焊接结构动力疲劳计算
1、引言
动力载荷疲劳
- 所有的疲劳分析都要确定应力/应变循环
- 幸运的是这并不一定要求是瞬态动力学分析
- 疲劳主要分析类型
-- 静态(准静态)
--- 疲劳分析通过时间历程对静态应力或者应变进行比例缩放,主要解决线
性疲劳 问题
-- 瞬态(直接积分法或模态叠加法)
疲劳分析直接有限元分析的应力或应变结果,其中直接积分法可以考虑非
线性疲劳问题,模态叠加法用于不能忽略惯性影响的线性动力学疲劳计算
-- 随机振动(频域应力PSD)
--- 在频域中,疲劳分析转换PSD到期望的应力循环中。
何时需要进行动力学疲劳计算
如果最高的加载频率超过受载模型第一阶固有频率的三分之一时,就需要考虑惯性力对疲劳计算的贡献

2、时域疲劳计算原理简介
静态(准静态疲劳计算)
- 确定静态有限元分析载荷和约束,以模拟工作环境;
- 测量,规范或预测载荷时间历程PK(t)
- 弹性应力历程通过线性叠加方向进行疲劳计算
K-工况ID号

线性叠加原理图

静态(准静态疲劳计算) 优点
- 有限元计算成本低
- 硬盘空间要求少
- 可以使用同样的应力数据用于不同载荷事件的疲劳计算
- 自动排除可以用于在疲劳分析前选择实体以加速分析 缺点
- 静态有限元分析要求的某些约束可能不理想
- 当外部加载频率接近系统固有频率时,疲劳计算精度下降。
瞬态分析(准静态疲劳计算)

直接积分法
- 整个系统的运动方程通过每一个时间步积分
- 计算成本高
- 可以计算非线性动力学问题 模态迭代法
- 系统的动力学特性和自由度被缩减到一组模态,因此求解速度比直接法快
- 需要选择一组合适的模态
- 仅限于线性问题
模态叠加法的基本原理

用模态叠加法计算瞬态分析

瞬态分析(时域) 优点:
- 考虑系统固有频率接近外载频率情况下的动力影响
- 系统可以进行动态分析而不需要任何人工约束
- 模态法瞬态计算强度比直接法小
缺点
- 瞬态分析计算强度比静态大
- 需要很大的硬盘空间去存储每一时间步的应力状态
- 每一载荷事件需要分别计算
- 在疲劳分析前,不容易定位关键单元
模态叠加瞬态分析的优点
- 使得结构动力响应计算不需要存储每一节点/单元的响应
- 可以考虑共振影响
- 这个方法类似准静态方法,模态参与系数关联模态应力
- 结合多体动力求解允许对整个装配体进行有效的瞬态分析
缺点:
需要明智的选择模态分析中的模态数量,推荐使用残余向量选项
需要将模态响应转换为时间历程形式。
3、频域中疲劳分析
3.1 为什么使用频域

传统上是根据时域载荷信号求得疲劳寿命,这种时域信号通常是应力或应变。用时域信号表达周期性载荷很方便,但是用他准确的描述随机加载过程却需要非常长的时间进行信号记录。
对于有限元分析来说,处理很长的时域加载信号非常耗时,因此需要转变方法,完成对随机载荷的疲劳寿命计算。频域疲劳计算使用功率谱密度应力来完成疲劳计算
3.2 在频域中计算疲劳的好处
- 随机载荷的动力响应分析不需要完全的瞬态分析
- 疲劳分析相当快
- 分析可以在设计早期进行
- 能交互分析各种假定

频域分析进行考虑动力共振效果

3.3随机振动(PSD应力)

3.4 振动疲劳

优点:
- 适合可以用PSD描述的载荷(随机,稳态和高斯载荷),比如风载和海洋载荷,也可以仿真PSD激励测试
- 包括动力和共振影响
- 比用一个很长的时间历程计算瞬态分析更有效
缺点:
有一些假设前提(高斯 随机 正态历经)
3.5 如何计算损伤


3.6 FFT传递的信息

- FFT是一个关于频率的复数响应
- 通过在一个频率轴上w位置的尖刺来表达一个正弦波, 该正弦波频率为w,幅值A和初始相位角fai复FFT的幅值图绘出,尖刺面积就是正弦波地幅值;FFT的幅角图绘出,面积就是正弦波地相位角
3.7 PSD是什么?

4、频域中疲劳计算方法


谐响应分析模块,要使用基于模态叠加法的求解方法,这样才能生成频率响应函数FRF。
加速度频率响应函数

位移频率响应函数




随机振动载是进入Ncode中进行设置的,之前的谐响应计算主要目的就是获取频率响应函数,对于PSD载荷,用户可以根据行业标准或时域测试结果通过FFT变换得到。

用户也可以使用振动生成器模块,设置其他的激励方式
根据随机振动理论可知,对于单一输入的PSD值,则系统输出为

其中:
1 Sout-谱密度响应(惯用术语);
2 Sin-谱密度输入(来自于输入的PSD曲线);
3 aout-计算的单自由输出;
4 ain-单自由度输入;
注意:在ANSYS中的谱密度响应就成为PSD响应(RPSD),谱密度输入就称为输入的PSD。
为了计算功率谱密度响应(RPSD),可以使用输入的PSD乘以响应函数得到。



基于线性系统,把输入的PSD载荷映射到输出PSD,然后使用频域载荷循环计数



ANSYS Ncode提供了四种方法来评估随机振动载荷的寿命这四种方法具有以下特点:
1 全部都使用统计参数来确定循环次数
2 全部都使用迈纳损伤计算公式
Narrow Band
1964年Bendat首1先提出了一种从PSD信号求疲劳寿命的方法,它说明了一个窄带信号随着带宽的降低,波峰的概率密度趋向一个瑞利分布,此外对于一个窄带时域信号,该方法假设所有函数值为正的波峰将随后跟着一个对应的数值相等的波谷,不管他们实际上是否构成应力循环,该方法的幅值-均值直方图窄带解为

N-发生在T时间内应力幅值为S的循环次数;M0-PSD曲线的第0阶惯性矩(曲线下的面积) E[P]-预期的波峰数,即


Narrow Band方法处理宽带时域信号时,它会给出一个非常保守的结果,原因在于该方法假定了峰值与其同样大小的峰谷匹配。窄带时域信号的特征是每个波峰有一个同样大小的波峰,而宽度时域信号却表现为一个低频载波上有

Dirlik
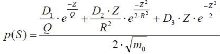
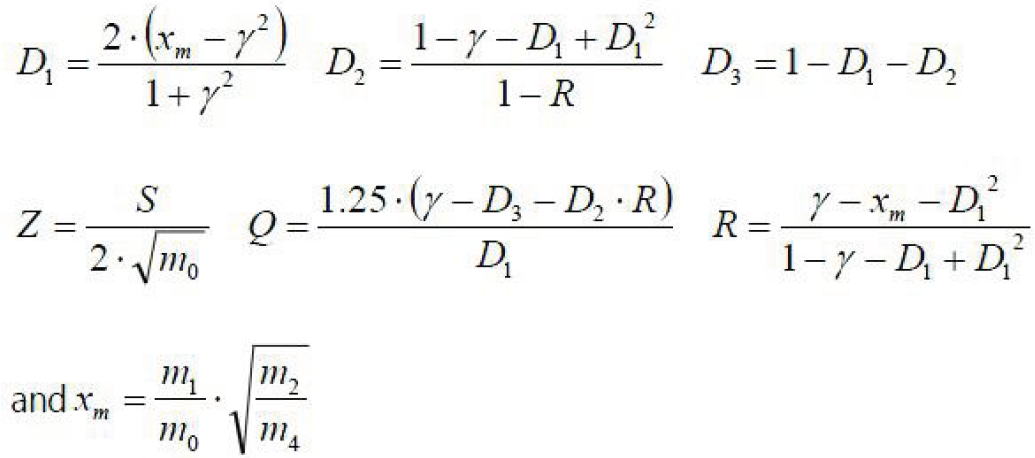
20实际80年代,海洋石油行业需要一个基于频域信号的快速疲劳分析方法, 基于时域信号进行瞬态动力学分析疲劳,已经被证明不可行。海洋的状态谱 有着相对较宽的频带,因此不能使用Narrow Band,1985年Dirlik提出了一个解决 这一问题的经验闭合解答,该方法使用蒙特卡洛技术进行计算,该方法具有广泛的应 用范围,一般情况是优于其他方法,该方法的公式

N-发生在T时间内应力幅值为S的循环次数;


Lalanne
- 该方法具有通用宽带频载荷处理技术;
- 该方法是多个行业的使用标准
- 该方法是Ncode默认方法



Steinberg
该方法使用三区间方法进行疲劳计算,该方法主要应用于电子行业,它假设输出的PSD响应复合高斯分布


应力组合对于PSD疲劳,Ncode只支持最大主应力和临界面方法

5、工程实例-焊接钢构件的随机振动疲劳寿命计算


关键步骤:
①导入nCode材料库方法:
右击Engineering Data,在弹出的快捷菜单中选择Edit,在弹出的界面空白处右击,在弹出的快捷菜单中选择Engineering Data Sources,单击Engineering Data Sources底部(Klick here to add a new library)C栏中的图标,浏览材料文件,→ANSYS 16.0 nCode DesignLife 64-bit→GlyphWorks→mats,导入nCode_matml.xml文件,完成nCode材料库的导入。

②update前关闭B4,保存计算结果。

③输入psd谱。

④调出MAT1。



