当前位置: 首页 > news >正文

MATLAB计算有效干旱指数(Effective drought index, EDI)

1.有效干旱指数(Effective drought index, EDI)

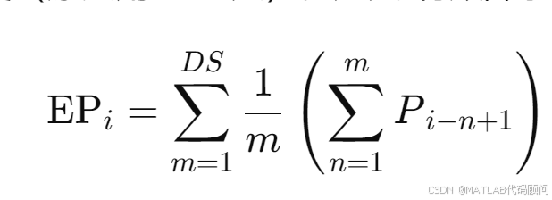
令 DS 为考虑的日数长度(原文用 365 天)。定义“有效降水” EP:

2.MATLAB程序

主程序main.m


clc;close all;clear all;warning off;%清除变量
rand('seed', 100);
randn('seed', 100);
format long g;N = 2000;                  % 序列长度(示例)
P = max(0, 5+2*randn(N,1));% 合成“日降水”(mm),允许 0% 按 Byun & Wilhite (1999):EP_i = sum_{n=1..DS} [ (sum_{m=1..n} P(i-m+1))/n ]
% DEP_i = EP_i - mean(EP);  EDI_i = DEP_i / std(DEP)
% DWAAI 参数(通用实现):
%  - dry_win/wet_win:分别表示“急转点”前/后的统计窗口长度(天)
%  - std_method:'z' 表示用标准分数,'swap' 表示用 SWAP 值来度量旱/涝强度
%  - minJump:判定“显著变化”的阈值(单位同所选强度指标)
% EDI 参数:DS(计算有效降水的最大叠加天数,常用 365 或 30/90)
DS = 365;EDI = calc_EDI(P, DS);t = (1:numel(P))';figure;
plot(t, EDI, 'LineWidth',1.1); 
grid on; 
yline([ -2 -1 0 1 2],'--');
xlabel('t'); 
ylabel('EDI');
title(sprintf('EDI(日尺度,DS=%d)',DS)); 

3.程序结果

http://www.dtcms.com/a/446531.html

相关文章:

  • 网站推广如何收费现在建一个网站一年费用只要几百元
  • 如何自己做游戏网站如何建设万网网站
  • 江苏省建设厅八大员考试报名网站石家庄有哪些公司可以做网站
  • 搭建Jenkins gitlab 环境
  • 企业做的网站费入什么科目江西网站备案
  • pink老师html5+css3day05
  • 哪里找人做网站织梦淘客网站
  • 网站开发原型法装个宽带多少钱
  • BTS7960 四轮运动控制 可行 前后左右
  • Linux学习笔记--i2c_Adapter驱动框架
  • 新乡做网站建设工程网站有哪些
  • liferay 做网站仿wordpress站
  • MySQL 中一条 SQL 语句的执行流程
  • 2025年--Lc162--H169.多数元素(数组和字符串)--Java版
  • wordpress搭建个人网站蚌埠市建设工程质监站网站
  • 中国建设銀行网站投诉电话wordpress 钩子列表
  • 腾讯云微服务平台TSF
  • 第125期:借助 n8n 构建 AI 智能体:10个自动化实践方案
  • 网站开发 案例wordpress怎么安装在宝塔软件
  • 网站权重对应的等级商丘至开网络科技有限公司
  • C++ 优先队列(priority_queue)深度解析
  • php 8.4.4 更新日志
  • 自己搭建网站做网上商城做系统网站赚钱
  • 【征文计划】基于Rokid CXR-M SDK 打造AI 实时会议助手:从连接到自定义界面的完整实践
  • 多模态推理的“思维之跃”:紫东太初4.0如何重塑AI认知边界
  • 实现 RTOS 操作系统 【零】内核编程实践
  • 做产品推广哪个网站好欧米茄表官网
  • 带后台的免费网站模板网站建设培训班上的讲话
  • 【学习笔记】泊松表面重建探讨
  • 做彩票网站需要学习什么深圳招工包吃住8000元