当前位置: 首页 > news >正文

非线性1无修

第一章为读者介绍了非线性动力学与混沌理论的基本概念、发展历史以及应用领域。

1.1 动力学简史

  • 从牛顿力学开始,介绍动力学作为物理学分支的发展历程。
  • 重点介绍了庞加莱对混沌现象的早期探索,以及20世纪60年代洛伦兹方程的发现,标志着混沌理论的诞生,并回顾了20世纪70年代混沌理论的快速发展。
  • 洛伦兹发现了混沌的特定结构:
    在这里插入图片描述

1.2 非线性的重要性

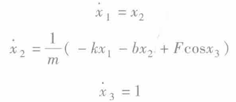
  • 消除时间依赖:增加一个维度

  • 在这里插入图片描述
    x ′ ′ → x 1 , x ′ → x 2 , t → x 3 x'' \rightarrow x_1 , x' \rightarrow x_2 , t\rightarrow x_3 x′′x1,xx2,tx3
    在这里插入图片描述

  • 强调非线性系统难以求解:因为叠加原理失效

  • 但几何方法可以帮助我们理解其定性特征。

  • 相空间:
    相空间

1.3 世界的动力学视角

  • 提出将动力学系统分类的框架,包括系统维度(m)和线性/非线性属性。
  • 指出框架中各个区域的含义,例如:
    • 左上角:简单线性系统,如增长、衰减、平衡点和振动。
    • 右上角:经典应用数学和数学物理,如电磁学、热力学、量子力学等。
    • 右下角:非线性系统,包括分岔、混沌和分形等现象。
    • 前沿:尚未完全探索的复杂非线性系统。
  • 强调非线性动力学与混沌理论的重要性,以及本书的学习路径。
    1.4 本章总结
  • 非线性动力学与混沌理论是理解自然界复杂现象的重要工具。
  • 几何方法可以帮助我们理解非线性系统的定性特征。
  • 本书将系统性地介绍非线性动力学与混沌理论,并展示其在各个领域的应用。
    第一章的核心观点在于
  • 非线性动力学与混沌理论是研究自然界复杂现象的重要分支,它帮助我们理解系统的动态行为,并预测其未来演化。
  • 几何方法是分析非线性动力系统的有效工具,可以帮助我们直观地理解系统的行为特征。
  • 非线性动力学与混沌理论在多个领域具有广泛的应用,例如生物、物理、化学、工程等。
  • 第三章深入探讨了非线性动力学中的一种关键现象——分岔。分岔是指当参数变化时,系统的动力学行为发生定性改变的过程,例如不动点的出现、消失或稳定性改变。本章通过多种类型的分岔,以及它们在科学和工程中的应用,展示了分岔的多样性和重要性。
    3.1 鞍-结分岔
  • 定义:鞍-结分岔是指两个不动点相互靠近、碰撞并消失的现象。
  • 标准形式:x’ = r - x - e^(-x)
  • 分析方法:通过观察函数 f(x) 和 x 轴的交点,以及它们在分岔点附近的泰勒展开式,可以判断分岔的发生和不动点的稳定性。
  • 应用:激光阈值、双稳态系统等。
    3.2 跨临界分岔
  • 定义:跨临界分岔是指不动点的稳定性发生改变,但不动点本身不消失的现象。
  • 标准形式:x’ = r(x - 1)^2
  • 分析方法:通过观察函数 f(x) 和 x 轴的交点,以及它们在分岔点附近的泰勒展开式,可以判断分岔的发生和不动点的稳定性。
  • 应用:逻辑斯谛方程、生态系统稳定性等。
    3.3 激光阈值
  • 介绍了激光阈值的概念,并建立了一个简化的激光模型,解释了激光阈值的物理机制。
  • 通过分析模型,发现当泵浦强度超过阈值时,系统会发生跨临界分岔,从而产生激光。
  • 该模型展示了分岔在物理学中的应用,以及如何通过参数变化来控制系统的行为。
    3.4 叉式分岔
  • 定义:叉式分岔是指具有对称性的系统,其不动点成对出现或消失的现象。
  • 超临界叉式分岔和亚临界叉式分岔:分别对应着不动点在分岔后不消失和消失的情况。
  • 标准形式:x’ = r - x^3 和 x’ = r - x^3 + x
  • 分析方法:通过观察函数 f(x) 和 x 轴的交点,以及它们在分岔点附近的泰勒展开式,可以判断分岔的发生和不动点的稳定性。
  • 应用:旋转环上的过阻尼球、磁场与神经网络的统计力学模型等。
    3.5 旋转环上的过阻尼球
  • 介绍了旋转环上的过阻尼球问题,并建立了一个简化的模型,解释了小球在旋转环上的运动。
  • 通过无量纲分析,将二阶系统近似为一阶系统,从而可以使用本章介绍的分岔分析方法。
  • 发现当旋转环的角速度超过某个临界值时,系统会发生超临界叉式分岔,从而出现三个平衡点。
  • 该模型展示了分岔在力学中的应用,以及如何通过无量纲分析来简化问题。
    3.6 不完美分岔与灾变
  • 定义:不完美分岔是指当存在对称性的近似时,系统会发生分岔的现象。
  • 灾变:当参数变化时,系统状态会跨越某个临界值,之后发生不连续的改变。
  • 标准形式:x’ = r - x^3 + x
  • 分析方法:通过观察函数 f(x) 和 x 轴的交点,以及它们在分岔点附近的泰勒展开式,可以判断分岔的发生和不动点的稳定性。
  • 应用:昆虫爆发、斜线上的小球等。
    3.7 昆虫爆发
  • 介绍了云杉蚜虫爆发模型,解释了蚜虫数目突然增加的现象。
  • 通过无量纲分析,将模型简化为一维系统,并分析其不动点的分岔行为。
  • 发现当天敌捕食作用增强时,系统会发生鞍-结分岔,从而导致蚜虫爆发。
  • 该模型展示了分岔在生态学中的应用,以及如何通过参数变化来预测系统的行为。
    本章通过多种类型的分岔,以及它们在科学和工程中的应用,展示了分岔的多样性和重要性。分岔是理解非线性系统行为的关键,它在物理学、生物学、工程学等多个领域都有着广泛的应用
    引言:
    本章通过简单的例子引入了非线性动力学中的一维系统,并运用几何方法进行分析。一维系统虽然简单,但仍然包含丰富的动力学行为,例如不动点和稳定性。
    1. 几何的思维方式:
  • 利用向量场来可视化一维系统的动力学行为。
  • 向量场由函数 f(x) 的图形决定,表示在每个 x 处的“速度”方向。
  • 不动点是向量场为零的地方,分为稳定(吸引)和不稳定(排斥)两种。
  • 通过观察向量场,可以定性分析解的定性特征,例如轨迹的方向和速度的变化。
    2. 不动点与稳定性:
  • 不动点:满足 f(x) = 0 的点,代表系统在平衡状态。
  • 稳定性:
    • 稳定不动点:微小扰动会衰减,例如 x = 0。
    • 不稳定不动点:微小扰动会发散,例如 x = ±1。
    • 半稳定不动点:扰动方向不确定,例如 x = 1。
      3. 种群增长:
  • 介绍了逻辑斯谛方程,用于描述种群数量随时间的变化。
  • 利用向量场和图形方法分析了逻辑斯谛方程的动力学行为,包括不动点和稳定性。
  • 讨论了逻辑斯谛方程在种群生物学中的应用,并指出了其局限性。
    4. 线性稳定性分析:
  • 在不动点处,线性化系统可以得到一个关于微小扰动的线性方程。
  • 根据线性方程的特征根,可以判断不动点的稳定性。
  • 线性稳定性分析可以提供对系统动力学行为的初步了解,但可能无法捕捉到非线性效应。
    5. 存在性与唯一性:
  • 讨论了微分方程解的存在性和唯一性,以及可能出现的病态情况。
  • 给出了解的存在性与唯一性定理,并讨论了其在实际应用中的意义。
    6. 振动的不可能性:
  • 利用拓扑学原理证明了直线上的向量场无法产生周期解。
  • 通过机械模拟,例如过阻尼系统,可以直观地理解这一结论。
    7. 势:
  • 利用势能的概念来可视化一维系统的动力学行为。
  • 势能的图形与向量场图形相互关联,可以提供对系统动力学行为的更直观的理解。
    8. 利用计算机解方程:
  • 介绍了欧拉方法、改进的欧拉方法和龙格-库塔方法等数值积分方法,用于求解微分方程。
  • 讨论了数值积分方法的精度和计算成本,以及选择合适方法的考虑因素。
  • 介绍了 PPlane 和 XPP 等动力系统软件,用于数值求解和可视化微分方程。
    总结:
    本章通过几何方法对一维系统进行了初步分析,介绍了不动点、稳定性、种群增长、线性稳定性分析、存在性与唯一性、振动的不可能性、势和数值积分方法等基本概念,为后续学习二维系统和混沌理论奠定了基础。
    第二章以一维非线性系统为例,介绍非线性动力学的基本概念和几何方法,为后续章节的学习奠定基础。
    2.1 几何的思维方式
  • 以x’ = sin(x)为例,介绍如何将微分方程转化为向量场,并通过向量场分析解的定性特征。
  • 解释不动点的概念,并区分稳定不动点和不稳定不动点。
  • 利用向量场和图形,解释x’ = sin(x)解的定性特征,包括其周期性和对初始条件的敏感性。
    2.2 不动点与稳定性
  • 将一维系统x’ = f(x)推广到更一般的情况,并介绍相图的概念。
  • 利用向量场和相图,分析不动点的稳定性和解的定性特征。
  • 通过实例,说明如何利用图形方法判断不动点的稳定性,以及如何绘制解的图形。
    2.3 种群增长
  • 以种群增长模型为例,介绍逻辑斯谛方程及其解的定性特征。
  • 利用向量场和相图,解释逻辑斯谛方程解的S形增长曲线,以及其对初始条件的敏感性。
  • 讨论逻辑斯谛方程在生物学中的局限性,并引出其他种群增长模型。
    2.4 线性稳定性分析
  • 介绍线性稳定性分析的概念,并解释其原理和步骤。
  • 利用线性稳定性分析,判断不动点的稳定性,并确定其特征时间尺度。
  • 通过实例,说明线性稳定性分析的应用,并讨论其局限性。
    2.5 存在性与唯一性
  • 讨论一维系统中解的存在性和唯一性问题,并介绍存在性与唯一性定理。
  • 通过实例,说明解不唯一的情况,并解释其物理意义。
  • 强调在数值积分时,需要关注解的存在性和唯一性问题。
    2.6 振动的不可能性
  • 解释一维系统中振动现象的不可能性,并从拓扑学角度进行论证。
  • 通过机械模拟,说明过阻尼系统中不会出现振动现象。
  • 讨论将二阶系统近似为一阶系统的可行性,并引出奇异摄动理论。
    2.7 势
  • 介绍势的概念,并解释其与向量场之间的关系。
  • 利用势能,解释一维系统中不动点的稳定性和解的运动方向。
  • 通过实例,说明势在分析一维系统中的应用。
    2.8 利用计算机解方程
  • 介绍数值积分的概念,并解释其原理和步骤。
  • 以欧拉方法为例,说明如何利用数值方法求解微分方程,并绘制解的图形。
  • 介绍改进的欧拉方法和龙格-库塔方法,并比较它们的优缺点。
  • 推荐一些用于动力学研究的软件工具。
    2.9 本章总结
  • 本章介绍了非线性动力学的基本概念和几何方法,并以一维系统为例,展示了如何利用向量场、相图和势能等方法分析系统的动态行为。
  • 线性稳定性分析可以帮助我们判断不动点的稳定性,并确定其特征时间尺度。
  • 数值积分是求解微分方程的重要工具,可以帮助我们直观地理解系统的行为特征。
    第二章的核心观点在于
  • 几何方法是分析非线性动力系统的有效工具,可以帮助我们直观地理解系统的行为特征。
  • 线性稳定性分析可以帮助我们判断不动点的稳定性,并确定其特征时间尺度。
  • 数值积分是求解微分方程的重要工具,可以帮助我们直观地理解系统的行为特征。
  • 本章的内容为后续章节的学习奠定了基础,读者需要掌握本章介绍的几何方法和分析方法。
    第三章以一维系统为例,深入探讨了分岔现象,并介绍其在科学中的应用。
    3.1 鞍-结分岔
  • 介绍鞍-结分岔的概念,并以x’ = r - x^2为例,说明其发生机制和特征。
  • 解释鞍-结分岔的标准形式,并介绍常用的绘图方法,如多层向量场和分岔图。
  • 通过实例,说明鞍-结分岔在物理和生物学中的应用。
    3.2 跨临界分岔
  • 介绍跨临界分岔的概念,并以x’ = r(1 - x)为例,说明其发生机制和特征。
  • 解释跨临界分岔的标准形式,并介绍其绘图方法。
  • 通过实例,说明跨临界分岔在激光物理中的应用。
    3.3 激光阈值
  • 介绍激光物理背景,并介绍一个简化激光模型。
  • 利用向量场和相图,分析激光阈值现象,并解释其物理意义。
  • 讨论该模型的局限性,并引出更复杂的激光模型。
    3.4 叉式分岔
  • 介绍叉式分岔的概念,并区分超临界叉式分岔和亚临界叉式分岔。
  • 以x’ = r - x^3为例,说明超临界叉式分岔的发生机制和特征。
  • 解释超临界叉式分岔的标准形式,并介绍其绘图方法。
  • 通过实例,说明叉式分岔在物理和生物学中的应用。
    3.5 旋转环上的过阻尼球
  • 介绍旋转环上过阻尼球的问题,并推导其动力学方程。
  • 利用向量场和相图,分析过阻尼球在不同参数下的运动状态。
  • 引入量纲分析和尺度化的概念,解释将二阶系统近似为一阶系统的可行性。
  • 讨论该问题的奇异极限性质,并引出奇异摄动理论。
    3.6 不完美分岔与灾变
  • 介绍不完美分岔的概念,并以x’ = y^3 - xy为例,说明其发生机制和特征。
  • 解释尖点灾变的概念,并介绍其绘图方法。
  • 通过实例,说明不完美分岔和尖点灾变在力学和生物学中的应用。
    3.7 昆虫爆发
  • 介绍云杉蚜虫爆发模型,并解释其物理背景和参数含义。
  • 利用向量场和相图,分析蚜虫数目随时间变化的动力学特征。
  • 讨论模型的近似方法和参数估计,并解释爆发现象的物理意义。
    3.8 本章总结
  • 本章深入探讨了分岔现象,并介绍其在科学中的应用。
  • 介绍了鞍-结分岔、跨临界分岔、叉式分岔等不同类型的分岔,并解释其发生机制和特征。
  • 通过实例,展示了分岔现象在物理、生物学等领域的应用,并说明其对理解自然界复杂现象的重要性。
    第三章的核心观点在于
  • 分岔是描述系统行为随参数变化而发生定性改变的关键概念。
  • 分岔现象在自然界中普遍存在,并具有重要的科学意义。
  • 几何方法可以帮助我们直观地理解分岔现象,并预测其发生规律。
  • 分岔现象在多个领域具有广泛的应用,例如激光物理、力学、生物学等。
    第四章介绍了二维非线性系统中的分岔现象,并探讨了其与混沌现象的关系。
    4.1 引言
  • 引入二维系统,并以x’’ = -x + y为例,说明其解的定性特征。
  • 指出二维系统中存在更多类型的分岔现象,例如极限环分岔、倍周期分岔等。
  • 强调混沌现象在二维系统中的普遍存在。
    4.2 相平面分析
  • 介绍相平面的概念,并解释其与二维系统之间的关系。
  • 利用相平面分析,解释二维系统中不动点、极限环等动力学现象。
  • 通过实例,说明相平面分析在分析二维系统中的应用。
    4.3 极限环分岔
  • 介绍极限环的概念,并解释其与周期解之间的关系。
  • 以x’’ = -x + y为例,说明极限环分岔的发生机制和特征。
  • 解释极限环分岔的标准形式,并介绍其绘图方法。
  • 通过实例,说明极限环分岔在物理和生物学中的应用。
    4.4 倍周期分岔
  • 介绍倍周期分岔的概念,并解释其与混沌现象之间的关系。
  • 以x’’ = -x + y^2为例,说明倍周期分岔的发生机制和特征。
  • 解释倍周期分岔的标准形式,并介绍其绘图方法。
  • 通过实例,说明倍周期分岔在物理和生物学中的应用。
    4.5 重整化
  • 介绍重整化的概念,并解释其原理和步骤。
  • 利用重整化方法,将复杂的二维系统简化为更简单的模型。
  • 通过实例,说明重整化方法在分析二维系统中的应用。
    4.6 混沌
  • 介绍混沌现象的概念,并解释其与周期性和非周期性的区别。
  • 以洛伦兹方程为例,说明混沌现象的发生机制和特征。
  • 讨论混沌现象的数学特征,例如奇怪吸引子和李雅普诺夫指数。
  • 通过实例,说明混沌现象在气象、生物学等领域的应用。
    4.7 本章总结
  • 本章介绍了二维非线性系统中的分岔现象,并探讨了其与混沌现象的关系。
  • 介绍了相平面分析、极限环分岔、倍周期分岔等概念,并解释其发生机制和特征。
  • 通过实例,展示了分岔现象和混沌现象在物理、生物学等领域的应用。
    第四章的核心观点在于
  • 二维系统中存在更多类型的分岔现象,例如极限环分岔、倍周期分岔等。
  • 混沌现象在二维系统中普遍存在,并具有重要的科学意义。
  • 相平面分析是分析二维系统的重要工具,可以帮助我们直观地理解系统的动态行为。
  • 重整化方法可以帮助我们简化复杂的二维系统,并揭示其动力学特征。
  • 本章的内容为后续章节的学习奠定了基础,读者需要掌握本章介绍的相平面分析和重整化方法。
    第五章介绍了混沌现象的数学特征,并探讨其在信息传输中的应用。
    5.1 引言
  • 回顾混沌现象的基本概念,并强调其与周期性和非周期性的区别。
  • 指出混沌现象的数学特征,例如奇怪吸引子和李雅普诺夫指数。
  • 强调混沌现象在信息传输中的应用潜力。
    5.2 奇怪吸引子
  • 介绍奇怪吸引子的概念,并解释其与混沌现象之间的关系。
  • 以洛伦兹方程为例,说明奇怪吸引子的发生机制和特征。
  • 讨论奇怪吸引子的数学特征,例如分形维数和自相似性。
  • 通过实例,说明奇怪吸引子在气象、生物医学等领域的应用。
    5.3 李雅普诺夫指数
  • 介绍李雅普诺夫指数的概念,并解释其计算方法。
  • 利用李雅普诺夫指数,判断系统是混沌还是非混沌。
  • 讨论李雅普诺夫指数在信息传输中的应用,例如混沌加密。
    5.4 利用混沌传送秘密信息
  • 介绍混沌加密的原理,并解释其优势。
  • 以洛伦兹方程为例,说明混沌加密的实现方法。
  • 讨论混沌加密的局限性,并展望未来的发展方向。
    5.5 本章总结
  • 本章介绍了混沌现象的数学特征,并探讨其在信息传输中的应用。
  • 介绍了奇怪吸引子和李雅普诺夫指数的概念,并解释其计算方法和应用。
  • 通过实例,展示了混沌加密的原理和实现方法。
    第五章的核心观点在于
  • 奇怪吸引子和李雅普诺夫指数是描述混沌现象的重要数学特征。
  • 混沌加密是一种新型的加密方法,可以有效地防止信息泄露。
  • 混沌现象在信息传输领域具有广泛的应用潜力,未来需要进一步研究和完善。
    第六章介绍了分形的概念,并探讨其在图像处理中的应用。
    6.1 引言
  • 介绍分形的概念,并解释其与混沌现象的区别。
  • 指出分形具有无限嵌套的模式,并具有自相似性。
  • 强调分形在图像处理中的应用潜力。
    6.2 分形几何
  • 介绍分形几何的基本概念,例如分形维数和自相似性。
  • 以科赫雪花为例,说明分形几何的原理和特征。
  • 讨论分形几何在图像处理中的应用,例如图像压缩和噪声去除。
    6.3 分形图像
  • 介绍分形图像的概念,并解释其生成方法。
  • 以迭代函数系统(IFS)为例,说明分形图像的生成方法。
  • 讨论分形图像在图像艺术和科学可视化中的应用。
    6.4 分形分析
  • 介绍分形分析的概念,并解释其原理和应用。
  • 以分形分析为例,说明如何利用分形理论分析图像的复杂度。
  • 讨论分形分析在图像识别和图像检索中的应用。
    6.5 本章总结
  • 本章介绍了分形的概念,并探讨其在图像处理中的应用。
  • 介绍了分形几何、分形图像和分形分析的概念,并解释其原理和应用。
  • 通过实例,展示了分形在图像处理中的应用,例如图像压缩、噪声去除、图像识别等。
    第六章的核心观点在于
  • 分形是具有无限嵌套模式和自相似性的几何对象,其理论在图像处理领域具有广泛的应用。
  • 分形几何、分形图像和分形分析是分形理论在图像处理中的主要应用方向。
  • 分形在图像压缩、噪声去除、图像识别等图像处理任务中具有重要作用,未来需要进一步研究和完善。
http://www.dtcms.com/a/198551.html

相关文章:

  • python + pip 独家秘籍
  • C++ map容器: 插入操作
  • 5.18 day24
  • 新电脑软件配置三 pycharm
  • 【应用开发十】pwm
  • ffmpeg -vf subtitles添加字幕绝对路径问题的解决方法
  • [创业之路-358]:从历史轮回到制度跃迁:中国共产党创业模式的超越性密码
  • 三:操作系统线程管理之用户级线程与内核级线程
  • Milvus(25):搜索迭代器、使用分区密钥
  • 为实时数据构建WebSocket解决方案的挑战
  • Git在与远程仓库建立连接时,不小心输错密码导致连接失败,之后无法弹出用户名密码的输入框解决方案
  • 面试题总结二
  • 记录一次修改nacos安全问题导致服务调用出现404
  • KnowCard:我的知识卡片生成器是怎么炼成的?
  • web中路径问题
  • 能力验证及大练兵活动第一期
  • LeetCode Hot100刷题——除自身以外数组的乘积
  • MyBatis-Plus-Join联表查询
  • C 语言学习笔记(函数)
  • 【Linux】第十九章 管理SELinux安全性
  • 【Linux驱动】Linux 按键驱动开发指南
  • 【回溯 剪支 状态压缩】# P10419 [蓝桥杯 2023 国 A] 01 游戏|普及+
  • 【第三篇】 SpringBoot项目中的属性配置
  • 动态规划(4)可视化理解:图形化思考
  • SparkSQL基本操作
  • ​在 ASP.NET 中,HTTP 处理程序(HttpHandler)是处理 HTTP 请求的核心组件​
  • 嵌入式通信协议(二)——IIC总线
  • Flink Table SQL
  • Flink并行度与分区机制深度解析
  • 【c库主要功能】