RL电路的响应
学完RC电路的响应,又过了一段时间了,想必很多人都忘了RC电路响应的一些内容。我们这次学习RL电路的响应,以此同时,其实也是带大家一起回忆一些之前所学的RC电路的响应的一些知识点。所以,这次的学习,其实也是一次复习哟!#电工基础#
我们先来回顾一些概念。
(1)零输入响应,是指动态电路中无外施激励电源,输入信号为零,仅由动态元件(电感元件或电容元件)的初始储能所产生的响应。
(2)零状态响应,是指电路在零初始状态下(即储能元件的初始能量为零),仅由外加电源激励所产生的电路响应。
(3)全响应,是指当一个非零初始状态的一阶电路(只有一个动态元件)受到外电源激励时,电路的响应。
动态元件有电容元件和电感元件,我们之前已经学过这两种元件的特性,结合RC电路的响应,举一反三,其实我们可以大概知道RL电路的响应,因为它们都是类似的。

上图43-1所示的RL电路,在开关K动作之前,电感与电源相连,电压与电流已恒定不变,所以电感相当于短路,其两端无压降,电感中有电流I0。在t=0时开关由1合到2,具有初始电流I0的电感L与电阻R相连,构成一个回路。此时电感元件的响应就是RL电路的零输入响应。
可能有的人会疑问,这不是有个电源的存在吗?怎么就是零输入响应了?所以在这里说明一下,RL电路的零输入响应,是指电感元件L初始状态不为零,具有一定的电流流过,例如上图43-1中的I0,当开关K动作,电感元件L就与电源断开连接,与电阻R串联,此时对于电感元件L而言,它就是零输入状态。
如上图43-1右边所示,开关K动作后,电感电流i不能突变,包括大小和方向,所以此时电感对电阻R释放能量,电压方向下正上负。而电阻R消耗能量,电压方向亦为下正上负。
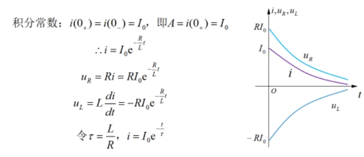
类似于RC电路的零输入响应,根据图43-1右边的电路图,列出RL电路零输入响应的KVL方程,如下图43-2所示,和RC电路一样,式(1)也是一个一阶齐次微分方程。令方程的通解i =Aept,得到电流的表达式(2)。

根据电感电流的初始值求解积分常数A,如下图43-3所示。微分方程的求解过程大家可以不必理会,只要知道方程建立的过程即可。依次求出回路中的电压和电流,并画出它们的曲线。电感的电压除了根据求导公式求得外,还可以直接根据KVL得出。

类似于RC电路,在RL电路中,令τ=L/R,称为RL电路的时间常数,则电压、电流表达式中的指数可以用τ表示。
根据表达式或曲线,可以看到,电压、电流都是按同样的指数规律从初始值衰减的,它们衰减的快慢由时间常数L/R决定。
在《电工基础》课程中,曹老师花了较多的时间用日光灯的实例说明了电感产生高压的原理,还有RL直接从直流电源断开瞬间产生高压的弊端与解决措施等,这里我也不展开讲解,大家感兴趣的话可以去看一下课程,那些实例对大家理解RL电路的响应有很大的帮助。
另外,RL电路的零输入响应,以至于接下来要讲的其余两种响应,都可以用我们上一次所学的三要素法求解,曹老师在《电工基础》中,讲解RL电路的零输入响应时就是根据三要素法,这个就更为简单快捷。
我们继续学习RL电路的零状态响应,就利用三要素法来分析。下图43-4为RL电路,开关S在t=0时闭合,电压源的电压施加在电阻R和电感L上。开关闭合时iL(0 )=iL(0-)=0,电路的响应为零输入响应。

根据三要素法,首先要确定三个要素。在RL电路中需要确定的就是电感电流iL的变化规律,确定电感电流的初始值、稳态值和时间常数τ。
由于是零状态响应,电感电流不能突变,可得电流初始值iL(0 )=iL(0-)=0;当电路达到稳定状态时,电感电流不再变化,此时电感元件相当于短路,即iL(∞)=US/R;时间常数τ=L/R,代入图43-4的公式,可以得到电感电流和电压的表达式如图43-5所示。

简单来说,就是开关闭合,电感电流iL不能突变,回路电流为零,电阻上电压uR为零,电源电压全部施加在电感元件上,随着电感电流iL的增大,电感两端的电压uL下降,电阻的分压使得其电压uR增大,最后电路达到稳定状态,电感电流iL不再变化,电感两端的电压uL为零,电源电压全部施加在电阻上,uR=US。
对比RL电路的零输入响应和零状态响应的两种分析方法,可以看到,三要素法比经典法方便很多,但是要懂得三要素法,就一定要理解经典法。我们继续学习RL电路的全响应,依然用三要素法进行分析。
下图43-6的RL电路中,电感电流初始值iL不为零,开关S在t=0时闭合,电阻R2与R3并联,此时流过电感的电流将会发生改变。先后求出三个要素,开关闭合前,电流与电压恒定不变,电感元件元件相当于短路,电流可根据欧姆定律求出;开关闭合后且电路达到新的稳态时,电感依然相当于短路,此时新的电流还是根据欧姆定律求出;时间常数τ的求解,把电压源作短路处理,求出与电感元件相串联的等效电阻,最后代入公式即可得到结果,如图43-6所示。

RL电路的全响应,电感电流是增大还是减小,要视换路前后电路的参数而定,特别是等效电阻的变化,RC电路的全响应也是相同的道理。
对比一下RL电路和RC电路,电路在稳定状态时,电感相当于短路,电容相当于开路,这个有点类似我们之前在学叠加定理时对响应电源的处理,当然,也只是有点类似而言。
