苍穹外卖--Redis
1.Redis入门
1.1Redis简介
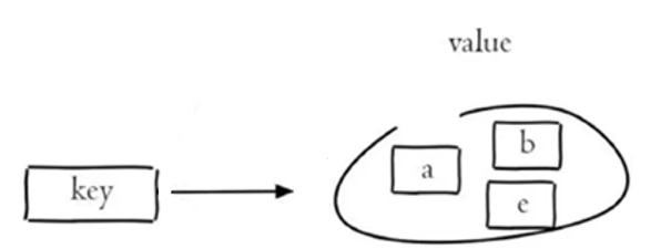
Redis是一个基于内存的key-value结果数据库
基于内存存储,读写性能高
适合存储热点数据(热点商品、资讯、新闻)
企业应用广泛
Redis的Windows版属于绿色软件,直接解压即可使用,解压后目录结构如下:

1.2Redis服务启动与停止
进入存放Redis文件内,然后启动cmd,输入
redis-server.exe redis.windows.conf
启动服务器
按ctrl+c结束服务
进入存放Redis文件内,然后启动cmd,输入
redis-cli.exe或redis-cli.exe -h localhost -p 6379如果有密码的话输入redis-cli.exe -h localhost -p 6379 -a xxxx
就进入了控制台了,输入exit停止控制台
点击redis.windows.conf文件,进入其中找到requirepass foobared,这个就是修改密码的地方

可视化界面链接内容

2.Redis数据类型
2.1、5种常用数据类型介绍
Redis存储的是key-value结构的数据,其中key是字符串类型,value有五种常用的数据类型:
字符串 String
哈希 hash
列表 list
集合 set
有序集合 sorted set/zset
2.2各种数据类型的特点
字符串(string):普通字符串,Redis中最简单的数据类型
哈希(hash):也叫散列,类似于java中的HashMap结构
列表(list):按照插入顺序排序,可以有重复元素,类似于java中的LinkedList
集合(set):无序集合,没有重复元素,类似与Java中的HashSet
有序集合(sotred set/zset):集合每个元素关联一个分数(score),根据分数升序排序,没有重复元素

3.Redis常用命令
3.1字符串操作命令
Redis字符串类型操作命令:
SET key value 设置指定key的值

GET key 获取指定key的值

SETEX key seconds value 设置指定key的值,并将key的过期时间设置为seconds秒


SETNX key value 只有在key不存在时设置key的值

3.2哈希操作命令
Redis hash是一个string类型的field和value的映射表,hash特别时候用于存储对象,常用命令:
HSET key field value 将哈希表key中的字段field的值设为value

HGET key field 获取存储在哈希表中指定字段的值

HDEL key field 删除存储在哈希表中的指定字段

HKEYS key 获取哈希表中所有字段

HVALS key 获取哈希表中所有值


3.3列表操作命令
Redis列表是最简单的字符串列表,按照插入顺序排序,常用命令:
LPUSH key value1 [value2] 将一个或多个值插入到列表头部

LRANGE key start stop 获取列表指定范围内的元素

RPOP key 移除并获取类别最后一个元素

LLEN key 获取列表长度


3.4集合操作命令
Redis set是string类型的无序集合。集合成员是唯一的,集合中不能出现重复的数据,常用命令:
SADD key member1 [member2] 向集合添加一个或多个成员

SMEMBERS key 返回集合的成员数

SCARD key 获取集合的成员数

SINTER key1 [key2] 返回给定所有集合的交集

SUNION key1 [key2] 返回所有给定集合的并集

SREM key member1 [member2] 删除集合中一个或多个成员


3.5有序集合操作命令
Redis有序集合是string类型元素的集合,且不允许有重复成员。每个元素都会关联一个double类型的分类。常用命令:
ZADD key score1 member1 [score2 member2] 向有序集合添加一个或多个成员

ZRANGE key start stop [WITHSCORES] 通过索引区间返回有序集合中指定区间内的成员


ZINCRBY key increment member 有序集合中对指定成员的分类加上增量increment

ZREM key member [member] 移除有序集合中的一个或多个成员


3.6通用命令
KEYS pattern 查找所有符合给定模式(pattern)的key


EXISTS key 检查给定key是否存在

TYPE key 返回key所储存的值的类型

DEL key 该命令用于key存在是删除key


4.在Java中操作Redis
4.1Redis的java客户端
Redis的Java客户端很多,常用的几种:
Jedis
Lettuce
Spring Data Redis
Spring Data Redis是spring的一部分,对Redis底层开发包进行了高度封装。
在Spring项目中,可以使用spring Data Redis来简化操作。
4.2Spring Data Redis使用方式
操作步骤:
①导入Spring Data Redis的maven坐标

②配置Redis数据源

③编写配置类,创建RedisTemplate对象
package com.sky.config;import lombok.extern.slf4j.Slf4j;
import lombok.val;
import org.springframework.context.annotation.Bean;
import org.springframework.context.annotation.Configuration;
import org.springframework.data.redis.connection.RedisConnectionFactory;
import org.springframework.data.redis.core.RedisTemplate;
import org.springframework.data.redis.serializer.StringRedisSerializer;@Configuration
@Slf4j
public class RedisConfiguration {@Beanpublic RedisTemplate redisTemplate(RedisConnectionFactory redisConnectionFactory){log.info("开始创建redis模板对象...");RedisTemplate redisTemplate = new RedisTemplate();redisTemplate.setConnectionFactory(redisConnectionFactory);//设置Redis的连接工厂对象redisTemplate.setConnectionFactory(redisConnectionFactory);//设置redis key的序列化器redisTemplate.setKeySerializer(new StringRedisSerializer());return redisTemplate;}
}
④通过RedisTemplate对象操作Redis
package com.sky.test;import org.junit.jupiter.api.Test;
import org.springframework.beans.factory.annotation.Autowired;
import org.springframework.boot.test.context.SpringBootTest;
import org.springframework.data.redis.connection.DataType;
import org.springframework.data.redis.core.*;import java.util.List;
import java.util.Set;
import java.util.concurrent.TimeUnit;@SpringBootTest
public class SpringDataRedisTest {@Autowiredprivate RedisTemplate redisTemplate;@Testpublic void testRedisTemplate(){System.out.println(redisTemplate);ValueOperations valueOperations = redisTemplate.opsForValue();HashOperations hashOperations = redisTemplate.opsForHash();ListOperations listOperations = redisTemplate.opsForList();SetOperations setOperations = redisTemplate.opsForSet();ZSetOperations zSetOperations = redisTemplate.opsForZSet();}/***操作字符串类型的数据*/@Testpublic void testString(){//set get setex setnxredisTemplate.opsForValue().set("city","北京");String city = (String) redisTemplate.opsForValue().get("city");System.out.println(city);redisTemplate.opsForValue().set("code","123",2, TimeUnit.MINUTES);redisTemplate.opsForValue().setIfAbsent("lock","1");redisTemplate.opsForValue().setIfAbsent("lock","2");}/*** 操作哈希类型的数据*/@Testpublic void testHash(){//hset hget hdel hkeys hvalsHashOperations hashOperations = redisTemplate.opsForHash();hashOperations.put("100","name","tom");hashOperations.put("100","age","20");String name = (String) hashOperations.get("100","name");System.out.println(name);Set keys = hashOperations.keys("100");System.out.println(keys);List values = hashOperations.values("100");System.out.println(values);hashOperations.delete("100","age");}/*** 操作列表类型的数据*/@Testpublic void testList(){//lpush lrange rpop llenListOperations listOperations = redisTemplate.opsForList();listOperations.leftPushAll("mylist","a","b","c");listOperations.leftPush("mylist","d");List mylist = listOperations.range("mylist", 0, -1);System.out.println(mylist);listOperations.rightPop("mylist");Long mylist1 = listOperations.size("mylist");System.out.println(mylist1);}/*** 操作集合类型的数据*/@Testpublic void testSet(){//sadd smembers scard sinter sunion sremSetOperations setOperations = redisTemplate.opsForSet();setOperations.add("set1","a","b","c","d");setOperations.add("set2","a","b","x","y");Set set1 = setOperations.members("set1");System.out.println(set1);Long size = setOperations.size("set1");System.out.println(size);Set intersect = setOperations.intersect("set1", "set2");System.out.println(intersect);Set union = setOperations.union("set1", "set2");System.out.println(union);setOperations.remove("set1","a","b");}/*** 操作有序集合类型的数据*/@Testpublic void testZset(){//zadd zrange zincrby zremZSetOperations zSetOperations = redisTemplate.opsForZSet();zSetOperations.add("zset1","a",10);zSetOperations.add("zset1","b",12);zSetOperations.add("zset1","c",9);Set zset1 = zSetOperations.range("zset1", 0, -1);System.out.println(zset1);zSetOperations.incrementScore("zset1","c",10);zSetOperations.remove("zset1","a","b");}/*** 通用命令操作*/@Testpublic void testCommon(){//keys exists type delSet keys = redisTemplate.keys("*");System.out.println(keys);Boolean name = redisTemplate.hasKey("name");Boolean set1 = redisTemplate.delete("set1");for (Object key : keys){DataType type = redisTemplate.type(key);System.out.println(type.name());}redisTemplate.delete("mylist");}
}
