view and operate equipment, submit faults and suggestions, and check maintenance records. The platform has good scalability and interactivity, which can effectively improve the management efficiency and responsiveness of grain storage equipment, providing strong technical support for food security.

Key words: Grain Storage Equipment Management Platform; SpringBoot; Vue; MySQL

目录

摘要

Abstract

1 绪论

1.1 研究背景

1.2 研究意义

1.3 国内外研究现状

2 相关技术介绍

2.1 B/S框架

2.2 SpringBoot框架

2.3 Vue技术

2.4 MySQL数据库

3 需求分析

3.1 可行性分析

3.1.1 技术可行性

3.1.2 操作可行性

3.1.3 经济可行性

3.2 系统性能需求分析

3.3 功能需求分析

3.3.1 用户功能

3.3.2 管理员功能

3.4 系统总体流程设计

3.4.1 数据开发流程

3.4.2 用户登录流程

3.4.3 系统操作流程

3.4.4 添加信息流程

3.4.5 修改信息流程

3.4.6 删除信息流程

4 系统设计

4.1 系统架构设计

4.2 系统总体功能设计

4.2.1 注册时序图

4.2.2 登录时序图

4.2.3 管理员修改用户信息时序图

4.2.4 管理员管理系统信息时序图

4.3 数据库设计

4.3.1 数据库实体设计

4.3.2 数据库表设计

5 系统实现

5.1 用户功能实现

5.1.1 设备信息

5.1.2 设备操作

5.1.3 维护历史

5.1.4 故障报告

5.1.5 反馈建议

5.2 管理员功能实现

5.2.1 用户管理

5.2.2 权限管理

5.2.3 设备信息

5.2.4 维护历史

5.2.5 故障报告

5.2.6 设备采购

6 系统测试

6.1 测试环境

6.2 测试目的

6.3 测试方法

6.4 测试内容

6.5 测试结论

7 总结

参考文献

致谢

附录

系统核心代码设计

用户注册

用户登录

修改密码

修改数据

删除数据

获取列表

图片上传

绪论

  1. 研究背景

随着现代农业的发展,粮食储备和管理已成为国家食品安全的关键环节。粮库作为国家粮食储备的重要组成部分,承担着重要的社会和经济责任。然而,许多传统粮库在设备管理方面依然存在诸多问题,如信息化程度低、设备维护不及时、故障处理缓慢等。这些问题导致粮库设备管理效率低,资源浪费严重,且难以实现实时监控和预警。随着信息技术的飞速发展,特别是物联网、大数据和云计算的广泛应用,越来越多的领域开始引入智能化管理技术。粮库设备的管理也亟需借助信息化手段来提升管理效率、减少设备故障率、延长设备使用寿命。因此,构建一套基于现代信息技术的粮库设备管理平台,已成为提升粮库管理水平、确保粮食安全的重要需求。

    1. 研究意义

本研究致力于开发一套基于Spring Boot和Vue框架的粮库设备管理平台。该平台的设计与实现具有重要的理论和实践意义。首先,从理论层面来看,研究能够填补粮库设备管理领域的信息化应用空白,探索适合国内粮库管理的智能化解决方案。其次,从实践层面来看,通过实现设备的数字化管理和故障实时反馈,可以显著提高粮库设备的管理效率和响应速度,降低设备故障率,减少维修成本。通过该平台的应用,能够加强粮库设备的统一管理、优化设备维护流程,确保设备的正常运转,提升粮库的整体运营效率。此外,该系统能够为粮食安全保障提供数据支持和决策依据,有助于推动粮食储备和管理的现代化,具有广泛的社会和经济效益。

    1. 国内外研究现状

在国内,随着信息技术的发展与政策推动,粮库设备管理的信息化建设也逐步展开。近年来,部分地区尝试将信息管理平台引入粮库日常管理工作中,初步实现了设备台账管理、故障登记、维护记录等功能。但总体来看,系统普遍存在功能单一、交互性差、数据不统一等问题,尚未形成高效、智能的一体化管理体系。现有研究多聚焦于基础信息录入与简单操作流程,缺乏对用户权限、故障追踪、数据可视化等深层次需求的响应,相关平台的技术架构也有待进一步优化,难以适应大规模、精细化的粮库设备管理场景。

在国外,设备管理的信息化与智能化起步较早,许多发达国家已广泛应用物联网、大数据与人工智能等技术于仓储管理中。例如,美国、德国等国家在粮食储备系统中部署了智能传感器与远程监控技术,实现对设备运行状态的实时监控与自动预警,提升了管理效率与响应能力。一些成熟的平台还集成了设备生命周期管理、自动维护提醒及能耗分析等功能,实现了设备从采购、使用到报废的全流程管理。研究多集中于智能运维、大数据分析与预测性维护等方向,具备较高的技术成熟度和行业适配性。

  1. 相关技术介绍
    1. B/S框架

B/S(Browser/Server)架构是一种基于浏览器和服务器的应用架构模式。它以Web浏览器作为客户端,服务器端通过Web技术提供应用服务。客户端通过浏览器与服务器进行交互,用户无需安装专门的客户端应用程序,只需要通过互联网连接即可访问应用程序[1]。在B/S架构中,客户端主要承担用户界面的呈现和基本的输入输出功能,而核心的业务处理、数据存储等操作则由服务器端完成。这种架构的核心优势在于无需在每个客户端机器上安装或更新软件,只要用户的浏览器符合要求,就可以使用系统。

B/S(Browser/Server)架构是一种网络架构模型,其主要特点是客户端通过浏览器与服务器进行通信,所有的业务逻辑和数据处理都在服务器端完成,客户端仅负责展示数据[2]。B/S架构本质上是一种客户端-服务器模式的变体,它通过将传统的C/S(Client/Server)架构中的客户端功能移到浏览器中,简化了客户端的开发和维护工作。在B/S架构中,用户通过浏览器发送请求,浏览器负责展示从服务器获取的数据,服务器则处理请求并返回响应。该架构避免了安装和配置客户端软件的麻烦,也减少了对客户端硬件的依赖,适合于需要大规模部署和跨平台支持的应用系统。

B/S模式三层结构图如图2-1所示。

                                                    图2-1  B/S模式三层结构图

    1.  SpringBoot框架

SpringBoot是一个用于简化Spring应用开发的开源框架,通过减少开发人员配置和依赖的复杂性,使得开发者能够快速构建基于Spring的生产级应用。SpringBoot基于Spring框架之上,提供了一种自配置的方式,使得开发者可以以最少的配置来启动和开发Spring应用[3]。它通过约定优于配置的原则,将常见的配置预设,使得开发人员能够聚焦于业务逻辑的实现,而不必过多关注繁琐的配置和环境搭建。

SpringBoot框架的核心特点之一是其自动配置功能。它能够根据项目中已存在的类和库,自动推断出开发环境的配置需求,减少了手动配置的工作量。SpringBoot还提供了嵌入式Web服务器支持(如Tomcat、Jetty等),使得应用可以以独立的Java应用形式运行,不再依赖外部的Web容器。这种特性使得SpringBoot特别适合于微服务架构的构建。SpringBoot还通过其提供的启动器(Starters)简化了常见功能的集成,例如数据库连接、消息队列、缓存、认证与授权等,从而提升了开发效率[4]。

    1.  Vue技术

Vue.js是一款用于构建用户界面的渐进式JavaScript框架,提供一种灵活而高效的方式来开发单页面应用(SPA)。Vue的设计理念是通过尽量简化开发过程,提供一种声明式的方式来构建用户界面[5]。Vue.js通过数据驱动的视图模型,允许开发者以声明式语法绑定数据与视图,使得应用的状态和界面表现更加简洁和可维护。它的核心思想是通过组件化开发将复杂的UI拆分为可重用的独立模块,从而提升了代码的模块化、可维护性和可扩展性。

Vue.js具备响应式数据绑定和虚拟DOM的特性。响应式数据绑定意味着当数据变化时,Vue会自动更新与之绑定的DOM元素,从而实现视图的实时更新。虚拟DOM则是Vue.js的一种优化手段,通过将对DOM的操作抽象为一个虚拟的DOM树来提高性能,减少实际DOM操作的开销[6]。Vue还提供了丰富的插件和工具,如Vue Router用于路由管理,Vuex用于状态管理,方便开发者构建复杂的前端应用。Vue的灵活性和简洁性使其成为现代Web开发中常用的前端框架之一。

    1.  MySQL数据库

MySQL是一种开源的关系型数据库管理系统(RDBMS),基于SQL(结构化查询语言)进行数据操作。作为一个被广泛使用的数据库系统,MySQL具有高度的性能、可扩展性和可靠性。MySQL使用表格结构来存储数据,每个表由多个列和行组成,数据通过SQL查询语言进行操作[7]。MySQL支持多种数据类型,如整数、浮动小数、字符串、日期等,以满足不同应用场景对数据存储的需求。在实际应用中,MySQL通常用于存储和管理结构化数据,通过索引、视图、触发器等功能提升数据查询的效率和数据的完整性。

MySQL支持ACID事务特性(原子性、一致性、隔离性、持久性),确保数据库操作的可靠性和数据的一致性。它还支持多种存储引擎,其中InnoDB是最常用的存储引擎,具备事务支持、行级锁定和外键约束等特性,适用于高并发、高可靠性的数据存储需求。MySQL可以通过主从复制、分区和分库分表等技术实现横向扩展,以应对大规模数据存储和高负载的应用需求。MySQL还具有灵活的权限管理机制,支持用户角色管理、细粒度的权限控制等,保障数据的安全性。

  1. 需求分析
    1. 可行性分析
      1. 技术可行性

从技术可行性角度来看,所选技术能够充分满足当前应用需求。B/S架构具有良好的跨平台特性,借助浏览器端渲染与服务器端处理,能够实现不同操作系统和设备上的无缝访问。SpringBoot框架基于成熟的Spring生态,自动配置机制降低了开发与部署的复杂度,支持高效开发和微服务架构的实现。Vue.js作为前端技术,其响应式数据绑定和虚拟DOM优化使得大规模应用的构建与维护更加高效。MySQL数据库在数据存储、查询优化方面具有强大能力,其ACID事务特性与高并发支持能够保证数据一致性与系统稳定性,且广泛应用于多种行业,具备可扩展性和高效性。

      1. 操作可行性

从操作可行性角度,所有选用的技术都有良好的文档支持和广泛的开发社区。B/S架构的实施依赖于常见的Web技术,技术栈成熟,操作流程规范,适合企业级应用的快速部署与运维。SpringBoot框架简化了Spring应用的配置与开发,集成了嵌入式Web服务器,使得开发者能够快速启动项目,减少了对开发环境和部署环境的依赖。Vue.js以组件化、响应式的设计思想,极大提升了前端开发的效率与代码复用性,操作简便。MySQL数据库提供了易于管理的用户界面,操作界面直观,支持多种操作系统,适合日常的数据库管理和维护工作。

      1. 经济可行性

从经济可行性角度,所有选用的技术均为开源软件,降低了开发与部署成本。B/S架构减少了客户端软件的安装和更新需求,减轻了IT维护成本。SpringBoot框架通过减少配置和自动化部署,降低了开发和运营的时间成本。Vue.js提供了快速开发的能力,减少了前端开发的人员需求。MySQL作为开源数据库,不仅在授权成本上具有优势,而且通过其高效的查询与事务处理能力,可以在保证性能的同时降低硬件资源的投入,实现资源的高效利用。

    1. 系统性能需求分析

1.可用性需求

系统必须具备高可用性,以确保其在各种使用场景下能够稳定运行。为满足可用性要求,系统应当具备自恢复能力和冗余机制,避免因单点故障而导致的服务中断。具体而言,系统的部署架构应支持负载均衡和集群配置,通过多个实例的协作提高整体系统的可用性。系统应提供详尽的监控与告警机制,能够实时追踪系统运行状态,及时发现潜在问题并触发自动恢复操作或通知管理员。在用户体验方面,系统需要提供清晰的错误提示信息,并能够在发生异常时通过回滚操作或其他容错机制,保证用户的操作不受到严重影响。

2.可靠性需求

可靠性要求系统在长时间运行中保持稳定,能够有效应对各种可能的故障和压力。系统设计应支持高可用的数据库架构,采用数据库主从复制、分片等技术以实现数据的可靠存储与访问。应用层应具备容错能力,在面对硬件故障、网络中断等意外情况时,能够保持系统的正常服务或在故障恢复后迅速恢复数据和业务流程。系统应具备日志记录功能,能够全面记录操作过程和异常信息,从而为问题追踪与系统优化提供数据支持。系统的可靠性还需要通过压力测试和稳定性测试来验证,确保在大规模用户访问及高并发场景下能够正常运行,不发生崩溃或数据丢失现象。

3.安全性需求

系统的安全性需求必须得到高度重视,确保系统和用户数据的保密性、完整性和可用性。为实现数据安全,系统应采用加密技术,特别是在用户认证、敏感数据传输和存储过程中,采用SSL/TLS协议进行加密通信,确保数据在传输过程中不被窃取或篡改。系统应支持用户身份验证与授权管理,采用如OAuth、JWT等安全机制防止未授权访问。访问控制应细化到资源级别,确保不同角色的用户只能访问其权限范围内的功能。为了防止恶意攻击,系统还应加强对常见攻击方式(如SQL注入、XSS攻击、CSRF攻击等)的防护,通过输入验证、输出转义、会话管理等技术措施提高系统的安全性。系统应定期进行安全审计与漏洞扫描,及时发现并修补可能的安全漏洞,保障系统的长期安全运营。

    1. 功能需求分析

功能需求分析是对系统所需功能进行详细描述的过程,明确系统的目标、功能模块及其相互关系。在此阶段,结合用户需求、业务流程和技术架构,识别系统必须实现的各项功能,并对其优先级、实现方式和约束条件进行梳理。通过功能需求分析,确保系统设计能够满足实际需求,且具有良好的可用性、可维护性和扩展性,为后续的系统开发和测试提供明确的指导和依据。

      1. 用户功能

用户可查看设备信息,操作设备,查看维护历史,提交故障报告,反馈建议,查看故障处理进度,管理个人信息,退出系统,查看设备采购信息,浏览设备操作手册,查看设备状态。

用户用例图如图3-1所示。

                                                        图3-1 用户用例图

      1. 管理员功能

管理员可管理用户信息与权限,管理设备信息,查看与处理故障报告,管理维护记录,查看反馈建议,管理设备采购信息,监控设备运行状态,审核操作记录,导出相关数据报表。

管理员用例图如图3-2所示。

                                                         图3-2 管理员用例图

    1. 系统总体流程设计
      1. 数据开发流程

系统开发流程的主要步骤,从需求分析到系统完成的全过程。流程包括需求分析、总体设计(结构、功能、数据)、详细设计(模块、编码)、模块整合与调用,以及测试、扩展和完善,最终完成系统的开发。本系统的开发流程如图3-3所示

                                              图3-3系统开发流程图

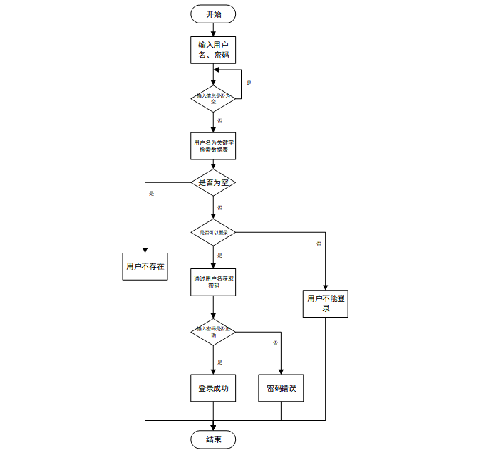
      1. 用户登录流程

用户输入用户名和密码后,系统先检查输入是否为空,再验证用户名是否存在,若存在则通过用户名获取密码并校验。若密码正确则登录成功,否则提示密码错误。若用户名不存在或无法登录,提示用户操作无效。如图3-4所示。

                                                                 图3-4登录流程图

      1. 系统操作流程

用户首先进入系统登录界面,输入用户名和密码后,系统验证信息是否正确。若验证失败,返回登录界面重新输入;若验证成功,则进入功能界面,执行相应功能处理后结束操作流程。操作流程如图3-5所示。

                                                                 图3-5 系统操作流程图

      1. 添加信息流程

管理员可以添加信息,用户添加可以自己权限内的信息,输入信息后,要想利用这个软件来进行系统的安全管理,首先需要登录到该软件中。添加信息流程如图3-6所示。

                                                    图3-6 添加信息流程图

      1. 修改信息流程

用户首先选择需要修改的记录,输入修改后的数据,系统判断输入数据是否合法。若数据不合法,提示重新输入;若数据合法,则将修改后的数据写入数据库,完成操作后流程结束。修改信息流程图如图3-7所示。

                                                    图3-7 修改信息流程图

      1. 删除信息流程

用户选择需要删除的记录后,系统判断是否确认删除。若未确认,返回选择环节;若确认删除,则更新数据库,删除对应记录,完成操作后流程结束。删除信息流程图如图3-8所示。

                                            图3-8删除信息流程图

  1. 系统设计
    1. 系统架构设计

系统由表现层、业务逻辑层、数据访问层和数据库服务器组成。表现层通过浏览器(如IE、Chrome、Firefox)与用户交互,采用FreeMarker、Bootstrap、jQuery等技术实现界面呈现。业务逻辑层负责处理系统的核心业务逻辑,通过分模块设计实现功能分离。数据访问层使用MyBatis框架连接数据库,执行数据的增删改查操作。数据库服务器采用MySQL进行数据存储和管理,为系统提供稳定的数据库支持。整个架构通过Tomcat服务器完成用户请求的接收和处理,确保系统的高效运行[8]。整个系统架构如图4-1所示。

                                                                  图4-1 系统架构图

    1. 系统总体功能设计

系统功能结构图如图4-2所示。

                                                      图4-2 系统功能结构图

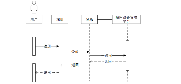
      1. 注册时序图

用户通过注册模块发送注册请求,系统完成注册后返回确认信息。随后,用户通过登录模块发送登录请求,系统验证用户信息后允许访问目标系统。用户完成操作后可选择退出,系统终止会话。注册时序图,如图4-3所示。

                                                          图4-3 注册时序图

      1. 登录时序图

管理员输入登录信息后,登录界面将信息传递至前台管理界面,随后通过SpringBoot框架读取数据库中的用户信息并返回。系统验证信息,若验证成功则登录成功,若验证失败则返回错误提示。登录时序图如图4-4所示。

                                                           图4-4登录时序图

      1. 管理员修改用户信息时序图

管理员输入登录信息后,进入用户信息管理模块,选择增删改查操作并提交命令至数据库。数据库执行操作后返回成功状态,系统显示用户管理界面并提示操作成功。管理员修改用户信息时序图如图4-5所示。

                                                     图4-5管理员修改用户信息时序图

      1. 管理员管理系统信息时序图

管理员通过访问系统发起请求,系统接收访问后转向系统信息模块进行管理操作。管理完成后,系统返回管理结果至系统,最终反馈给管理员,管理员可选择退出。管理员管理系统信息时序图如图4-6所示。

                                                     图4-6管理员管理系统信息时序图

    1. 数据库设计

数据库设计是系统开发中至关重要的环节,为系统提供高效、规范的数据存储和管理方案。设计过程包括需求分析、实体设计、表设计和逻辑结构设计。首先,通过分析业务需求,确定系统的核心实体及其属性,同时明确实体间的关系。接着,将实体抽象为具体的数据库表,为每张表定义字段名、数据类型、主键和外键,通过主外键关系和关联表设计,保证数据的完整性和一致性。最后,数据库逻辑设计进一步优化表之间的关系,通过索引、视图和存储过程提升查询效率和操作性能。整个设计需严格遵循规范,避免数据冗余和冲突,确保系统在高并发访问和复杂数据处理场景下的稳定性和高效性。

      1. 数据库实体设计

数据库实体设计是数据库设计的关键步骤,对实际业务逻辑中涉及的实体及其属性进行抽象建模,明确系统中的主要信息对象及其关系[9]。在实体设计中,根据需求分析确定系统的核心实体,如用户、角色、权限、社团信息等,提取实体的主要属性,如用户的ID、姓名、联系方式,社团的ID、名称、类型等,同时定义各实体之间的关系,包括一对一、一对多、多对多等。在设计过程中,注重实体的完整性、规范性和唯一性,确保设计能够满足系统功能需求,并为后续的表设计提供清晰的结构框架。实体设计需遵循数据库设计的标准化要求,避免数据冗余和不必要的复杂度。

以下将展示系统的全局E-R图。

系统全局E-R图如图4-7所示。

                                                               图4-7系统E-R图

      1. 数据库表设计

数据库表设计基于实体设计,将抽象的实体映射为具体的表结构。设计过程中,为每个实体定义表名、字段名及数据类型 [10]。根据业务需求,合理定义主键、外键及约束条件,确保表之间的关联性,例如通过外键建立用户表和角色表之间的关系。表设计时注重数据存储的完整性、一致性,并通过索引优化查询效率,最终确保数据库结构能够支持系统的功能需求。以下是系统的数据库表设计展示。

                                              表 4-1-access_token(登陆访问时长)

编号

字段名

类型

长度

是否非空

是否主键

注释

1

token_id

int

临时访问牌ID

2

token

varchar

64

临时访问牌

3

info

text

65535

信息

4

maxage

int

最大寿命:默认2小时

5

create_time

timestamp

创建时间

6

update_time

timestamp

更新时间

7

user_id

int

用户编号

                                                       表 4-2-auth(用户权限管理)

编号

字段名

类型

长度

是否非空

是否主键

注释

1

auth_id

int

授权ID

2

user_group

varchar

64

用户组

3

mod_name

varchar

64

模块名

4

table_name

varchar

64

表名

5

page_title

varchar

255

页面标题

6

path

varchar

255

路由路径

7

parent

varchar

64

父级菜单

8

parent_sort

int

父级菜单排序

9

position

varchar

32

位置

10

mode

varchar

32

跳转方式

11

add

tinyint

是否可增加

12

del

tinyint

是否可删除

13

set

tinyint

是否可修改

14

get

tinyint

是否可查看

15

field_add

text

65535

添加字段

16

field_set

text

65535

修改字段

17

field_get

text

65535

查询字段

18

table_nav_name

varchar

500

跨表导航名称

19

table_nav

varchar

500

跨表导航

20

option

text

65535

配置

21

create_time

timestamp

创建时间

22

update_time

timestamp

更新时间

                                                      表 4-3-code_token(验证码)

编号

字段名

类型

长度

是否非空

是否主键

注释

1

code_token_id

int

验证码ID

2

token

varchar

255

令牌

3

code

varchar

255

验证码

4

expire_time

timestamp

失效时间

5

create_time

timestamp

创建时间

6

update_time

timestamp

更新时间

                                   表 4-4-equipment_information(设备信息)

编号

字段名

类型

长度

是否非空

是否主键

注释

1

equipment_information_id

int

设备信息ID

2

equipment_name

varchar

64

设备名称

3

equipment_number

varchar

64

设备编号

4

equipment_pictures

varchar

255

设备图片

5

equipment_inventory

double

设备库存

6

running_state

varchar

64

运行状态

7

equipment_location

varchar

64

设备位置

8

operation_guide

varchar

255

操作指南

9

instructions

longtext

4294967295

使用说明

10

equipment_operation_limit_times

int

设备操作限制次数

11

maintain_history_limit_times

int

维护限制次数

12

fault_report_limit_times

int

故障报告限制次数

13

create_time

datetime

创建时间

14

update_time

timestamp

更新时间

                                          表 4-5-equipment_operation(设备操作)

编号

字段名

类型

长度

是否非空

是否主键

注释

1

equipment_operation_id

int

设备操作ID

2

user_account

int

用户账号

3

user_name

varchar

64

用户姓名

4

user_phone_number

varchar

64

用户电话

5

equipment_name

varchar

64

设备名称

6

equipment_number

varchar

64

设备编号

7

operation_time

datetime

操作时间

8

operation_duration

double

操作时长

9

usage_situation

text

65535

使用情况

10

create_time

datetime

创建时间

11

update_time

timestamp

更新时间

12

source_table

varchar

255

来源表

13

source_id

int

来源ID

14

source_user_id

int

来源用户

                                        表 4-6-equipment_procurement(设备采购)

编号

字段名

类型

长度

是否非空

是否主键

注释

1

equipment_procurement_id

int

设备采购ID

2

equipment_name

varchar

64

设备名称

3

equipment_number

varchar

64

设备编号

4

procurement_time

datetime

采购时间

5

purchase_quantity

double

采购数量

6

supplier_information

text

65535

供应商信息

7

procurement_remarks

text

65535

采购备注

8

create_time

datetime

创建时间

9

update_time

timestamp

更新时间

                                  表 4-7-fault_report(故障报告)

编号

字段名

类型

长度

是否非空

是否主键

注释

1

fault_report_id

int

故障报告ID

2

user_account

int

用户账号

3

user_name

varchar

64

用户姓名

4

user_phone_number

varchar

64

用户电话

5

equipment_name

varchar

64

设备名称

6

equipment_number

varchar

64

设备编号

7

report_time

datetime

报告时间

8

report_content

longtext

4294967295

报告内容

9

create_time

datetime

创建时间

10

update_time

timestamp

更新时间

11

source_table

varchar

255

来源表

12

source_id

int

来源ID

13

source_user_id

int

来源用户

表 4-8-feedback_and_suggestions(反馈建议)

编号

字段名

类型

长度

是否非空

是否主键

注释

1

feedback_and_suggestions_id

int

反馈建议ID

2

user_account

int

用户账号

3

user_name

varchar

64

用户姓名

4

user_phone_number

varchar

64

用户电话

5

feedback_time

datetime

反馈时间

6

feedback_content

text

65535

反馈内容

7

feedback_reply

text

65535

反馈回复

8

create_time

datetime

创建时间

9

update_time

timestamp

更新时间

                                                   表 4-9-hits(用户点击)

   

编号

字段名

类型

长度

是否非空

是否主键

注释

1

hits_id

int

点赞ID

2

user_id

int

点赞人

3

create_time

timestamp

创建时间

4

update_time

timestamp

更新时间

5

source_table

varchar

255

来源表

6

source_field

varchar

255

来源字段

7

source_id

int

来源ID

                                                 表 4-10-maintain_history(维护历史)

编号

字段名

类型

长度

是否非空

是否主键

注释

1

maintain_history_id

int

维护历史ID

2

user_account

int

用户账号

3

user_name

varchar

64

用户姓名

4

user_phone_number

varchar

64

用户电话

5

equipment_name

varchar

64

设备名称

6

equipment_number

varchar

64

设备编号

7

maintenance_type

varchar

64

维护类型

8

maintenance_time

datetime

维护时间

9

maintenance_duration

double

维护时长

10

maintenance_notes

text

65535

维护备注

11

create_time

datetime

创建时间

12

update_time

timestamp

更新时间

13

source_table

varchar

255

来源表

14

source_id

int

来源ID

15

source_user_id

int

来源用户

                                                       表 4-11-ordinary_users(普通用户)

编号

字段名

类型

长度

是否非空

是否主键

注释

1

ordinary_users_id

int

普通用户ID

2

user_name

varchar

64

用户姓名

3

user_phone_number

varchar

16

用户电话

4

user_gender

varchar

64

用户性别

5

examine_state

varchar

16

审核状态

6

user_id

int

用户ID

7

create_time

datetime

创建时间

8

update_time

timestamp

更新时间

                                                                 表 4-12-score(评分)

编号

字段名

类型

长度

是否非空

是否主键

注释

1

score_id

int

评分ID

2

user_id

int

评分人

3

nickname

varchar

64

昵称

4

score_num

double

评分

5

create_time

timestamp

创建时间

6

update_time

timestamp

更新时间

7

source_table

varchar

255

来源表

8

source_field

varchar

255

来源字段

9

source_id

int

来源ID

                                          表 4-13-upload(文件上传)

编号

字段名

类型

长度

是否非空

是否主键

注释

1

upload_id

int

上传ID

2

name

varchar

64

文件名

3

path

varchar

255

访问路径

4

file

varchar

255

文件路径

5

display

varchar

255

显示顺序

6

father_id

int

父级ID

7

dir

varchar

255

文件夹

8

type

varchar

32

文件类型

                                         表 4-14-user(用户账户)

编号

字段名

类型

长度

是否非空

是否主键

注释

1

user_id

int

用户ID

2

state

smallint

账户状态:(1可用|2异常|3已冻结|4已注销)

3

user_group

varchar

32

所在用户组

4

login_time

timestamp

上次登录时间

5

phone

varchar

11

手机号码

6

phone_state

smallint

手机认证:(0未认证|1审核中|2已认证)

7

username

varchar

16

用户名

8

nickname

varchar

16

昵称

9

password

varchar

64

密码

10

email

varchar

64

邮箱

11

email_state

smallint

邮箱认证:(0未认证|1审核中|2已认证)

12

avatar

varchar

255

头像地址

13

open_id

varchar

255

针对获取用户信息字段

14

create_time

timestamp

创建时间

                                          表 4-15-user_group(用户组)

编号

字段名

类型

长度

是否非空

是否主键

注释

1

group_id

mediumint

用户组ID

2

display

smallint

显示顺序

3

name

varchar

16

名称

4

description

varchar

255

描述

5

source_table

varchar

255

来源表

6

source_field

varchar

255

来源字段

7

source_id

int

来源ID

8

register

smallint

注册位置

9

create_time

timestamp

创建时间

10

update_time

timestamp

更新时间

系统实现

  1. 用户功能实现
    1. 设备信息

用户进入设备信息页面,浏览各类设备的名称、型号、规格、使用状态等基本信息。通过搜索栏或筛选条件,快速查找指定设备。点击设备详情,查看设备的详细资料,包括设备参数、操作手册以及使用建议。设备信息界面如图5-1所示。

                                                   图5-1设备信息界面

      1.  设备操作

用户进入设备操作页面,选择需要操作的设备,进行启动、停止、调整等控制操作。操作过程中,用户可以查看设备的实时状态与运行参数。每次操作后,系统记录操作历史,用户可以查看操作的时间、设备及其具体动作。设备操作界面如图5-2所示。

                                                图5-2设备操作界面

      1. 维护历史

用户进入维护历史页面,查看设备的过往维护记录,包括维护时间、维护内容、维修人员和维护结果。用户可按设备类型或维护时间筛选历史记录,确保对设备的维护情况有清晰了解,便于进行后续操作或报修。维护历史界面如图5-3所示。

                                                 图5-3维护历史界面

      1. 故障报告

用户进入故障报告页面,查看当前设备的故障状态,并可以根据实际情况填写详细的故障信息。用户可选择故障类型,上传图片或视频,简明描述故障现象,系统将自动生成故障报告并提交给管理员进行处理。故障报告界面如图5-4所示。

                                                  图5-4故障报告界面

      1. 反馈建议

用户进入反馈建议页面,填写设备使用过程中的意见与建议。用户可以针对设备性能、功能、操作界面等方面提出改进建议。提交后,系统将反馈信息传送至管理员,管理员可根据建议进行评估与后续优化处理。反馈建议界面如图5-5所示。

                                                          图5-5反馈建议界面

    1. 管理员功能实现
      1. 用户管理

管理员登录后台进入用户管理页面,查看所有用户的基本信息,包括用户名、联系方式、注册时间等。管理员可根据需求编辑用户信息、禁用或删除用户账户,确保系统用户数据的准确性与合规性。用户管理界面如图5-6所示。

                                                              图5-6用户管理界面

      1. 权限管理

管理员登录后台进入权限管理页面,查看不同用户角色及其权限设置。可为不同角色分配访问权限,包括查看、编辑、删除等操作权限。管理员可调整权限设置,确保系统操作权限的合理分配与安全管理。权限管理界面如图5-7所示。

                                                         图5-7权限管理界面

      1. 设备信息

管理员进入设备信息管理页面,查看所有设备的详细资料,包括设备名称、型号、规格、使用状态等。管理员可新增、编辑或删除设备信息,确保设备管理数据的准确与更新,便于后续操作与维护。设备信息界面如图5-8所示。

                                              图5-8设备信息界面

      1. 维护历史

管理员进入维护历史管理页面,查看所有设备的维护记录,包括维护时间、维护人员、维护内容和维护结果等。管理员可根据设备类型或时间筛选记录,审核并更新维护状态,确保设备维护的透明度与完整性。维护历史界面如图5-9所示。

                                              图5-9维护历史界面

      1. 故障报告

管理员进入故障报告管理页面,查看用户提交的所有设备故障报告。管理员可根据报告内容分析故障类型,指派维修人员进行处理,并跟踪报告的处理进度。所有故障报告均可审核与归档,确保故障问题及时解决。故障报告界面如图5-10所示。

                                                图5-10故障报告界面

      1. 设备采购

管理员进入设备采购管理页面,查看当前设备采购的相关信息,包括采购时间、供应商、数量、价格等。管理员可新增或修改采购记录,并审核设备采购的申请,确保采购流程的顺畅与采购数据的准确性。设备采购界面如图5-11所示。

                                                         图5-11设备采购界面

  1. 系统测试
    1. 测试环境

系统的测试环境如表6-1所示。

表6-1 测试环境

类别

配置项

详细信息

硬件环境

服务器CPU

Intel Xeon E5-2680 v4

内存

32GB DDR4

硬盘

1TB SSD

网络带宽

100Mbps

软件环境

操作系统

Windows Server 2019

数据库

MySQL 8.0

Web服务器

Tomcat 9.0

开发框架

SpringBoot 2.5

前端框架

Vue.js 2.6

Java版本

JDK 11

浏览器

Chrome 88, Firefox 85

    1. 测试目的

系统测试的主要目的是确保系统的功能、性能和稳定性满足需求规格说明书中的要求,并验证系统在实际使用环境中的可用性和可靠性。通过测试,可以发现软件中的缺陷、漏洞和潜在问题,确保系统运行的准确性、完整性和安全性。在功能测试中,目的是验证系统各功能模块是否按设计实现预期功能,例如用户登录、信息管理、数据查询等核心功能是否准确执行。性能测试的目的是验证系统在高并发、数据量大等压力场景下的响应时间和处理能力,确保系统具备良好的性能。兼容性测试的目的是确保系统在不同的硬件、软件和浏览器环境中能正常运行。测试还包括对异常处理和边界条件的验证,确保系统在异常场景下能够正确处理和恢复。最终,通过测试确保系统可以安全稳定地部署上线,为用户提供可靠的服务。

    1. 测试方法

系统测试采用多种测试方法,以全面验证系统的功能和性能。功能测试采用黑盒测试方法,通过设计测试用例直接验证系统功能是否符合需求,无需了解内部代码逻辑。例如,设计用例验证用户登录模块,通过输入合法和非法的用户名与密码,检查系统响应是否符合预期。性能测试采用压力测试和负载测试方法,通过模拟高并发用户访问、数据处理的场景,评估系统的响应时间、吞吐量和稳定性。兼容性测试通过在不同操作系统、浏览器和硬件设备上运行系统,验证其在不同环境中的适应性[11]。异常测试通过设计边界条件和异常输入,检查系统对非法数据和操作的处理能力。测试用例的设计需覆盖系统的所有功能模块和接口,确保测试过程的全面性。通过系统测试方法的综合应用,可以有效发现问题,并为系统的优化和改进提供依据。

    1. 测试内容

系统的测试用例表格如下图所示。

表6-2 系统测试用例表

测试项

测试用例

问题

结论

设备信息

打开设备信息页面 输入正确的设备编号 点击“查询”按钮

符合预期

设备信息

打开设备信息页面 输入不存在的设备编号 点击“查询”按钮

符合预期

设备操作

打开设备操作页面 输入设备编号和操作内容 点击“提交”按钮

符合预期

设备操作

打开设备操作页面 输入错误的设备编号 点击“提交”按钮

符合预期

维护历史

打开维护历史页面 输入设备编号 点击“查看历史”按钮

符合预期

维护历史

打开维护历史页面 输入不存在的设备编号 点击“查看历史”按钮

符合预期

故障报告

打开故障报告页面 输入设备编号和故障描述 点击“提交”按钮

符合预期

故障报告

打开故障报告页面 不输入故障描述 点击“提交”按钮

符合预期

反馈建议

打开反馈建议页面 输入用户姓名和建议内容 点击“提交”按钮

符合预期

反馈建议

打开反馈建议页面 不输入建议内容 点击“提交”按钮

符合预期

用户管理

打开用户管理页面 输入用户名和密码 点击“添加用户”按钮

符合预期

用户管理

打开用户管理页面 输入已存在的用户名 点击“添加用户”按钮

符合预期

权限管理

打开权限管理页面 选择用户并分配权限 点击“保存”按钮

符合预期

权限管理

打开权限管理页面 未选择用户 点击“保存”按钮

符合预期

设备采购

打开设备采购页面 输入设备名称和数量 点击“提交申请”按钮

符合预期

设备采购

打开设备采购页面 不输入设备名称 点击“提交申请”按钮

符合预期

    1. 测试结论

通过对系统功能的全面测试,整体测试结果表明大部分功能均符合预期,能够正常运行并完成各项操作。设备信息管理、设备操作、维护历史查询、故障报告提交、反馈建议等核心功能均成功通过测试,系统能够准确响应用户需求,并提供良好的操作体验。特别是在用户管理和权限管理功能方面,系统能够有效地进行用户信息管理和权限配置,保证了管理员对系统的控制和管理权力,确保了系统的安全性与稳定性。此外,设备采购模块也顺利通过了测试,能够准确记录和管理采购信息,满足粮库设备管理的基本需求。

总体来看,系统在功能实现、数据处理、权限管理等方面表现稳定,能够高效支持设备管理与维护工作,为粮食安全提供了有力的技术保障。然而,部分功能如故障报告提交和设备操作中的响应速度仍有提升空间。尽管这些问题未影响系统的主要功能,但为了确保更高效、更稳定的系统运行,仍需在后续版本中进行优化与调整。测试结果表明系统总体运行符合设计要求,但进一步的性能提升和用户体验优化仍是未来开发的重点。

  1.                                              总结

在本次论文中,基于Spring Boot、Vue和MySQL技术栈设计并实现了一套粮库设备管理平台。通过系统的设计与实现,深入探索了如何利用现代信息技术提高粮库设备的管理效率,解决传统管理模式下存在的诸多问题,如信息滞后、数据分散和操作不便等。经过多轮的功能开发和测试,平台已经能够高效地支持设备信息管理、操作控制、故障报告、维护记录等功能,极大地提升了设备管理的智能化和规范化水平。尤其是在管理员权限管理、设备采购管理等模块的实现上,系统展现了较强的灵活性和扩展性,为粮库设备的高效运营提供了技术保障。

回顾整个开发过程,尽管面临不少技术难题和挑战,但随着开发进程的推进,逐渐克服了一个又一个技术瓶颈,最终实现了系统的预期功能。通过这次项目的实践,我更加深刻地理解了前后端分离架构的优势与应用,以及如何将信息技术与实际需求相结合,创造出更加智能化、高效化的管理系统。整个过程中,每一次功能的完善和每一个测试用例的通过,都是对开发者努力的最好回报。尽管如此,系统仍然有很多提升空间,未来我希望能够对系统进行优化,进一步提高用户体验和平台性能,推动粮库设备管理走向更高的智能化水平。这次项目不仅是技术上的成长,也是对我思维和解决问题能力的一次锻炼,我会继续努力,不断提升自己。

                                      参考 文献  

  1. 刘江涛,王亮亮,吴庆茹,等.基于B/S模式的铁路勘测设计案例信息化管理系统设计与实现[J].铁路计算机应用,2021,30(03):32-35.
  2. 张丹丹,李弘.基于B/S架构的办公管理系统设计与开发[J].铁路通信信号工程技术,2024,21(09):44-48+106.
  3. 王志亮,纪松波.基于SpringBoot的Web前端与数据库的接口设计[J].工业控制计算机,2023,36(03):51-53.
  4. 熊永平.基于SpringBoot框架应用开发技术的分析与研究[J].电脑知识与技术,2021,15(36):76-77.
  5. 赵媛.基于Vue的Web系统前端性能优化分析[J].电脑编程技巧与维护,2024,(09):44-46.
  6. 秦冬.浅析Vue框架在前端开发中的应用[J].信息与电脑(理论版),2024,36(13):61-63.
  7. 李艳杰.MySQL数据库下存储过程的综合运用研究[J].现代信息科技,2023,7(11):80-82+88.
  8. 陈倩怡,何军.Vue+Springboot+MyBatis技术应用解析[J].电脑编程技巧与维护,2020,(01):14-15+28.
  9. 周晓玉,崔文超.基于Web技术的数据库应用系统设计[J].信息与电脑(理论版),2023,35(09):189-191.
  10. 马艳艳,吴晓光.计算机软件与数据库的设计策略分析[J].电子技术,2024,53(05):104-105.
  11. 李俊萌.计算机软件测试技术与开发应用策略分析[J].信息记录材料,2023,24(03):50-52.
  12. Zhang Q ,Zhang W ,Huang Q , et al.AMSformer: A Transformer for Grain Storage Temperature Prediction Using Adaptive Multi-Scale Feature Fusion[J].Agriculture,2024,15(1):58-58.
  13. Adimas T Z ,Adimas A M ,Abera D B .Plant-based bioactive compounds for grain storage: a comprehensive review[J].Cogent Food & Agriculture,2024,10(1):
  14. Shimbwadala S J ,Hal V H P ,Nantanga K K .In situ metal silos grains storage performance: Maize and pearl millet for improved food security in an arid environment[J].Journal of Stored Products Research,2025,110102487-102487.
  15. Man N ,Ramli N N ,Che’Ya N N .Farmers’ intention towards drone adoption in granary areas of KADA, IADA Kemasin Semerak, Kelantan and IADA KETARA, Terengganu, Malaysia[J].IOP Conference Series: Earth and Environmental Science,2024,1412(1):012019-012019.
  16. Jose N ,Ray P D ,Misra S , et al.Microencapsulation and nanoencapsulation of fungicidal and insecticidal agents for grain packaging and storage[J].Journal of Stored Products Research,2024,109102468-102468.
  17. 安真真,栗婷,张初阳,等.基层粮库仓储管理规范化过程[J].粮油仓储科技通讯,2024,40(04):7-9.
  18. 刘慧,李和风.粮库管理更加“智慧”[N].经济日报,2024-05-31(006). DOI:10.28425/n.cnki.njjrb.2024.003869.
  19. 吴建民.智慧粮库物流优化的技术创新与应用[J].粮食储藏,2023,52(06):46-50.
  20. 廖伟智,张彬,徐国栋,等.基于数字孪生的粮库可视化监控与管理系统研发[J].制造业自动化,2023,45(11):202-207.

                                致谢

在本次论文的撰写与系统开发过程中,得到了许多人的帮助与支持,特此表示衷心的感谢。首先,感谢我的导师在整个项目中的指导与帮助,您的悉心教诲和耐心指导为我提供了宝贵的方向。每次遇到技术难题时,您总是能够为我提供清晰的思路和解决方案,您的专业知识和丰富经验让我受益匪浅。同时,感谢学院提供的良好学习平台和实验条件,让我能够顺利完成这项课题的开发和研究工作。在此过程中,我不仅学到了很多先进的技术,也锻炼了自己的实际应用能力和问题解决能力。

此外,感谢我的同学和朋友们在项目开发中的支持与鼓励。在系统开发过程中,大家提供了许多宝贵的意见和建议,帮助我快速解决了多次遇到的问题。感谢你们的陪伴和鼓励,尤其是在我感到迷茫时,你们的建议让我重新找到了方向。项目的顺利完成离不开你们的支持与帮助,也让我深刻体会到团队合作的重要性。最后,感谢家人对我一直以来的理解和支持,是你们的鼓励让我在遇到困难时不轻易放弃,始终坚持自己的目标,最终取得了阶段性的成果。希望未来能够继续努力,将学到的知识与经验应用到实际工作中,为社会做出更多贡献。

                           点赞+收藏+关注 → 私信领取本源代码、数据库

http://www.dtcms.com/a/471655.html

相关文章:

  • 什么样的企业需要做网站佛山网站建设no.1
  • 网站会员充值做哪个分录电子商务网站开发实训体会
  • 成交型网站建设公司青岛网站建设比较好
  • 信阳住房和城乡建设厅网站庆阳东道设计
  • 六盘水网站开发潍坊seo
  • 如何搭建网站后台江苏建设人才网 官网
  • 诺亚人力资源外包网扬州seo招聘
  • 网站支付宝怎么做电子商务网站建设 填空题
  • 网站的运行环境万网全球商业网
  • Python入门第一课:Python安装、VSCode/Pycharm配置
  • 免费做网站的文章类型网站
  • c 视频网站开发自己做网站需要啥
  • 公司建站方案设计广告公司网站建设
  • 算法学习 || 动态规划(买卖股票的最佳时机3)
  • [GazeTracking] 视线数据获取 | refresh
  • Elastic × Jina AI
  • php 网站下载器备案 网站 收录
  • 编译原理机测客观题(1)绪论、文法与语言
  • 企业网站更新频率医疗器械网站制作
  • 培训机构网站源码购物网站发展规划与建设进度
  • 抽像代数概念理解——同构(isomorphism)
  • Tweedie 公式
  • 站长之家psd南漳网站开发
  • .net网站制作做游戏视频网站
  • 肇庆网站seowordpress评论发邮件
  • 网站服务器怎么迁移搜索引擎哪个好
  • 青岛建网站最新消息新闻头条
  • 郴州市北湖建设局网站设计师 网站
  • 双目视觉对熔池表面的三维重建研究总结
  • 【笔记】聊聊更强大的 epoll