当前位置: 首页 > news >正文

PINN训练新思路:把初始条件和边界约束嵌入网络架构,解决多目标优化难题

PINNs出了名的难训练。主要原因之一就是这个多目标优化问题。优化器很容易找到投机取巧的路径——比如拼命降低微分方程残差,但完全不管初始条件和边界约束。只要给初始条件和边界损失配的权重够低,它们增加的那点损失完全能被残差损失的大幅下降抵消掉。调整权重也许能暂时缓解这个问题,但谁也不能保证最优权重在整个训练过程中一直有效。

标准的PINN用复合损失函数,把三项加权求和:

  • 初始条件损失
  • 边界损失
  • 微分方程残差损失

要让解有用,必须让所有损失项同时降下来。用复合损失训练PINN的时候,优化器面对多个目标,有什么办法让优化器的工作简单点呢?

硬约束

要简化训练,最好能把复合损失换成单一项。所以如果能设计一种神经网络架构,让它自动满足初始和边界条件那么事情就会简单很多了。初始条件和边界条件直接"钉"在网络结构里,所以叫"硬约束"。相比之下,原始PINN把初始和边界条件放在损失函数里,那些约束是"软"的——不保证精确满足。

下面看看怎么把这些约束具体嵌入网络架构。

强制初始条件

初始条件一般是空间域上的一系列离散测量点。比如1D + t(一个空间维度加时间)的情况,初始条件就是沿x轴的一串值:(0 m, 100°C), (0.01 m, 105°C), (0.02 m, 106°C), … (0.3 m, 31°C),诸如此类。

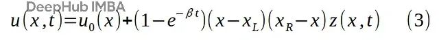
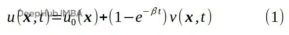
假设能用函数u₀(x)在整个空间域上插值。对1D + t的例子,如果_x_在样本点上,u₀(x)返回观测值;否则返回平滑插值,x ∈ [0 m, 0.3 m]。三次样条很适合干这活。现在把初始条件的插值函数u₀(x)整合进PINN架构的输出:

方程(1)给出了一种强制u(x, 0) = u₀(x)的方式。β是常数或者可训练的时间衰减参数,决定了从初始状态到热扩散状态的过渡期长短。任意函数v(x, t)是神经网络的输出,不过还有点额外的处理。

强制边界条件

如果方程(1)里的函数v(x, t)在边界上取零值,再加上u₀(x)满足Dirichlet边界条件的假设,那么u(**xᵇ, t) = u₀(xᵇ),这里x**ᵇ是边界上的点。

Ω(x)是个平滑函数,边界处输出零,空间域内部输出非零有限值。可以想象成平面上的肥皂泡。

文献[1]把Ω(x)叫做_approximate distance function_(近似距离函数),因为它的行为类似于输出到最近边界距离的函数。我觉得叫_boundary bubble function_(边界泡泡函数)更形象点。

对1D + t情况,Ω(x)可以取抛物线形式,在空间边界x_L和x_R处为零:

z(x, t)是任意函数的输出。这里用神经网络。

输出u(x, t)不是直接从可训练网络z(x, t)出来的,还能用梯度下降优化网络参数吗?

能。方程(3)里涉及的其他函数(u₀(x)、时间衰减函数、边界泡泡函数Ω(x))对x和t都可导。深度学习框架反向传播损失张量的时候会把它们的梯度算进去。所以初始条件插值、时间衰减、边界泡泡函数的具体形式其实不太关键,神经网络会自己适应。

用方程(3)作为PINN输出的过滤器,就可以开始求解偏微分方程(PDE)了。

实验

考虑一个薄金属棒,初始温度分布已知,来自一系列测量值。

初始条件,一系列温度测量点定义。图片由作者提供。

描述温度随时间演化的PDE是1D热扩散方程:

这个问题的解析解是知道的,所以能拿PINN的结果跟解析解对比。

PINN架构核心是个三层ResNet,每层宽度32。

初始条件用三次样条插值,边界泡泡函数用抛物线:

class HardConstrained1dResNet(torch.nn.Module):def __init__(self, number_of_blocks, block_width, number_of_outputs,initial_profile, time_bubble_beta=2.0):super().__init__()self.bubble = Bubble()self.z_predictor = pinn1d.ResidualNet(number_of_inputs=2,number_of_blocks=number_of_blocks,block_width=block_width,number_of_outputs=number_of_outputs)self.initial_profile = initial_profiledelta_x = 1.0/(len(self.initial_profile) - 1)xs = np.arange(0, 1 + delta_x/2, delta_x)xy_list = []for x_ndx in range(len(xs)):x = xs[x_ndx]xy_list.append((x, self.initial_profile[x_ndx]))self.initial_profile_interpolator = interpolation1d.CubicSpline(xy_list, boundary_condition='2nd_derivative_0')self.time_bubble_beta = torch.nn.Parameter(torch.tensor([time_bubble_beta]))def forward(self, x_t):  # x_t.shape = (B, 2)x_tsr = x_t[:, 0].unsqueeze(1)  # (B, 1)t_tsr = x_t[:, 1].unsqueeze(1)  # (B, 1)bubble_t_tsr = self.time_bubble(t_tsr)  # (B, 1)bubble_x_tsr = self.bubble(x_tsr)  # (B, 1)z_tsr = self.z_predictor(x_t)  # (B, 1)initial_interpolation_tsr = self.initial_profile_interpolator.batch_evaluate(x_tsr)return initial_interpolation_tsr + bubble_t_tsr * bubble_x_tsr * z_tsrdef time_bubble(self, t_tsr):  # t_tsr.shape = (B, 1)return 1 - torch.exp(-self.time_bubble_beta * t_tsr)  # (B, 1)

训练程序train.py里,损失函数只有一项——微分方程残差损失。初始条件和边界损失架构设计就保证了,不用放到损失函数里:

 (...)# Differential equation residual lossdiff_eqn_residual_x_t_tsr.detach_()diff_eqn_residual_x_t_tsr.requires_grad = Truedu_dx__du_dt = first_derivative(neural_net, diff_eqn_residual_x_t_tsr)du_dt = du_dx__du_dt[:, 1]  # (N_res)d2u_dx2__d2u_dxdt = second_derivative(neural_net, diff_eqn_residual_x_t_tsr, 0)  # (N_res, 2)d2u_dx2 = d2u_dx2__d2u_dxdt[:, 0]  # (N_res)diff_eqn_residual = 1.0/duration * du_dt - alpha/length**2 * d2u_dx2  # (N_res)diff_eqn_residual_loss = criterion(diff_eqn_residual, torch.zeros_like(diff_eqn_residual))loss = diff_eqn_residual_lossis_champion = False(...)

下图是典型训练过程的损失变化:

动画1对比了10秒模拟期间的近似解和解析解:

外链图片转存失败,源站可能有防盗链机制,建议将图片保存下来直接上传

PINN预测与解析解的比较。图片由作者提供。

符合预期,t=0时的预测就是初始条件的插值,x=0 m和x=0.3 m处的温度值精确等于设定的边界温度(Dirichlet边界条件)。

总结

多目标优化给PINN训练带来的困难是实实在在的。设计上做点简单修改,让网络输出在t=0时自动匹配初始条件插值,在边界上自动满足边界条件,就能把问题简化不少。

训练PINN解1D+t热扩散问题的结果还不错,从可视化能清楚看到PINN学会了满足PDE,同时被强制满足初始和边界条件。

这套方法对那些物理约束不能妥协的领域可能挺有价值——气候建模、生物医学仿真之类的场景。

本文的代码在这里:

https://avoid.overfit.cn/post/4b21ca89cc714512bff16ffd1af69538

参考:

[1] Exact imposition of boundary conditions with distance functions in physics-informed deep neural networks, N. Sukumar, Ankit Srivastava, https://arxiv.org/abs/2104.08426

作者:Sébastien Gilbert

http://www.dtcms.com/a/435955.html

相关文章:

  • 公司主网站百度收录大量网站之类的信息crm客户管理系统哪个好
  • [嵌入式] U-Boot 环境变量深度解析:从 QSPI 到 eMMC 的 Linux 启动完整指南
  • 左右左布局网站建设适合新手的网站开发
  • 上海网站建设知识 博客wordpress 留言插件
  • 网站模板 英文wordpress文章存储位置
  • 麻城建设网站什么腾讯网站做任务能刷q币
  • 绿色网站模板大全品牌网站建设 d磐石网络
  • 企业网站的可信度建设包括厦门有家装饰
  • 容器化安装新玩法:从镜像革命到边缘原生的技术突破
  • 旅游网站设计asp怎样做网站信箱
  • 【AI论文】基于分位数优势估计的熵安全推理方法
  • win2008 iis配置网站海城网站制作建设
  • 竞馨门户网站开发大型网页设计
  • 南京做网站的公司排名wordpress说有图片居中对齐
  • zabbix安装及基本使用
  • NVIDIA-SMI has failed because it couldn‘t communicate with the NVIDIA driver.
  • 浙江省城乡建设厅网站国医堂网站平台建设
  • php做网站需要什么技术企业邮箱登录入口官网ww
  • 自己用电脑做虚拟机怎么建网站上海做网站的故事哪家好
  • 阿里服务器怎么做网站服务器wordpress新闻动态不显示作者
  • 跨境电商网站建设流程图网站只能用ip访问网站
  • 英语学习-Saints044-1
  • 公司网站建设要注意的问题泉州手机网站建设
  • 两学一做教育网站wordpress图片付费下载
  • 网站建设着安徽省所有建设类网站
  • 在公司的小语种网站上南京网站制作服务商
  • 企业网站备案收费产品经理培训哪个机构好
  • 江苏省住房和城乡建设厅网站重庆免费微网站
  • 简述网页与网站的区别公众号怎么创建
  • 10.2 作业