数据结构之图结构
数据结构之图结构
- 前言
- 一、图结构的基本概念
- 1.1 图的定义
- 1.2 图的相关术语
- 二、图的存储方式
- 2.1 邻接矩阵
- 2.2 邻接表
- 三、图的遍历算法
- 3.1 深度优先搜索(DFS)
- 3.2 广度优先搜索(BFS)
- 四、图结构应用场景
- 4.1 社交网络分析
- 4.2 路径规划
- 4.3 任务调度
- 4.4 网络通信
- 总结
前言
图结构是处理复杂关系数据的关键工具,从社交网络中的人际关系分析,到交通网络的路径规划,再到搜索引擎的网页链接分析,都发挥着不可或缺的作用。本文我将初步探讨图结构的基本概念、存储方式、遍历算法以及实际应用场景,并结合代码示例,带你初步进入这一重要的数据结构。
一、图结构的基本概念
1.1 图的定义
图(Graph)是由顶点(Vertex)集合 V V V 和边(Edge)集合 E E E 组成的二元组,记为 G = ( V , E ) G=(V, E) G=(V,E)。顶点用于表示数据对象,边则表示顶点之间的关系。根据边是否有方向,图可分为无向图和有向图:
-
无向图:边没有方向,例如表示城市之间的道路连接,道路是双向通行的。在无向图中,若顶点 u u u 和 v v v 之间有边相连,则这条边可表示为 ( u , v ) (u, v) (u,v),且 ( u , v ) (u, v) (u,v) 与 ( v , u ) (v, u) (v,u) 表示同一条边。

-
有向图:边具有方向,比如社交网络中用户之间的关注关系,关注是单向的。在有向图中,从顶点 u u u 到顶点 v v v 的边表示为 ⟨ u , v ⟩ \langle u, v \rangle ⟨u,v⟩,它与 ⟨ v , u ⟩ \langle v, u \rangle ⟨v,u⟩ 是不同的边。
-

1.2 图的相关术语
-
顶点的度:在无向图中,顶点的度是指与该顶点相连的边的数量;在有向图中,顶点的度分为入度和出度,入度是指以该顶点为终点的边的数量,出度是指以该顶点为起点的边的数量。
-
边的权值:有些图的边会附带一个数值,称为权值,用于表示顶点之间关系的某种度量,如距离、成本等。这样的图称为带权图。
-
路径:由一系列顶点和连接这些顶点的边组成的序列。如果路径的起点和终点相同,则称为回路或环。
-
连通图:在无向图中,如果任意两个顶点之间都存在路径,则称该图为连通图;在有向图中,如果对于任意两个顶点 u u u 和 v v v,都存在从 u u u 到 v v v 和从 v v v 到 u u u 的路径,则称该图为强连通图。
二、图的存储方式
2.1 邻接矩阵
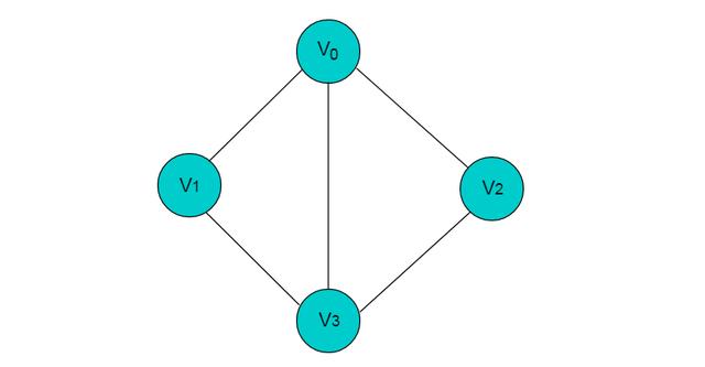
邻接矩阵是一种用二维数组来表示图的存储方式。对于具有 n n n 个顶点的图,其邻接矩阵是一个 n × n n \times n n×n 的矩阵 A A A。在无向图中,如果顶点 i i i 和 j j j 之间有边相连,则 A [ i ] [ j ] = A [ j ] [ i ] = 1 A[i][j] = A[j][i] = 1 A[i][j]=A[j][i]=1;否则 A [ i ] [ j ] = A [ j ] [ i ] = 0 A[i][j] = A[j][i] = 0 A[i][j]=A[j][i]=0。在带权图中,若顶点 i i i 和 j j j 之间有边相连,且边的权值为 w w w,则 A [ i ] [ j ] = A [ j ] [ i ] = w A[i][j] = A[j][i] = w A[i][j]=A[j][i]=w;若没有边相连,通常用一个特殊值(如无穷大)表示。
# 无向图的邻接矩阵示例
graph = [[0, 1, 1, 0],[1, 0, 0, 1],[1, 0, 0, 1],[0, 1, 1, 0]
]
邻接矩阵的优点是实现简单,便于判断两个顶点之间是否有边相连,并且可以快速获取顶点的度;缺点是空间复杂度较高,为 O ( n 2 ) O(n^2) O(n2),对于边数较少的稀疏图,会造成大量的空间浪费。
2.2 邻接表
邻接表是一种链式存储结构,它为图中的每个顶点建立一个单链表,链表中的节点表示与该顶点相邻的顶点及其相关信息(如边的权值)。在无向图中,每个顶点的链表中存储其所有相邻顶点;在有向图中,每个顶点的链表存储以该顶点为起点的所有边的终点顶点。
# 无向图的邻接表示例
graph = {0: [1, 2],1: [0, 3],2: [0, 3],3: [1, 2]
}
邻接表的优点是空间效率高,适用于存储稀疏图,空间复杂度为 O ( n + e ) O(n + e) O(n+e)( n n n 为顶点数, e e e 为边数);缺点是判断两个顶点之间是否有边相连需要遍历链表,时间复杂度较高,为 O ( d ) O(d) O(d)( d d d 为顶点的度)。
三、图的遍历算法
3.1 深度优先搜索(DFS)
深度优先搜索类似于树的先序遍历,它从图的某个顶点出发,沿着一条路径尽可能深地访问顶点,直到无法继续,然后回溯到上一个顶点,继续探索其他路径,直到访问完所有可达顶点。DFS 可以使用递归或栈来实现。
# 使用递归实现无向图的DFS
def dfs(graph, vertex, visited):visited.add(vertex)print(vertex)for neighbor in graph[vertex]:if neighbor not in visited:dfs(graph, neighbor, visited)graph = {0: [1, 2],1: [0, 3],2: [0, 3],3: [1, 2]
}
visited = set()
dfs(graph, 0, visited)
DFS 的时间复杂度在邻接矩阵表示下为 O ( n 2 ) O(n^2) O(n2),在邻接表表示下为 O ( n + e ) O(n + e) O(n+e)。它常用于寻找图中的连通分量、拓扑排序等场景。
3.2 广度优先搜索(BFS)
广度优先搜索类似于树的层序遍历,它从图的某个顶点出发,先访问该顶点的所有相邻顶点,然后再依次访问这些相邻顶点的未访问过的相邻顶点,以此类推,直到访问完所有可达顶点。BFS 通常使用队列来实现。
# 无向图的BFS实现
from collections import dequedef bfs(graph, start):visited = set()queue = deque([start])visited.add(start)while queue:vertex = queue.popleft()print(vertex)for neighbor in graph[vertex]:if neighbor not in visited:queue.append(neighbor)visited.add(neighbor)graph = {0: [1, 2],1: [0, 3],2: [0, 3],3: [1, 2]
}
bfs(graph, 0)
BFS 的时间复杂度同样在邻接矩阵表示下为 O ( n 2 ) O(n^2) O(n2),在邻接表表示下为 O ( n + e ) O(n + e) O(n+e)。它常用于寻找最短路径(在无权图中)、最小生成树等问题。
四、图结构应用场景
4.1 社交网络分析
在社交网络中,用户可以看作图的顶点,用户之间的关注、好友关系等可以看作边。通过图结构可以分析用户的社交圈子、影响力,例如找出某个用户的所有好友及其好友的好友,或者计算用户之间的最短社交距离。
4.2 路径规划
在交通网络中,城市或地点是顶点,道路是边,边的权值可以是距离、通行时间等。利用图的最短路径算法(如迪杰斯特拉算法、弗洛伊德算法),可以实现导航系统中的路径规划功能,帮助用户找到从起点到终点的最优路线。
4.3 任务调度
在项目管理中,任务可以看作顶点,任务之间的依赖关系看作边。通过图的拓扑排序算法,可以确定任务的执行顺序,确保在执行某个任务之前,其依赖的任务已经完成,从而合理安排项目进度。
4.4 网络通信
在计算机网络中,节点和连接可以用图来表示。通过图的分析可以优化网络拓扑结构,检测网络中的故障节点或链路,提高网络的可靠性和效率。
总结
图结构作为一种强大的数据结构,能够有效表示和处理复杂的关系型数据。从基本概念到存储方式,从遍历算法到实际应用,图结构涵盖了丰富的知识和广泛的应用场景。掌握图结构的相关知识,不仅有助解决算法中的复杂问题,还能在实际软件开发、数据分析等领域发挥重要作用。本文只是初始图结构,最小生成树最短路径等问题篇幅有限,感兴趣的请进我主页算法专题查看。
That’s all, thanks for reading!
觉得有用就点个赞、收进收藏夹吧!关注我,获取更多干货~
