当前位置: 首页 > news >正文

【重磅】配电网智能软开关和储能联合规划

目录

1 主要内容

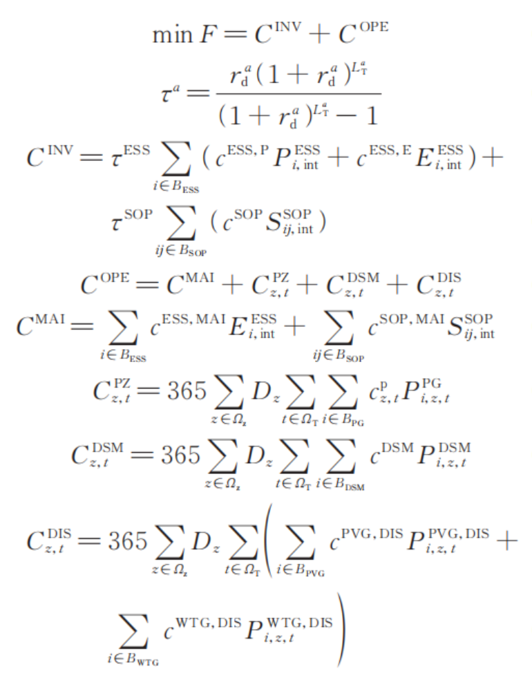
目标函数

数据说明

节点系统图

2 部分代码

3 程序结果

4 下载链接 


主要内容

该程序复现《具有源荷不平衡特性的配电网智能软开关和储能联合规划》部分模型,未考虑聚类分析和分布鲁棒部分,就智能软开关和储能联合规划部分进行了方法复现,以IEEE33节点模型为例,实现了对原文中NY配电网配置,网络中分别接入3个光伏和风电节点,安装位置参照文献,以年综合费用最小为目标函数,建立协同规划模型,通过大M法和二阶锥松弛技术,将原始的非线性非凸模型转化为混合整数二阶锥规划模型,采用matlab+gurobi求解方式,储能和sop的配置数量可以设置,默认为分别配置两组,程序运行可靠,作为原文献中的核心非常具有参考价值!

程序的难点在于储能的配置约束表达,还是非常需要技巧的,既要避免非线性带来的求解难题,又要保证储能配置满足各项要求,程序非常精心处理该部分内容,非常具有参考意义!

  • 目标函数

  • 数据说明

程序中电价执行北京市峰谷电价,负荷和电价数据和文献一致,目标函数中部分参数根据经验值暂估设定,因有明确注释,方便修改调试。

  • 节点系统图

部分代码

.rtcContent { padding: 30px; } .lineNode {font-size: 10pt; font-family: Menlo, Monaco, Consolas, "Courier New", monospace; font-style: normal; font-weight: normal; }u_data=sqrt(double(x_ui_square))/12.66;result=double(f);% disp(['程序总运行时间:',num2str(etime(clock,t1))]);%程序结果x_p_sop=value(x_p_sop);x_ui_square=value(x_ui_square);u_sop=value(u_sop);x_s_sop=value(x_s_sop);fi=value(fi);fo=value(fo);fsop=value(fsop);fl=value(fl);x_u=value(x_u);n_u=find(x_u>=0.9);x_p_cd=value(x_p_cd);% x_p_dis=value(x_p_dis);soc=value(soc);figure;plot(Pload,'b-*','LineWidth',1)ylabel('功率');yyaxis rightplot(Price,'LineWidth',1);ylabel('电价');ylim([2,3.6]);xlabel('时间');legend('负荷','电价')figure;xn=1:33;yn=1:N;mesh(yn,xn,u_data(:,:,1)),xlabel('时间'),ylabel('节点'),zlabel('电压(p.u.)')figure;bar(x_p_cd(n_u(1),:,1));ylabel('功率');yyaxis right;plot(soc(n_u(1),:,1),'LineWidth',1);ylim([0 1]);xlabel('时间');ylabel('soc');figure;bar(x_p_cd(n_u(2),:,1));ylabel('功率');yyaxis right;plot(soc(n_u(2),:,1),'LineWidth',1);ylim([0 1]);xlabel('时间');ylabel('soc');fprintf('sop选址为')c2=find(u_sop==1);sop_st(c2,:)fprintf('储能选址为')n_ufprintf('容量为%dMVA\n',x_s_sop(c2))fprintf('投资成本%d万元\n',fi)fprintf('运维成本%d万元\n',fo)fprintf('损耗成本%d万元\n',fsop)fprintf('弃风弃光%d万元\n',value(Cdis))fprintf('弃负荷%d万元\n',value(fp))fprintf('购电成本%d万元\n',value(Cpz))

程序结果

4 下载链接 

http://www.dtcms.com/a/192571.html

相关文章:

  • ZFile与Cpolar技术结合实现远程数据实时访问与集中管理的可行性分析
  • 2025认证杯数学建模第二阶段C题:化工厂生产流程的预测和控制,思路+模型+代码
  • 计算图存储采用矩阵吗,和张量关系
  • 有什么工地现场施工进度成本管理软件?工程企业数字化转型的必要性?
  • 【滑动窗口】串联所有单词的子串
  • 图片、音频、视频都能转?简鹿格式工厂了解一下
  • 深入理解 Cortex-M 的中断输入和挂起行为
  • 网络爬虫学习之httpx的使用
  • 增强 HTNN 服务网格功能:基于 Istio 的BasicAuth 与 ACL 插件开发实战
  • 【js】JavaScript的变量提升、函数声明提升
  • 知识图谱系列(2):知识图谱的技术架构与组成要素
  • 【补充笔记】修复“NameError: name ‘ZhNormalizer‘ is not defined”的直接方法
  • Kafka如何实现高性能
  • Unity碰撞检测:射线与胶囊体投射/Layer(层)、LayerMask(遮罩层)
  • Unity3D开发AI桌面精灵/宠物系列 【六】 人物模型 语音口型同步 LipSync 、梅尔频谱MFCC技术、支持中英文自定义编辑- 基于 C# 语言开发
  • Linux云计算训练营笔记day08(MySQL数据库)
  • 【上位机——WPF】Window标签常用属性
  • 【学习心得】2025年Docker Desktop安装记录
  • 阿里云ECS部署Dify
  • 阿里云CMH镜像迁移与SMC整机迁移对比及功能详解(同地域跨主体账号场景)
  • 配置VScodePython环境Python was not found;
  • 「Java EE开发指南」如何使用MyEclipse的可视化JSF编辑器设计JSP?(二)
  • PC:使用WinSCP密钥文件连接sftp服务器
  • ANTsPy:医学影像处理python库
  • Java集合详解:LinkedBlockingQueue
  • 26考研 | 王道 | 计算机组成原理 | 一、计算机系统概述
  • Window下Jmeter多机压测方法
  • 128.在 Vue 3 中使用 OpenLayers 实现绘制矩形截图并保存地图区域
  • OpenShift AI - 用 ModelCar 构建容器化模型,提升模型弹性扩展速度
  • IP地址、端口、TCP介绍、socket介绍、程序中socket管理