矩阵链乘法问题
矩阵链乘法问题
- 问题介绍
- 穷举法
- 动态规划法
- 步骤1:分析最优解的结构,划分子问题
- 步骤2:递归求解最优解的值
- 步骤3:计算最优代价,自底向上记忆化方式求解𝒎 [𝒊] [𝒋]
- 计算实例
问题介绍
给定𝑛个矩阵 𝐴 1 , 𝐴 2 , … , 𝐴 𝑛 𝐴_1, 𝐴_2, … , 𝐴_𝑛 A1,A2,…,An且 𝐴 𝑖 𝐴_𝑖 Ai的维数为 𝑝 𝑖 − 1 × 𝑝 𝑖 𝑝_{𝑖−1} × 𝑝_𝑖 pi−1×pi (1 ≤ 𝑖 ≤ 𝑛),以一种最小化标量乘法次数的方式进行完全括号化。
①设 𝐴 𝑝 × 𝑞 , 𝐴 𝑞 × 𝑟 𝐴_{𝑝×𝑞}, 𝐴_{𝑞×𝑟} Ap×q,Aq×r两矩阵相乘,这里定义普通乘法次数为𝑝 × 𝑞 × 𝑟;
②加括号多乘法次数的影响:
穷举法
列举出所有可能的计算次序,并计算出每一种计算次序相应需要的数乘次数,从中找出一
种数乘次数最少的计算次序。
用𝑝(𝑛)表示𝑛个矩阵链乘的穷举法计算成本,如果将𝑛个矩阵从第𝑘和第𝑘 + 1处隔开,对两个子序列再分别加扩号,则可以得到下面递归式:

动态规划法
步骤1:分析最优解的结构,划分子问题
矩阵链乘问题满足最优性原理:记𝐴[𝑖:𝑗]为 𝐴 𝑖 𝐴 𝑖 + 1 … 𝐴 𝑗 𝐴_𝑖𝐴_{𝑖+1} … 𝐴_𝑗 AiAi+1…Aj链乘的一个最优括号方法,设𝐴[𝑖:𝑗]的最优次序中含有二个子链𝐴[𝑖: 𝑘]和𝐴[𝑘 + 1:𝑗],则𝐴[𝑖: 𝑘]和𝐴[𝑘 + 1:𝑗]也是最优的。(反证法可得)
矩阵链乘的子问题空间𝑨 𝒊:𝒋 (𝟏 ≤ 𝒊 ≤ 𝒋 ≤ 𝒏):

步骤2:递归求解最优解的值
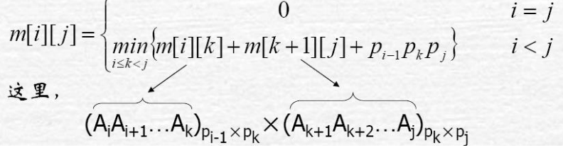
记𝑚[𝑖:𝑗]为计算𝐴[𝑖:𝑗]的最少乘法次数,则原问题的最优值为𝑚 1 [𝑛],那么有:
其中,
① 取得的𝑘为𝐴[𝑖:𝑗]最优次序中的断开位置,并记录到表𝑠[𝑖][𝑗]中,即𝑠[𝑖][𝑗] ← 𝑘;
② 𝑚[𝑖][𝑗]实际是子问题最优解的解值,保存下来避免重复计算。

在递归计算时,许多子问题被重复计算多次。这也是该问题可用动态规划算法求解的又一显著特征。
步骤3:计算最优代价,自底向上记忆化方式求解𝒎 [𝒊] [𝒋]
用动态规划算法解此问题,可依据其递归式以自底向上的方式进行计算。在计算过程中,保存已解决的子问题答案。每个子问题只计算一次,而在后面需要时只要简单查一下,从而避免大量的重复计算,最终得到多项式时间的算法。

void MatrixChain(int *p,int n,int **m,int **s)
{for (int i = 1; i <= n; i++) m[i][i] = 0;for (int r = 2; r <= n; r++)for (int i = 1; i <= n - r+1; i++) {int j=i+r-1;m[i][j] = m[i+1][j]+ p[i-1]*p[i]*p[j];s[i][j] = i;for (int k = i+1; k < j; k++) {int t = m[i][k] + m[k+1][j] + p[i-1]*p[k]*p[j];if (t < m[i][j]) { m[i][j] = t; s[i][j] = k;}}}
}
时间复杂度分析:
①算法matrixChain的主要计算量取决于算法中对𝑟, 𝑖和𝑘的3重循环;
②循环体内的计算量为𝑂(1),而3重循环的总次数为$𝑂(𝑛^3)$;
③因此算法的计算时间上界为$𝑂(𝑛^3)$;
④算法所占用的空间显然为$𝑂(𝑛^2)$。
计算实例
假设有如下矩阵

- 令m[i][i]均为0。
- 以此计算m[i][i+1],m[i][I+2]……
- 绘制表格
过程如下所示:
