可视化图解算法39: 输出二叉树的右视图
1. 题目
描述
请根据二叉树的前序遍历,中序遍历恢复二叉树,并打印出二叉树的右视图
数据范围: 0≤n≤10000 要求: 空间复杂度 O(n),时间复杂度 O(n)
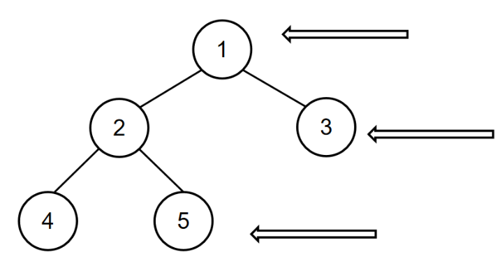
如输入[1,2,4,5,3],[4,2,5,1,3]时,通过前序遍历的结果[1,2,4,5,3]和中序遍历的结果[4,2,5,1,3]可重建出以下二叉树:

所以对应的输出为[1,3,5]。
示例1
输入:
[1,2,4,5,3],[4,2,5,1,3]
返回值:
[1,3,5]
2. 解题思路
本题其实包括两部分,即先根据前序遍历,中序遍历恢复二叉树,再并打印出二叉树的右视图。对于二叉树的回复可以参考上一篇文章《可视化图解算法38:重建二叉树》,本篇重点讲解如何打印出二叉树的右视图。
对于二叉树的右视图,可以先将二叉树进行层序遍历,对于层序遍历的结果,输出每一行的最后一个元素即可。二叉树的层序遍历可以参考《可视化图解算法23:二叉树的层序遍历》。
具体思路如下:

如果文字描述的不太清楚,你可以参考视频的详细讲解。
-
Python版本:数据结构笔试面试算法-Python语言版_哔哩哔哩_bilibili数据结构笔试面试算法-Python语言版,bilibili课堂,哔哩哔哩课堂,哔哩哔哩,Bilibili,B站,弹幕
https://www.bilibili.com/cheese/play/ep1372250 -
Java版本:哔哩哔哩_bilibili
https://www.bilibili.com/cheese/play/ep1367462 -
Golang版本:数据结构笔试面试算法-Go语言版_哔哩哔哩_bilibili数据结构笔试面试算法-Go语言版,bilibili课堂,哔哩哔哩课堂,哔哩哔哩,Bilibili,B站,弹幕
https://www.bilibili.com/cheese/play/ep1364784
3. 编码实现
核心代码如下:
type TreeNode struct {Val intLeft *TreeNodeRight *TreeNode
}/*** 代码中的类名、方法名、参数名已经指定,请勿修改,直接返回方法规定的值即可** 求二叉树的右视图* @param preOrder int整型一维数组 先序遍历* @param inOrder int整型一维数组 中序遍历* @return int整型一维数组*/
func solve(preOrder []int, inOrder []int) []int {// write code here//构建二叉树tree := buildTree(preOrder, inOrder)//二叉树输出右视图return rightSideView(tree)
}func rightSideView(root *TreeNode) []int {res := make([]int, 0)// 1. 定义一个队列,保存每一层的所有节点;先将根节点放入队列queue := []*TreeNode{root}//2. 执行出队列操作:出队列的左右子树再重新入队列for len(queue) > 0 {count := len(queue) //获取一层中的节点数量,并进行遍历//如果当前层有节点,将节点数据添加到数组中,左、右子树添加到队列中for i := 0; i < count; i++ {node := queue[0] //获取队列的顶部元素queue = queue[1:] //删除队列的顶部元素if i == count-1 {res = append(res, node.Val) //存入右视图的元素:一行中的最后一个}//若是左右子节点存在,则存入左右节点作为下一个层次if node.Left != nil {queue = append(queue, node.Left)}if node.Right != nil {queue = append(queue, node.Right)}}}return res
}func buildTree(pre []int, vin []int) *TreeNode {// 2. 递归终止条件(pre、vin长度一样,只需要判断一个即可)if len(pre) == 0 {return nil}// 1. 问题分解(递推公式)// 1.1 根节点(前序遍历的第一个值)root := &TreeNode{Val: pre[0]}// 1.2 根节点在中序遍历中的位置index := getIndex(vin, pre[0])// 1.3 以根节点索引为分割线,将数组pre、vin分为左右两部分root.Left = buildTree(pre[1:index+1], vin[:index]) //左部分构成左子树(切片截取:左闭右开)root.Right = buildTree(pre[index+1:], vin[index+1:]) //右部分构成右子树return root
}func getIndex(vin []int, data int) int {for index, d := range vin {if d == data {return index //pre 和 vin 均无重复元素}}return 0
}
具体完整代码你可以参考下面视频的详细讲解。
-
Python版本:数据结构笔试面试算法-Python语言版_哔哩哔哩_bilibili数据结构笔试面试算法-Python语言版,bilibili课堂,哔哩哔哩课堂,哔哩哔哩,Bilibili,B站,弹幕
https://www.bilibili.com/cheese/play/ep1372250 -
Java版本:数据结构笔试面试算法-Java语言版_哔哩哔哩_bilibili数据结构笔试面试算法-Java语言版,bilibili课堂,哔哩哔哩课堂,哔哩哔哩,Bilibili,B站,弹幕
https://www.bilibili.com/cheese/play/ep1367462 -
Golang版本:数据结构笔试面试算法-Go语言版_哔哩哔哩_bilibili数据结构笔试面试算法-Go语言版,bilibili课堂,哔哩哔哩课堂,哔哩哔哩,Bilibili,B站,弹幕
https://www.bilibili.com/cheese/play/ep1364784
4.小结
对于二叉树的右视图:①即先根据前序遍历,中序遍历恢复二叉树;②通过层序遍历再并打印出二叉树的右视图。

《数据结构与算法》深度精讲课程正式上线啦!七大核心算法模块全解析:
✅ 链表
✅ 二叉树
✅ 二分查找、排序
✅ 堆、栈、队列
✅ 回溯算法
✅ 哈希算法
✅ 动态规划
无论你是备战笔试面试、提升代码效率,还是突破技术瓶颈,这套课程都将为你构建扎实的算法思维底座。🔥立即加入学习打卡,与千名开发者共同进阶!
-
Python编码实现:数据结构笔试面试算法-Python语言版_哔哩哔哩_bilibili数据结构笔试面试算法-Python语言版,bilibili课堂,哔哩哔哩课堂,哔哩哔哩,Bilibili,B站,弹幕
https://www.bilibili.com/cheese/play/ss897667807 -
Java编码实现:哔哩哔哩_bilibili
https://www.bilibili.com/cheese/play/ss161443488 -
Golang编码实现:数据结构笔试面试算法-Go语言版_哔哩哔哩_bilibili数据结构笔试面试算法-Go语言版,bilibili课堂,哔哩哔哩课堂,哔哩哔哩,Bilibili,B站,弹幕
https://www.bilibili.com/cheese/play/ss63997
对于二叉树的相关算法,我们总结了一套【可视化+图解】方法,依据此方法来解决相关问题,算法变得易于理解,写出来的代码可读性高也不容易出错。具体也可以参考视频详细讲解。
今日佳句:两岸猿声啼不住,轻舟已过万重山。
