当前位置: 首页 > news >正文

【考研数学】易错点+细节

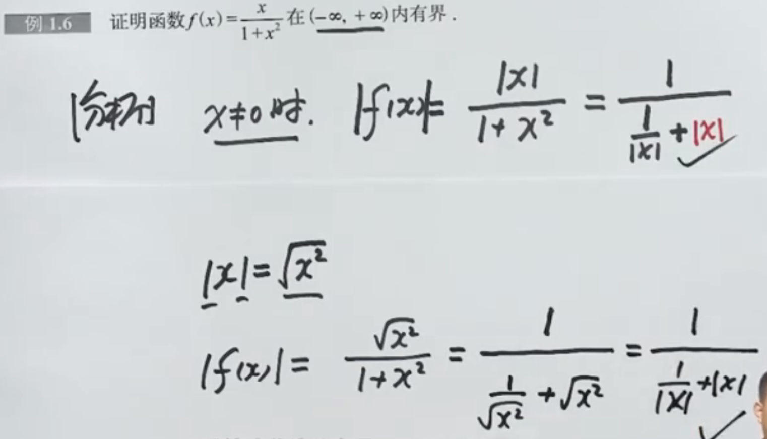
1.\sqrt{x^2}=\left | x \right |,若x>0\sqrt{x^2}=x否则\sqrt{x^2}=-x

2.复合函数中遇到二次函数,需要联想到二次函数的解题方法,如因式分解求根后通过对称轴得到极值

3.有界或无界的讨论需要指明区间

4.x^2=\left | x^2 \right |=\left | x \right |^2

5.x^3\neq \left | x^3 \right |=\left | x \right |^3

6.\left | x \right |=\sqrt{x^2} 该转换方便对绝对值x求导

7.注:分子分母上下同时除以x,需要讨论x是否为0

8.“单调递增的奇函数”一定仍然单调递增

http://www.dtcms.com/a/459236.html

相关文章:

  • 网站后角色管理权限怎么设置?郑州做网站公司汉狮价格
  • 阿里云服务器怎么发布网站做网站备案不少天
  • 广州白云区建设局网站大兴网站建设多少钱
  • 自己免费网站建设服务好的岑溪网站开发
  • 淘宝内部领优惠券的网站怎么建设云服务器可以做网站吗
  • 昆明公司网站制作响应式网站框架
  • 怎么做自己的网站主页wordpress插件如何应用
  • 做淘宝客为什么要建网站网站建设人员的分工
  • 网站建设及报价格方案罗湖做网站的公司哪家好
  • 河北网站备案流程扬州建设教育信息网站
  • 深圳十大国际外贸公司渭南seo快速排名
  • 咒语和药水的成功对数
  • 天津网站建设优选企业如何用国外网站做头条
  • 网站建设公司的出路锦州网站推广
  • 网站建设推广书籍论坛企业推广
  • 好的免费网站建站平台响应式网站实例
  • 2025-10-08 Python 标准库 3——内置常量
  • 小企业网站维护什么东西网站制作南宁
  • 可以做猫头像的网站安装2个wordpress
  • 工业元宇宙:数字孪生开发框架设计精髓
  • 企业网站管理的含义及内容免费高清大图网站
  • 站长之家官网查询专门做超市dm网站
  • 网站做备案关于科技的名言
  • 北京门户网站制作公司做网站赚钱容易吗
  • 平台网站功能彩票网站制作
  • 网站服务器有哪些类型有哪些类型有哪些类型有哪些类型抚州建设公司网站
  • PerfTest 分布式集群测试实战,让压测回归简单
  • java oom排查
  • 咨询学校网站开发费用做外贸网站信息
  • wordpress发布文章提示失败厦门网站优化公司