差动讯号(2):奇模与偶模

我们经常在探讨差动对时经常听到差模(Differential mode)与共模(Common mode),究竟什么是差模? 什么是共模? 这一切就要从奇模(Odd mode)与偶模(Even mode)谈起。
Differential and Common Voltage
在进入奇模与偶模之前,得先知道如何表示差动传输对这两条线的电压:
差动传输原理是TX同时驱动两条线进行信号传递,并在RX接收端将信号进行运算处理,得到设计者需要的差动信号。

理想上,这两条讯号线具备两项要素:
1.讯号电压幅度相同
2.讯号相位相反,也就是一正一负
两条线互相为回流讯号,互相参考。
那要如何定义这两条线上的电压?
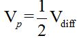
假设一条线的电压为Vp,另一条为Vn,我们定义:

因此可以得到:

在这边我们称Vdiff为差动电压,也就是电路所需要的电压。
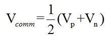
Vcomm为共模电压,是两讯号的平均值,代表两讯号的位准。
所有差动对上的波形,或者广义上来说:任两条讯号线的波形,皆可以用Vdiff与Vcomm表示!
Even-mode and Odd mode
两条线同时工作时,会依据传输线上不同的电压变化形式而产生两种不同的模态。
1.两条线同时传送相位相同的电压(Even-mode)
当线路在外层时,因为能量互斥,电场会集中在介电材料,磁场会围绕着两条线,线与线之间的耦合较小,对外界的干扰量会比较高。

当线路在内层时,电场会平均分布在介电材料中,磁场会围绕着两条线,线与线之间的耦合较小,但因线路处在内层,对外界的干扰量趋近于0。

2.两条线同时传送相位相反的电压(Odd-mode)
当线路在外层时,因为能量相互吸引,电场会集中在线与线之间,磁场各自围绕在单一条线上,线与线之间的耦合较大,不易对外界产生干扰。

当线路在内层时,电场会平均分布在介电材料中,但线与线的耦合依旧比较大,磁场各自围绕在单一条线上,线与线之间的耦合较小,但因线路处在内层,对外界的干扰量趋近于0。

3.一条线没电压,另一条线传送电压
与单一条讯号线工作类似,只是会有电场耦合到没讯号的讯号线。 因为另一条线没有电流的缘故,并不会产生互感。
根据电磁场型,我们可以得到一个结论:
当非奇偶模态时(Isolated mode),传输线等效的电容是对地电容与耦合电容的总和,等效电感是单一条线的电感。
奇模态时,因为等效电压两倍的关系,所以耦合电容将变为两倍,等效电感则因磁通量互斥所以会少一个互感量。
偶模态时,两条线电压等量等向,不会产生电场耦合,因此没有耦合电容,而磁通量方向相同,电感须加上互感值。

Even-mode and Odd-mode Impedance
当差动对在传输差动讯号时,我们称差动讯号所感受到的阻抗为“差动阻抗”或“差模阻抗”(Differential impedance)。 差动对是感受到一正一负的差模电压,也就是说两条线彼此都可以当作自己的参考回路,讯号线A输出一个电流Idiff,将会在讯号线B得到一个反方向的Idiff。


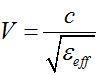
假设此时的单一条传输线的阻抗为:

因为是差动讯号在传递,我们可以将Vp改写成

因此可得差模阻抗为

我们可以得到一个结论:理想的差动阻抗是单端传输线在奇模状态下阻抗的两倍。
而共模阻抗呢?
共模阻抗为差动对在传输共模讯号时所感受到的阻抗。


共模讯号为两条线同时传送相同方向的讯号,会在两条线中间产生开路,并不会像差动讯号有互相参考的作用,因此每一条线将被当作自己一个回路看待,且电流因为两条线看似并联,所以会减半。
因此我们可以得到理想的共模阻抗为单端传输线在偶模状态下阻抗的一半。

在这边笔者必须强调:差模/共模阻抗与奇模/偶模阻抗不一样!
奇模阻抗 Zodd 是当差动对处于差模状态下 “ 单一条线 ” 的阻抗。
偶模阻抗 Zeven 代表着当差动对处于共模状态下 “ 单一条线 ” 的阻抗。
千千万万不要把差模/共模阻抗与奇模/偶模阻抗画上等号。 这两者有很大的不同!
差动/共模阻抗不只受线宽影响,两线间距的关联性也很大。
下图是笔者做的实验结果:
可以发现两条线离得够远(线距>5倍线宽),因为不会有电磁场的相互影响,Zodd与Zeven将会是传输线的特性阻抗Z0。
但是当两条线越来越近时,可以看到无论是微带线(Microstrip)还带状线(Stripline),奇模阻抗会越来越小,偶模阻抗会越来越大,原因出在前面提到的电磁场形:
1.Odd-mode时,互容效应增大且电流方向相反造成整体电感减少。
2.Even-mode时,没有互容效应且电流方向相同造成整体电感增加。



至于Stripline为什么会需要更近的距离才会感受到耦合效应?
大家可以想想,当然跟它本身的结构有关。
Even-mode and Odd-mode Velocity
两条线同时工作时,会依据传输线上不同的电压变化形式而产生三种不同的波行进速度。
当线路布局在外层,Vodd>VIsolated>VEven
从电磁场形来看,当线路布局在外层,奇模态时极少部分的电场在介质里,大多数在空气中,使得等效介电常数低,因此速度会比较快。
偶模态时,大多数电场集中在介质里,使得等效介电常数高,因此速度慢。
非奇偶模态则是界在两者之间。


我们可以用绿漆的厚度来验证这个结果,当绿漆厚度变厚时,因为等效的介电常数提高,因此非奇模态的波行进速度变慢,但是偶模态时的速度则几乎不变。
这个实验可以验证奇模态的速度对非回流路径的介质比较敏感,偶模态则完全无关。


另外,当线路布局在内层时,三个模态的速度并不会有任何差异,也就是Vodd=VIsolated=VEven。 当然大家也可以想想这是什么原因啰。

