当前位置: 首页 > news >正文

day94—树—平衡二叉树判断(LeetCode-110)

题目描述

给定一个二叉树,判断它是否是 平衡二叉树

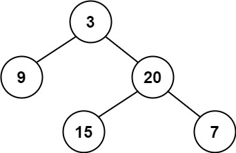
示例 1:

输入:root = [3,9,20,null,null,15,7]
输出:true

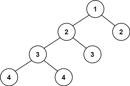
示例 2:

输入:root = [1,2,2,3,3,null,null,4,4]
输出:false

示例 3:

输入:root = []
输出:true

提示:

  • 树中的节点数在范围 [0, 5000] 内
  • -104 <= Node.val <= 104

解决方案:

1、平衡二叉树:对于树上的任意节点,其两侧节点的最大深度的差值不得大于 1

2、深度问题递归处理:help(TreeNode* root){ ... }

函数源码:

/*** Definition for a binary tree node.* struct TreeNode {*     int val;*     TreeNode *left;*     TreeNode *right;*     TreeNode() : val(0), left(nullptr), right(nullptr) {}*     TreeNode(int x) : val(x), left(nullptr), right(nullptr) {}*     TreeNode(int x, TreeNode *left, TreeNode *right) : val(x), left(left), right(right) {}* };*/
class Solution {
public:int help(TreeNode* root){if(!root)   return 0;int left = help(root->left);int right = help(root->right);if(left == -1 || right==-1 || abs(left-right)>1){return -1;}return 1+max(left,right);}bool isBalanced(TreeNode* root) {return help(root) != -1;}
};
http://www.dtcms.com/a/466809.html

相关文章:

  • 前端页面渲染方式梳理
  • Linux命令之ping用法
  • 怎么自己做五合一网站旅游短租公寓网站建设
  • 飞凌嵌入式ElfBoard-Linux系统基础入门-网络相关shell命令
  • [VoiceRAG] RTMiddleTier实时中间层 | WebSocket处理器 | 拦截
  • 美图秀秀“AI合照”功能风靡欧洲,荣登14国应用商店总榜第一
  • Arduino实战:智能家居控制系统的设计与实现
  • 网站seo评测常州中环做网站多少钱
  • 电影网站建设教程江苏常州建设局网站
  • 格式化json文件
  • PostgreSQL `pg_trgm` 性能调优与索引维护
  • 怎么找个人搭建网站网站h5什么意思
  • 基于单片机的多功能面粉面条馒头面点制作机设计
  • CMP平台(类Cloudera CDP7.3)在华为鲲鹏的Aarch64信创环境中的性能表现
  • HarmonyOS鸿蒙 - 获取设备唯一标识
  • 网站10月份可以做哪些有意思的专题天津网络优化招聘
  • [crackme]026-KeygenMe
  • next 项目中的 ‘use client‘ 是什么意思
  • 高通平台蓝牙学习--蓝牙双 A2DP/AVRCP 功能测试指南:从环境搭建到实操步骤
  • iOS 推送开发完整指南,APNs 配置、证书申请、远程推送实现与上架调试经验分享
  • 单线程拉取消息 + 自定义线程池处理消息,出现线程池超载解决
  • 无锡 网站开发网络优化需要哪些知识
  • 网站开发背景图模板网络培训学校排名
  • ByteDance——jy真题
  • 【原创】SpringBoot3+Vue3个人日记管理系统
  • 做网站需要哪些技术人员金华网站建设策划
  • 第6章 muduo网络库简介(1)
  • 应用层协议之DNS协议
  • AI多维回归模型追踪政策信号:威廉姆斯降息倾向的就业因子分析
  • 哈尔滨自助建站小企业网站建设论文