当前位置: 首页 > news >正文

用golang实现二叉搜索树(BST)

目录

  • 一、概念、性质
  • 二、二叉搜索树的实现
    • 1. 结构
    • 2. 查找
    • 3. 插入
    • 4. 删除
    • 5. 中序遍历
  • 中序前驱/后继结点

一、概念、性质

二叉搜索树(Binary Search Tree),简写BST,又称为二叉查找树

它满足:

  • 空树是一颗二叉搜索树
  • 对于任意结点 node ,它的左右孩子如果不为空 ,满足:
    • 左子树上所有结点的值都小于node的值
    • 右子树上所有结点的值都大于node的值
  • 不存在数值重复的结点

如下图,图(1)是二叉搜索树,图(2)、图(3)不是二叉搜索树
图(2)中不满足 70 < 50
图(3)中不满足 30 < 10

在这里插入图片描述


之所以叫做二叉搜索树,是因为在BST中搜索一个值是很简单的

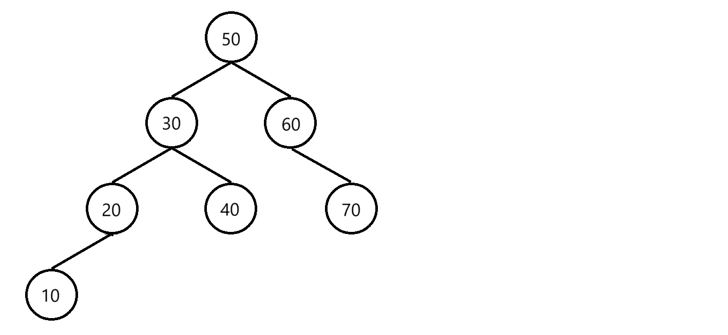
例如图(1)中要查找40
从根结点出发,40比50小,来到根结点的左孩子30,40比30大,来到30的右孩子40,40等于40,这样就找到了

例如图(1)中要查找10
从根结点出发,10比50小,来到根节点的左孩子30,10比30小,来到30的左孩子20,10比20小,来到20的左孩子null,所以没有10这个结点


在这里插入图片描述

对图(1)进行中序遍历,得到 20 30 40 50 60
发现是一个有序的序列

所以对二叉搜索树进行中序遍历,会得到一个有序的序列

二、二叉搜索树的实现

1. 结构

定义一个二叉搜索树很简单,就和定义一个二叉树的结构一样,需要包含 数据、左右孩子指针

// 定义结点结构
type TSNode struct {data  intleft  *TSNoderight *TSNode
}

2. 查找

查找一个值target,从根结点开始,递归进行比较。

如果等于根结点,找到返回
如果小于根结点则走到左子树,在左子树中找
如果大于根结点则走到右子树,在右子树中找

// 判断结点是否存在
func (t *TSNode) Search(data int) *TSNode {if t == nil {return nil}if t.data == data { //找到了 返回结点return t}if data < t.data { //要找的数据小于根结点 向左找return t.left.Search(data)} else { //要找的数据大于根结点  向右找return t.right.Search(data)}
}

3. 插入

向二叉搜索树插入数据data ,分为两种情况

  • 树为空,定义一个新结点储存data,直接 根结点 = 新结点
  • 树不为空,和结点进行比较(和查找数据步骤一样),直到结点为空,将新结点插入

如向图(1)中插入数据35
在这里插入图片描述

  1. 首先和根结点50进行比较,小于50,走到左孩子30
  2. 和30进行比较,大于30,走到30的右孩子40
  3. 和40进行比较,小于40,走到40的左孩子 null,将35 插入40 左孩子

最终得到
在这里插入图片描述

// 插入数据
func (t *TSNode) Insert(data int) {newNode := &TSNode{data,nil,nil,}//如果根结点为空 直接插入if t == nil {t = newNodereturn}//根结点不为空 判断if data < t.data { //小于根结点数据 向左找if t.left == nil { //左孩子为空 直接赋值t.left = newNode} else {t.left.Insert(data) //左孩子不为空 遍历左孩子 找}} else {if t.right == nil {t.right = newNode} else {t.right.Insert(data)}}
}

4. 删除

删除二叉搜索树的数据分为三种情况

  • 要删除的结点没有左右孩子
  • 要删除的结点没有左孩子或右孩子
  • 要删除的结点既有左孩子也有右孩子

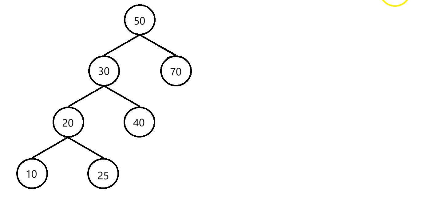
有这样一颗二叉搜索树,下面第一二种拿这个举例子

在这里插入图片描述

  1. 删除的结点没有左右孩子

直接删除结点就可以
例如删除上图中的25,直接删除25得到
在这里插入图片描述

  1. 要删除的结点只有左孩子或只有右孩子

如果只有右孩子,比如删除图中的60
直接让60父结点与60的右孩子连接,将60删除就可以
得到:
在这里插入图片描述
3. 要删除的结点既有左孩子也有右孩子

这里要引入中序后继中序前驱的概念,我把这两个概念放在最后了

blog.csdnimg.cn/direct/e37cc3938fe3426b925afd7c3c2237fd.png)

比如要删除30,找到30的中序后继结点或者中序前驱结点,哪个都可以,就拿中序后继结点举例子

30的中序后继结点是35,将35的值赋给30这个节点,再对30的右子树进行删除中序后继结点的操作就可以了

在这里插入图片描述

使用中序前驱结点一样,将中序前驱节点的值赋给要删除的节点的值,再对要删除的节点的左子树进行删除中序前驱节点的操作


实现删除操作的代码:

首先要找到要删除的结点, if、else if、else 就是在找要删除的结点

// 删除结点
func (t *TSNode) Delete(data int) *TSNode {//查找结点 -- 查找到要找的结点,分情况对结点进行删除操作if t == nil {return nil}if data < t.data { //要删除的数据小于根结点//递归查找左子树t.left = t.left.Delete(data)} else if data > t.data {//递归查找右子树t.right = t.right.Delete(data)} else { //查找到了要删除的数据//此时t是要删除的结点 分情况if t.left == nil && t.right == nil { //如果左右孩子都是空 直接删除 返回空return nil}//只有一个结点if t.left == nil { //只有一个右结点  父结点和左孩子结点相连return t.right}if t.right == nil { //只有一个左结点  父结点和右孩子结点相连return t.left}//左右孩子结点都存在//找到 中序后继结点 -- 右孩子一直向左找minNode := t.right.MinNode()//用这个结点替换要删除的结点t.data = minNode.data//删除中序后继结点--因为是查找的右孩子的中序后继,所以调整右子树t.right = t.right.Delete(minNode.data)}return t
}// 查找中序后继结点  
func (t *TSNode) MinNode() *TSNode {if t.left == nil {return t}return t.left.MinNode()
}

5. 中序遍历

使用递归遍历,和二叉树的中序遍历一样
先递归左子树,再打印节点的值,最后递归右子树

// 中序遍历
func (t *TSNode) InOrder() {if t == nil {return}t.left.InOrder()fmt.Printf("%d ", t.data)t.right.InOrder()
}

中序前驱/后继结点

在这里插入图片描述

  • 中序后继结点:在中序遍历中紧跟在某个节点后面的节点
    怎么找中序后继结点呢?
    先走到一个结点Node 的右孩子,再从右孩子不断向左走,直到某个节点的左孩子为空,那这个结点就是Node 的中序后继结点
    比如要找30的中序后继结点,30走到40,40向左走到35,35的左孩子为空,那35就是30的后继结点

  • 中序前驱结点:在中序遍历中在某个结点前一个的结点
    怎么找中序前驱结点呢?
    先走到一个结点Node 的左孩子,再从左孩子不断向右走,直到某个节点的右孩子为空,那这个结点就是Node 的中序前驱结点
    比如要找30的中序前驱结点,30走到左孩子20,20向右走到25,25的右孩子为空,所以25就是30的中序前驱结点

http://www.dtcms.com/a/198331.html

相关文章:

  • 飞帆控件:on_post_get 接口配置
  • YOLO12改进-模块-引入Channel Reduction Attention (CRA)模块 降低模型复杂度,提升复杂场景下的目标定位与分类精度
  • 处理金融数据,特别是股票指数数据,以计算和分析RSRS(相对强度指数)
  • OpenAI深夜发布Codex:AI编程里程碑式突破
  • 二:操作系统之进程的创建与终止
  • 基于区块链技术的智能汽车诊断与性能分析
  • Ansible模块——文件属性查看,文件或目录创建和属性修改
  • 量子计算 | 量子密码学的挑战和机遇
  • Docker配置容器开机自启或服务重启后自启
  • 【iOS】探索消息流程
  • PCB设计(十九)PCB设计中NPN/PNP选型策略
  • 【甲方安全建设】拉取镜像执行漏洞扫描教程
  • 智慧大楼综合信息化建设方案,技术解决方案(PPT)
  • 【YOLO(txt)格式转VOC(xml)格式数据集】以及【制作VOC格式数据集 】
  • 掌握生成式 AI 的未来:Google Cloud 全新认证
  • 电子电路:怎么理解电子在导体中的热运动?
  • 上位机知识篇---涂鸦智能云平台
  • Open CASCADE学习|几何体切片处理:OpenMP与OSD_Parallel并行方案深度解析
  • 如何设置 MySQL 的 root 密码:详细指南
  • 创建型:原型模式
  • 配置代理服务器访问github、google
  • 408考研逐题详解:2009年第16题
  • 一文掌握工业相机选型计算
  • 【C++】set、map 容器的使用
  • Linux干货(六)
  • 网络安全深度解析:21种常见网站漏洞及防御指南
  • WRFOUT投影转换——兰伯特转等经纬度
  • 单列集合——list集合和五种遍历方式
  • 基于shardingsphere的分库分表方案
  • 【C++】尾置返回类型(Trailing Return Type)总结