310. 最小高度树
题目
树是一个无向图,其中任何两个顶点只通过一条路径连接。 换句话说,任何一个没有简单环路的连通图都是一棵树。
给你一棵包含 n 个节点的树,标记为 0 到 n - 1 。给定数字 n 和一个有 n - 1 条无向边的 edges 列表(每一个边都是一对标签),其中 edges[i] = [ai, bi] 表示树中节点 ai 和 bi 之间存在一条无向边。
可选择树中任何一个节点作为根。当选择节点 x 作为根节点时,设结果树的高度为 h 。在所有可能的树中,具有最小高度的树(即,min(h))被称为 最小高度树 。
请你找到所有的 最小高度树 并按 任意顺序 返回它们的根节点标签列表。
树的 高度 是指根节点和叶子节点之间最长向下路径上边的数量。
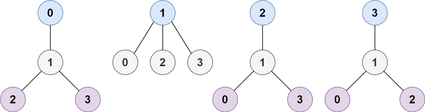
示例 1:

输入:n = 4, edges = [[1,0],[1,2],[1,3]] 输出:[1] 解释:如图所示,当根是标签为 1 的节点时,树的高度是 1 ,这是唯一的最小高度树。
示例 2:

输入:n = 6, edges = [[3,0],[3,1],[3,2],[3,4],[5,4]] 输出:[3,4]
提示:
1 <= n <= 2 * 104edges.length == n - 10 <= ai, bi < nai != bi- 所有
(ai, bi)互不相同 - 给定的输入 保证 是一棵树,并且 不会有重复的边
思路
我们可以通过树的直径特性来寻找最小高度树的根节点。我们可以先找到树中两个最远节点之间的路径,通过dfs可以确定树的直径,先从任意节点出发找到最远节点x,再从x出发找到最远节点y,路径x-y就是树的直径,然后通过回溯路径找到直径的中心节点,如果直径长度为奇数,中心为中间一个节点,如果为偶数,中心为中间两个节点。
代码
class Solution {
public://更新所有节点到u的距离dist和父节点parentvoid dfs(int u, vector<int> & dist, vector<int> & parent, const vector<vector<int>> & a) {for (size_t i=0;i<a[u].size();i++){int v=a[u][i];if (dist[v]<0)//邻居v未被访问{dist[v]=dist[u]+1;//更新距离parent[v]=u;//记录父节点dfs(v,dist,parent,a);//递归访问v}}}//从节点u出发,找到距离u最远的节点,并返回该节点的编号int ll(int u,vector<int> &parent,const vector<vector<int>> &a){int n=a.size();vector<int> dist(n,-1);dist[u]=0;dfs(u,dist,parent,a);//更新距离和父节点int maxdist=0;int node=-1;for (int i=0;i<n;i++){if(dist[i]>maxdist){maxdist=dist[i];node=i;}}return node;}vector<int> findMinHeightTrees(int n, vector<vector<int>>& edges) {if (n==1){return {0};}vector<vector<int>> a(n);//存每个节点的邻居for (auto &edge:edges){a[edge[0]].emplace_back(edge[1]);a[edge[1]].emplace_back(edge[0]);}vector<int> parent(n, -1);//找到距离节点0最远的节点xint x=ll(0,parent,a);//找到距离节点x最远的节点yint y=ll(x,parent,a);//找到节点x到节点y的路径vector<int> path;parent[x]=-1;while(y!=-1)//从节点y开始,沿着parent数组回溯到x,得到路径path{path.emplace_back(y);//存储的是从y到x的路径y=parent[y];}int m=path.size();if (m%2==0)//两个节点{return {path[m/2-1],path[m/2]};}else//一个节点{return {path[m/2]};}}
};
