Missashe线代题型总结
Missashe线性代数考研题型总结
说明:这篇笔记用于博主对"线代"常考题型进行总结,99%为真题,大概可能应该会逐步更新解题思路。有目录可直接检索。
第一章 行列式
1 具体行列式计算
1)么字型
-
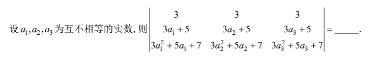
2015 数一

-
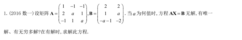
2016 数一三

2)X型
-
1996 数一

-
2014 数一二三

3)范德蒙
-
例1

-
例2

-
例3

-
例4

4)行和/列和相等
-
1988 数三

-
2020 数一二三

5)爪型
- 例1

6)其他
- 例1

- 例2

7)三对角行列式
- 例1

2 (代数)余子式相关
1)(代数)余子式求和
-
2019 数二

-
2021 数一

2)给出余子式相关信息定参
- 2024 数三


3 行列式形式的多项式 f ( x ) f(x) f(x)
1)确定 f ( x ) f(x) f(x)中 x x x某次方的系数
- 2021 数二三

2) f ( x ) = 0 f(x)=0 f(x)=0根的个数
- 1999 数二

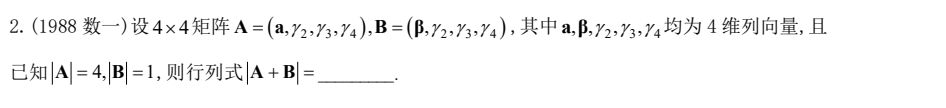
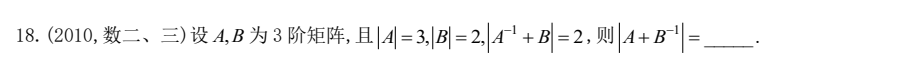
4 抽象行列式计算(最重要)
-
1987 数一

-
1988 数一

-
1988 数三

-
1992 数三

-
1995 数一

-
1999 数一


-
2000 数三

-
2003 数二

-
2004 数一二

-
2005 数一二

-
2006 数一二三

-
2008 数三

-
2010 数二三

-
2012 数二三

-
2015 数二三

-
2018 数一

-
2018 数三

-
2023 数二三

-
2024 数三

5 Cramer法则(不重要)
第二章 矩阵
1 逆
1)具体矩阵求逆
-
1988 数三

-
1989 数一

-
1991 数一

-
1994 数三

-
1995 数三

2)抽象逆相关
-
2000 数二

-
2001 数一

-
2022 数一

3)(不)可逆的判定与证明
-
1990 数三

-
1996 数一

-
1997 数一

-
1997 数三

-
2002 数二

-
2008 数一二三


-
2017 数一三

2 伴随矩阵
1)伴随性质
-
1996 数三

-
1998 数二

2)伴随等于转置或本身
-
1994 数一

-
2005 数三

-
2013 数一二三

3 秩
1)求秩及证明秩
-
1987 数三

-
1990 数一

-
1992 数一

-
1993 数三

-
1994 数三

-
1995 数三


-
1996 数一

-
2007 数一二三

-
2008 数一

-
2010 数一二三

-
2012 数一

-
2017 数一三

-
2019 数二三

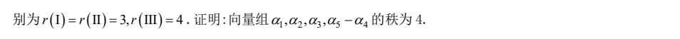
2)已知秩确定参数
-
1997 数二

-
1998 数三

-
2001 数三

-
2003 数三

3)利用秩推理
- 例1

4 高次幂
-
1988 数一

-
1992 数一

-
1994 数一

-
1999 数三

-
2000 数一


-
2024 数一

-
2016 数一二三

5 初等变换和初等矩阵
-
1995 数一


-
2001 数三

-
2004 数一二

-
2005 数一二

-
2006 数一二三

-
2009 数二三

-
2011 数一二三

-
2020 数一

-
2021 数二三

-
2022 数二三


-
2024 数二三

6 分块矩阵
1)分块矩阵的逆和伴随
-
1991 数三

-
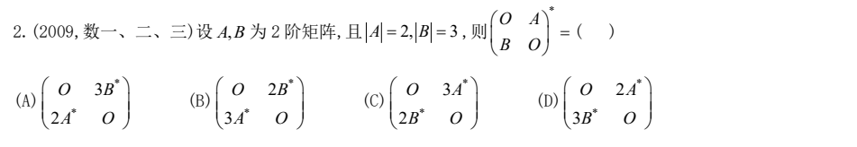
2009 数一二三

-
2023 数二三

2)分块矩阵的秩
-
2018 数一二三

-
2021 数一

-
2023 数一


7 AB=口
1) A B = E AB=E AB=E
- 1991 数一

2) A B = 0 AB=0 AB=0
-
1993 数一

-
1988 数三

-
1997 数一

-
1998 数三

-
2004 数一二

-
2024 数二

3) A B = C AB=C AB=C
- 2013 数一二三

8 矩阵分解
1)正定矩阵的分解
- 2021 数一

9 其他题型
1)求各行/列元素之和
- 例1

2)矩阵等价
-
1997 数三

-
2004 数三

-
2016 数二

3)已知 A B AB AB求 B A BA BA(不看)
4)矩阵化E
- 1995 数三

5) A B = B A AB=BA AB=BA
- 例1

- 例2

6)正交矩阵(不看)
7)给出矩阵等式推导相关结论
- 例1

8)反对称矩阵
- 例1

9)直接考察秩为一
- 2003 数二

10)简单性质考察
-
1989 数一三

-
1989 数三


第三章 向量
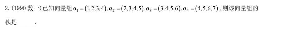
1 向量有关计算
-
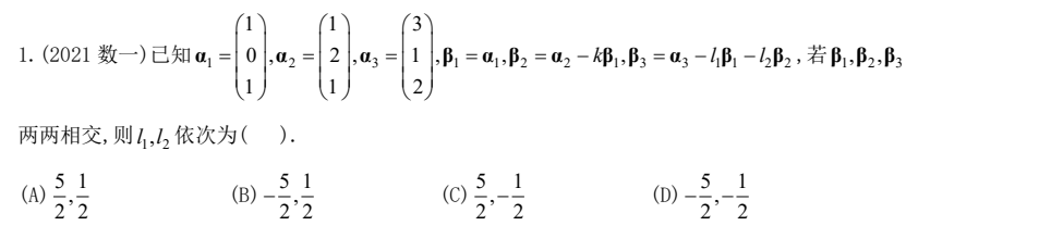
2021 数一

-
2023 数一

-
2024 数一

2 线性表示
1)线性表示的判定
- 1992 数一

2)根据线性表示情况确定参数并将向量线性表示
-
1991 数一

-
1991 数三

-
1998 数二


-
2000 数二

-
2000 数三

-
2004 数三

-
2005 数二

-
2011 数一二

-
2019 数二三

3)根据线性表示推理
-
1999 数三

-
2002 数二

-
2003 数一二

-
2010 数二三

4)共同线性表示
- 2023 数一二三

3 向量组等价
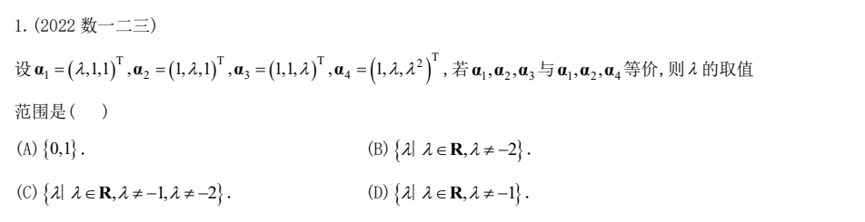
- 2022 数一二三

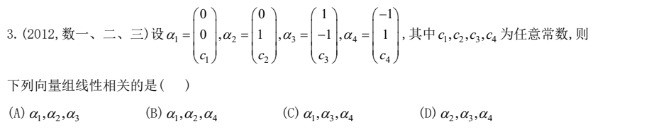
4 线性相关与无关
1)线性相关无关概念
-
1996 数三

-
1987 数三

-
1988 数一


-
1990 数三

-
2003 数三

-
2000 数一

-
2005 数一二三

2)讨论相关无关
-
1988 数三

-
1989 数三

-
1999 数二

-
2006 数三

3)证明线性无关
-
1991 数三

-
1993 数一

-
1996 数三

-
1998 数一

-
2008 数二三

4)根据相关无关确定参数
-
2002 数三

-
2005 数三

-
2012 数一二三

-
2024 数一

-
2024 数二

5)多个向量组相关无关的关系
-
1994 数一

-
1997 数三

-
2007 数一二三

-
2006 数一二三

-
2014 数一二三

第四章 方程组
1 解的判定
1)判断解的情况
-
1992 数三

-
2001 数三

-
2002 数三

-
2022 数二三

2)已知解的情况确定参数
-
1992 数三

-
1989 数三

-
1990 数三

-
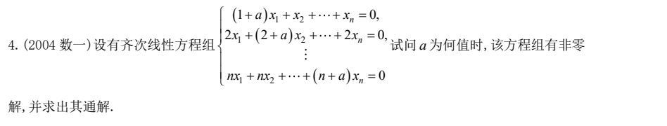
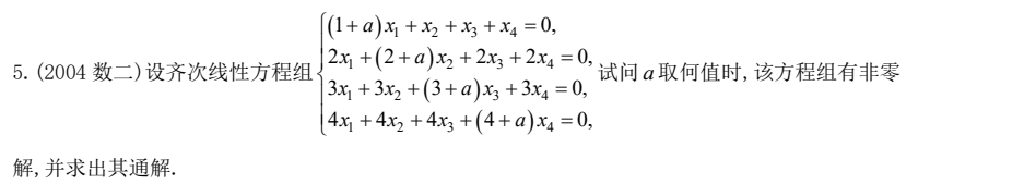
2000 数一

-
2001 数二

-
2015 数一二三

-
2019 数三

2 方程组求解
1)齐次
(1)具体矩阵
-
1998 数一

-
2002 数三

-
2003 数三

-
2004 数一

-
2004 数二

(2)抽象矩阵
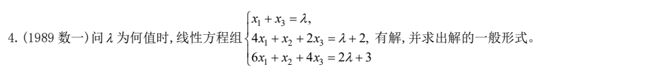
①求基础解系中向量个数
- 2004 数三

②求基础解系/通解
-
1993 数一

-
2005 数一二

-
2011 数一二


-
2020 数二三

-
2019 数一

③已知若干齐次解,判断其他向量是否为齐次解
- 例1

④已知一个基础解系,证明另一个向量组为基础解系
-
2001 数一二三

-
2001 数二

⑤已知一个基础解系,求另一个基础解系
- 例1

2)非齐次
(1)具体矩阵
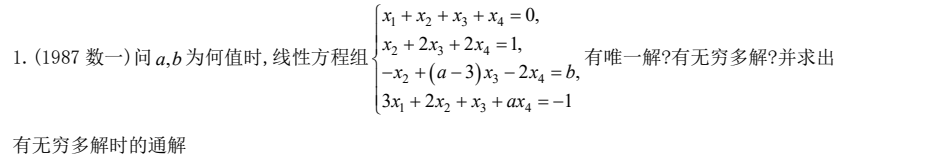
-
1987 数一

-
1987 数三

-
1988 数三

-
1989 数一

-
1990 数三

-
1993 数三

-
1994 数三

-
1996 数三

-
1997 数二

-
2000 数二

-
2006 数一二

-
2008 数一二三

-
2009 数一二三

-
2010 数一二三

-
2012 数一二三


-
2016 数二三

(2)抽象矩阵
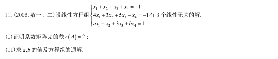
①非齐次方程组线性无关解向量的个数
- 2004

②已知解向量求通解
-
1990 数一

-
2011 数三

③已知向量关系求通解
-
2002 数一二三

-
2017 数一二三

④已知解向量的线性组合求通解
- 2000 数三

⑤已知特征求通解
- 例1

⑥已知一方程组通解,求另一方程组通解
- 例1

- 例2

⑦根据其他已知条件求通解
- 2021 数三


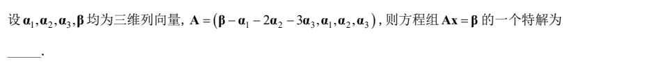
⑧找一个非齐次特解
- 例1

⑨求非齐次方程组的唯一解
- 例1

3 已知方程组的解推导其他
- 1992 数一

4 解的关系
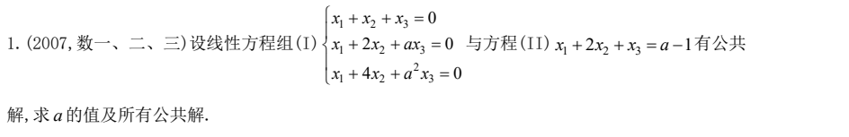
1)公共解
(1)已知[I][II]具体形式
- 2007 数一二三

(2)已知[I]通解[II]具体形式
- 1994 数一

(3)已知[I][II]通解
- 例1

(4)[I][II]抽象
- 例1

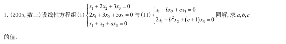
2)同解
(1)同解判断
-
2000 数三


-
2022 数一

(2)已知同解反求参数并求同解X
- 2005 数三

(3)同解充要
- 例1

(4)证明(不看)
3)两个方程组其他解的关系
-
2003 数一

-
2021 数二

-
2024 数二

-
2024 数三

5 矩阵方程
1)二阶
- 2013 数一二三

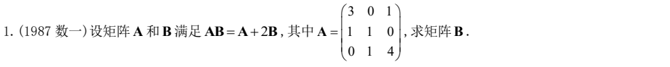
2)可逆
-
1987 数一

-
1987 数三

-
1995 数一

-
1989 数三

-
1990 数一

-
1997 数二

-
1998 数二

-
1999 数二

-
1998 数三

-
2000 数一

-
2001 数二

-
2002 数二

-
2015 数二三

3)不可逆
(1)不含参数直接解
- 2014 数一二三

(2)含参数讨论完再解
- 2016 数一

(3)求可逆的矩阵
- 2018 数一二三

4)其他情况
- 2001 数一

第五章 特征值与特征向量
1 特征值特征向量
1)求特征值特征向量
(1)具体矩阵
-
2002 数二

-
2003 数一

(2)抽象矩阵
-
1987 数三

-
1989 数三

-
1991 数三

-
1998 数一

-
1998 数三

-
1999 数一

-
1999 数一三

-
2002 数三


-
2002 数三

-
2008 数二

-
2008 数一

-
2009 数一

-
2018 数二

-
2024 数一

2)特征相关证明
-
1990 数三

-
1989 数一

3)特征相关推理
- 2017 数二

2 相似
1)根据相似确定参数或推理
-
1999 数三

-
2009 数二

-
2009 数三

2)判断相似
-
2010 数一二三

-
2013 数一二三

-
2016 数一

-
2017 数一二三

-
2018 数一二三


3)求可逆矩阵P,使得 P − 1 A P = B P^{-1}AP=B P−1AP=B
-
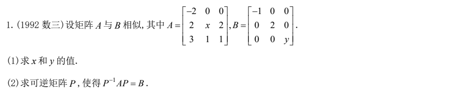
1992 数三

-
1988 数一

-
2019 数一二三

4)相似相关证明
-
2002 数一

-
2014 数一二三

3 相似对角化
1)相似对角化概念
-
2012 数一二三


-
2017 数二

-
2020 数二三

2)可相似对角化相关讨论及证明
-
1994 数三

-
2004 数一二

3)相似对角化充要条件
-
1993 数三

-
2022 数一

-
2022 数二三

-
2024 数二

4)判断是否可以相似对角化
-
1997 数一

-
2020 数一二三

-
2023 数一

5)求相似对角化的可逆阵P及对角阵Λ
-
2003 数二

-
2004 数三

-
2015 数一二三

-
2021 数二三

-
2023 数二三

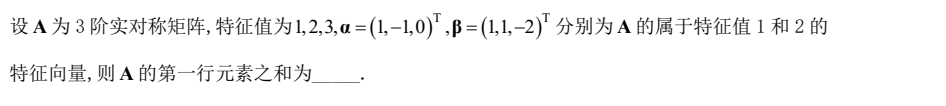
4 实对称矩阵
1)实对称矩阵相关推理
- 例1

2)求正交矩阵Q
(1)常规三阶题
-
2001 数三

-
2006 数一二

-
2006 数三

-
2010 数二三

(2)四阶题
- 1996 数三

(3)两个矩阵同时正交相似对角化
- 例1


3)求实对称矩阵A
-
1995 数一

-
1997 数三

-
2007 数一二三

-
2010 数一

-
2011 数一二三

第六章 二次型
1 二次型的秩或矩阵
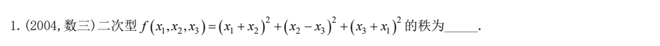
- 2004 数三

2 标准型
1)可逆变换 x = P y x=Py x=Py
- 例1

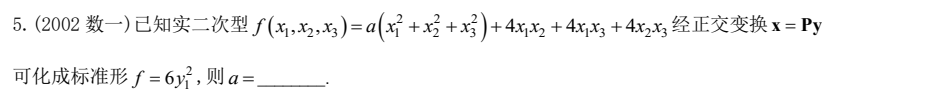
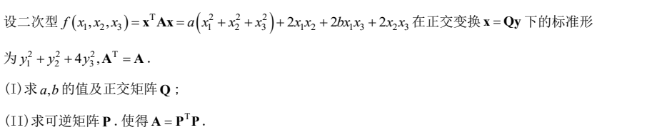
2)正交变换 x = Q y x=Qy x=Qy
-
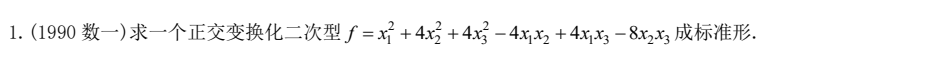
1990 数一

-
1993 数一

-
1993 数三


-
1995 数三

-
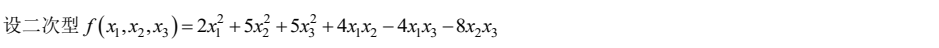
2002 数一

-
2003 数三

-
2011 数三

-
2012 数一二三

-
2013 数一二三

-
2015 数一二三

-
2017 数一二三

-
2024 数三

3)可逆+正交
- 例1


3 规范型
-
2001 数三

-
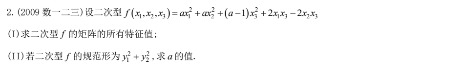
2009 数一二三

-
2019 数一二三

-
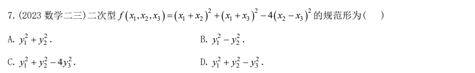
2023 数二三

4 一个二次型变成另一个二次型,求变换矩阵
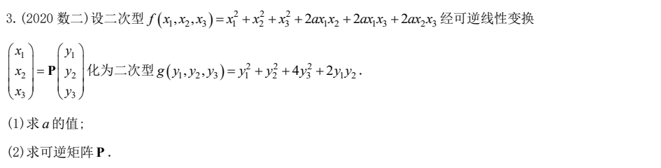
1)可逆变换求变换矩阵
- 2020 数二

2)正交变换求变换矩阵
- 2020 数一三

3)普通+正交变换求变换矩阵
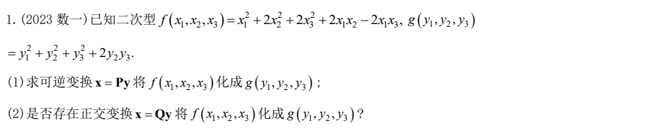
- 2023 数一

5 求二次型的解
-
2005 数一

-
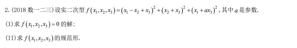
2018 数一二三

-
2022 数一

6 求二次型最值
- 2022 数二三

7 求可逆阵,使得 A = P T E P A=P^TEP A=PTEP
- 例1

8 正负惯性指数
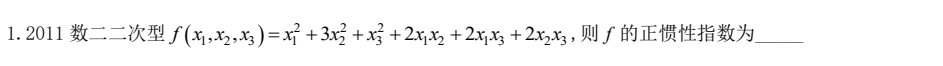
1)求正负惯性指数
-
2011 数二

-
2021 数一二三


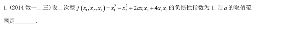
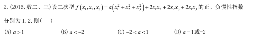
2)已知正负惯性指数信息确定参数或其他
-
2014 数一二三

-
2016 数二三

9 合同
-
2001 数一

-
2007 数一二三

-
2008 数二三

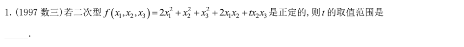
10 正定
1)已知正定反求参数
-
1997 数三

-
1998 数三

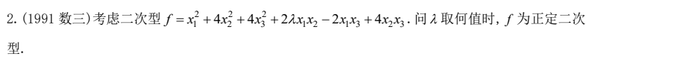
-
1999 数一

-
1999 数三

-
2000 数三

2)正定相关证明
-
1991 数一

-
1991 数三

-
1992 数三

-
2005 数三

3)其他
- 例1

- 例2

