LeetCode:两两交换链表中的节点
文章收录于LeetCode专栏
LeetCode地址
两两交换链表中的节点
题目
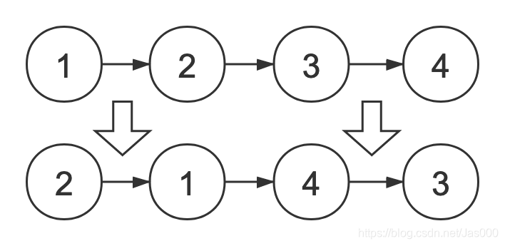
给定一个链表,两两交换其中相邻的节点,并返回交换后的链表。你不能只是单纯的改变节点内部的值,而是需要实际的进行节点交换。
示例 1:

输入:head = [1,2,3,4]
输出:[2,1,4,3]
示例 2:
输入:head = []
输出:[]
示例 3:
输入:head = [1]
输出:[1]
算法思路
该题需要我们把链表中的节点进行两两的交换,且必须要实际交换节点不能只是改变节点中的值。一次遍历完成两两交换,详细步骤如下,
- 定义一个独立的节点用来统领所有节点,同时定义一个用于遍历的临时节点对象;
- 使用临时定义的节点temp开始遍历,且遍历条件是节点temp的下一个slow节点和下一个的下一个fast节点都不为空。因为slow节点和fast节点就是我们即将会在循环体中要进行交换的两个节点,所以这两个节点必须不能为空;
- 在将slow节点和fast节点进行交换之前,需要将temp的下一个节点指向fast,这样做的目的就是连接前后的已经交换后的节点;
- 交换slow节点和fast节点的位置,同时将用于遍历的temp节点指定为slow节点,用于下一轮遍历。

编码
/**
* Definition for singly-linked list.
* public class ListNode {
* int val;
* ListNode next;
* ListNode() {}
* ListNode(int val) { this.val = val; }
* ListNode(int val, ListNode next) { this.val = val; this.next = next; }
* }
*/
class Solution{
public ListNode swapPairs(ListNode head) {
if(Objects.isNull(head)){
return null;
}
ListNode newNode = new ListNode(-1);
newNode.next = head;
ListNode temp = newNode;
while(temp.next != null && temp.next.next != null){
// 要被交换的节点一
ListNode first = temp.next;
// 要被交换的节点二
ListNode second = temp.next.next;
// 连接前后两个已经交换节点
temp.next = second;
// 交换节点
first.next = second.next;
second.next = first;
// 指向下一个遍历节点
temp = first;
}
return newNode.next;
}
}
复杂度分析
只有一次遍历所以空间复杂度为O(n),空间复杂度为O(1)。
