算法打卡第五天
15.删除节点的倒数第N个节点
(力扣19题)
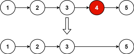
给你一个链表,删除链表的倒数第 n 个结点,并且返回链表的头结点。
示例 1:

输入:head = [1,2,3,4,5], n = 2
输出:[1,2,3,5]
示例 2:
输入:head = [1], n = 1
输出:[]
示例 3:
输入:head = [1,2], n = 1
输出:[1]
#include <iostream>
using namespace std;struct ListNode
{int val;ListNode *next;ListNode() : val(0), next(nullptr) {}ListNode(int x) : val(x), next(nullptr) {}ListNode(int x, ListNode *next) : val(x), next(next) {}
};class Solution
{
public:ListNode *removeNthFromEnd(ListNode *head, int n){ListNode *dummuHead = new ListNode(0);dummuHead->next = head;// 快慢指针ListNode *fast = dummuHead;ListNode *slow = dummuHead;// 快指针移动while (n-- && fast != nullptr){fast = fast->next;}// 快指针在移动一步,为了慢指针指针删除的前一个fast = fast->next;// 快慢指针同时移动while (fast){slow = slow->next;fast = fast->next;}// 找到删除节点的前一个节点 删除节点ListNode *tmp = slow->next;slow->next = slow->next->next;delete tmp;tmp = nullptr;// 返回头节点ListNode *result = dummuHead->next;delete dummuHead;dummuHead = nullptr;return result; }
};
返回节点指针是安全的,因为指针指向节点,是new出来的在堆区上的,是程序员控制生命周期,不会随着局部函数生命周期结束而接受,所以可以返回
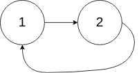
16.环形链表II
(力扣142题)
给定一个链表的头节点 head ,返回链表开始入环的第一个节点。 如果链表无环,则返回 null。
如果链表中有某个节点,可以通过连续跟踪 next 指针再次到达,则链表中存在环。 为了表示给定链表中的环,评测系统内部使用整数 pos 来表示链表尾连接到链表中的位置(索引从 0 开始)。如果 pos 是 -1,则在该链表中没有环。注意:pos 不作为参数进行传递,仅仅是为了标识链表的实际情况。
不允许修改 链表。
示例 1:

输入:head = [3,2,0,-4], pos = 1
输出:返回索引为 1 的链表节点
解释:链表中有一个环,其尾部连接到第二个节点。
示例 2:

输入:head = [1,2], pos = 0
输出:返回索引为 0 的链表节点
解释:链表中有一个环,其尾部连接到第一个节点。
示例 3:

输入:head = [1], pos = -1
输出:返回 null
解释:链表中没有环。
解题步骤:
- 判断链表是否有环:
- 使用快慢指针法。定义两个指针
fast和slow,初始时都指向链表的头节点head。 - 在循环中,
slow指针每次向前移动一步,fast指针每次向前移动两步。 - 如果链表中存在环,
fast指针最终会追上slow指针,即两者相遇。 - 如果
fast指针先到达链表末尾(即fast或fast->next为NULL),说明链表中不存在环,直接返回NULL。
- 使用快慢指针法。定义两个指针
- 找到环的入口:
- 当快慢指针相遇时,说明链表中存在环。
- 此时,定义两个新的指针
index1和index2,index1从链表头节点开始,index2从相遇点开始。 - 每次将
index1和index2各向前移动一步,直到它们相遇。相遇点即为环的入口。 - 返回环的入口节点。
-
解题思路
-
问题描述:给定一个单链表,判断链表中是否存在环,并找到环的入口节点。如果链表中不存在环,则返回
NULL。 -
解题步骤:
-
判断链表是否有环:
- 使用快慢指针法。定义两个指针
fast和slow,初始时都指向链表的头节点head。 - 在循环中,
slow指针每次向前移动一步,fast指针每次向前移动两步。 - 如果链表中存在环,
fast指针最终会追上slow指针,即两者相遇。 - 如果
fast指针先到达链表末尾(即fast或fast->next为NULL),说明链表中不存在环,直接返回NULL。
- 使用快慢指针法。定义两个指针
-
找到环的入口:
- 当快慢指针相遇时,说明链表中存在环。
- 此时,定义两个新的指针
index1和index2,index1从链表头节点开始,index2从相遇点开始。 - 每次将
index1和index2各向前移动一步,直到它们相遇。相遇点即为环的入口。 - 返回环的入口节点。
-
数学原理:
-
假设链表的头节点到环的入口的距离为
a,环的长度为b。 -
当快慢指针相遇时,
slow指针走了a + x步,fast指针走了a + x + nb步(n为某个正整数)。 -
因为
fast指针的速度是slow指针的两倍,所以有:2(a+x)=a+x+nb
化简得:
a+x=nb
这意味着从相遇点再走
a步,就会回到环的入口。- 因此,从链表头节点和相遇点各定义一个指针,每次各走一步,它们会在环的入口相遇。
#include <iostream>
using namespace std;// Definition for singly-linked list.
struct ListNode
{int val;ListNode *next;ListNode(int x) : val(x), next(NULL) {}
};class Solution
{
public:// 使用双指针法ListNode *detectCycle(ListNode *head){// 定义快慢指针ListNode *fast = head;ListNode *slow = head;// 判断fast->next因为是两步两步跳while (fast && fast->next){// 指针移动slow = slow->next;fast = fast->next->next;// 快慢指针相遇 证明有环if (slow == fast){// 定义两个指针,找快慢指针相遇也就是环的入口ListNode *index1 = head;ListNode *index2 = fast;while (index1 != index2){index1 = index1->next;index2 = index2->next;}return index1;//返回环的入口}}return NULL;//没有环}
};
17.反转链表
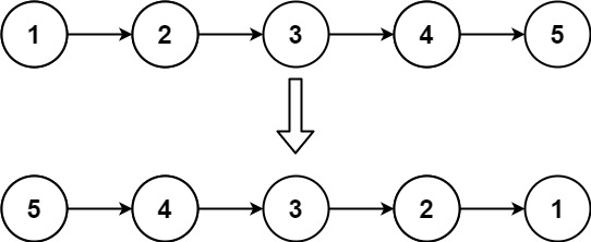
(力扣206题)
给你单链表的头节点 head ,请你反转链表,并返回反转后的链表。
示例 1:

输入:head = [1,2,3,4,5]
输出:[5,4,3,2,1]
示例 2:

输入:head = [1,2]
输出:[2,1]
示例 3:
输入:head = []
输出:[]
提示:
- 链表中节点的数目范围是
[0, 5000] -5000 <= Node.val <= 5000
**进阶:**链表可以选用迭代或递归方式完成反转。你能否用两种方法解决这道题?
解题思路:使用虚拟头节点简化操作,遍历链表,每次交换相邻两个节点。通过临时节点保存后续链表,调整指针完成交换,然后移动指针继续处理下一对节点。最后删除虚拟头节点,返回新头节点。
#include <iostream>
using namespace std;
// 给你单链表的头节点 head ,请你反转链表,并返回反转后的链表。
struct ListNode
{int val;ListNode *next;ListNode() : val(0), next(nullptr) {}ListNode(int x) : val(x), next(nullptr) {}ListNode(int x, ListNode *next) : val(x), next(next) {}
};class Solution
{
public:ListNode *swapPairs(ListNode *head){// 设置虚拟头节点ListNode *dummyHead = new ListNode(0);dummyHead->next = head;ListNode *cur = dummyHead;while (cur->next && cur->next->next){// 临时节点ListNode *tmp = cur->next;ListNode *tmp1 = cur->next->next->next;// 交换节点cur->next = cur->next->next;cur->next->next = tmp;cur->next->next->next = tmp1;// cur移动两位(因为前两位交换完了),下一论交换cur = cur->next->next;}// 返回虚拟头节点的下一个真正的头节点ListNode *result = dummyHead->next;delete dummyHead;return result;}
};
18.两两交换链表中的节点
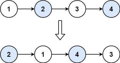
(力扣24题)
给你一个链表,两两交换其中相邻的节点,并返回交换后链表的头节点。你必须在不修改节点内部的值的情况下完成本题(即,只能进行节点交换)。
示例 1:

输入:head = [1,2,3,4]
输出:[2,1,4,3]
示例 2:
输入:head = []
输出:[]
示例 3:
输入:head = [1]
输出:[1]
解题思路:通过设置虚拟头节点简化操作,使用三个指针(cur、tmp、tmp1)来完成节点交换。在循环中,每次交换相邻的两个节点,调整指针顺序,然后将cur指针移动到下一对需要交换的节点的前一个位置。循环结束后,删除虚拟头节点,返回新链表的头节点。
#include <iostream>
using namespace std;
/*
给你一个链表,两两交换其中相邻的节点,并返回交换后链表的头节点。
你必须在不修改节点内部的值的情况下完成本题(即,只能进行节点交换)。*/
struct ListNode
{int val;ListNode *next;ListNode() : val(0), next(nullptr) {}ListNode(int x) : val(x), next(nullptr) {}ListNode(int x, ListNode *next) : val(x), next(next) {}
};class Solution
{
public:ListNode *swapPairs(ListNode *head){// 设置虚拟头节点ListNode *dummyHead = new ListNode(0);dummyHead->next = head;ListNode *cur = dummyHead;while (cur->next && cur->next->next){// 临时节点ListNode *tmp = cur->next;ListNode *tmp1 = cur->next->next->next;// 交换节点cur->next = cur->next->next;cur->next->next = tmp;cur->next->next->next = tmp1;// cur移动两位(因为前两位交换完了),下一论交换cur = cur->next->next;}// 返回虚拟头节点的下一个真正的头节点ListNode *result = dummyHead->next;delete dummyHead;return result;}
};
