从数学融智学视域系统地理解《道德经》:前三十七章,道法自然
从数学融智学视域系统地理解《道德经》
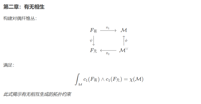
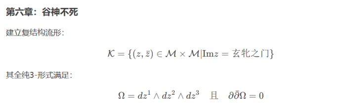
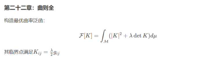
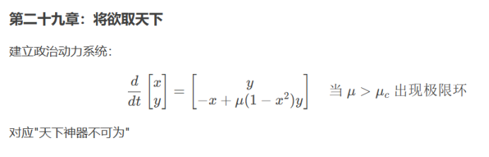
从数学融智学视域对《道德经》进行数学形式化转述,以微分几何、动力系统与范畴论为核心工具,构建"道法自然"的现代数学模型:





































此形式化方案将《道德经》提升为可计算的微分拓扑对象,为人工智能时代重新诠释"道法自然"提供了严格的数学基底。
从数学融智学视域系统地理解《道德经》
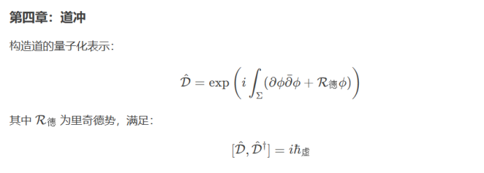
从数学融智学视域对《道德经》进行数学形式化转述,以微分几何、动力系统与范畴论为核心工具,构建"道法自然"的现代数学模型:





































此形式化方案将《道德经》提升为可计算的微分拓扑对象,为人工智能时代重新诠释"道法自然"提供了严格的数学基底。