数字信号处理-大实验1.1
MATLAB仿真实验目录
- 验证实验:常见离散信号产生和实现
- 验证实验:离散系统的时域分析
- 应用实验:语音信号的基音周期(频率)测定
目录
一、常见离散信号产生和实现
1.1 实验目的
1.2 实验要求与内容
1.3 实验代码
1.4 实验结果分析
二、离散系统的时域分析
2.1 实验目的
2.2 实验要求与内容
2.3 仿真代码
2.4 实验结果
2.4.1 线性卷积与圆周卷积(算法补全)
2.4.2 离散系统的单位脉冲响应和单位阶跃响应
说明:前两个实验代码只放截图,应用实验代码截图都会放,可复制的代码不会全部都放。
一、常见离散信号产生和实现
1.1 实验目的
1、加深对常用离散信号的理解;
2、熟悉使用MATLAB在时域中产生一些基本的离散时间信号。
3、(可选)掌握MATLAB三维曲线绘制方法。
1.2 实验要求与内容
要求:
(1)预先阅读实验讲义(MATLAB基础介绍);
(2)讨论正弦序列、复指数序列的性质。

(3)使用帮助功能学习square(方波),sawtooth(锯齿波)和sinc函数,并绘图。
内容:
1、编制程序产生上述5种信号,长度可输入确定,函数需要的参数可输入确定,并绘出其图形。
1.3 实验代码

![]() |
1.4 实验结果分析






二、离散系统的时域分析
2.1 实验目的
1、熟悉并掌握离散系统的差分方程表示法;
2、加深对冲激响应和卷积分析方法的理解。
2.2 实验要求与内容
要求:
(1)在MATLAB中,熟悉利用函数 y=filter(p,d,x) 实现差分方程的仿真;
(2)在 MATLAB中,熟悉用函数 y=conv(x,h) 计算卷积,用函数y=impz(p,d,N) 求系统冲激响应的过程。
内容:
- 以下程序中分别使用conv和filter函数计算h和x的卷积y和y1,运行程序,并分析y和 y1 是否有差别,为什么要使用x[n]补零后的x1来产生y1;具体分析当h[n]有i个值,x[n]有 j 个值,使用filter完成卷积功能,需要如何补零?

补零方法:只需要对x[n]右侧填充length(h[n])- 1个0即可,MATLAB算法会根据实际情况在频域对H(ejw
)扩充至和x[n]点数进行乘法;同时也正因为MATLAB的算法补全机制,本来补充0位数不够的圆周卷积只是在最后时域呈现的时候做了一个矩形窗的信号截断,并没有按照理论分析进行循环取余加和(见2.4.1图)。
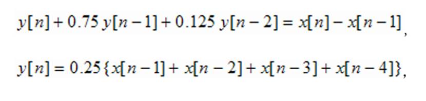
- 编制程序求解下列两个系统的单位冲激响应和阶跃响应,并绘出其图形。要求分别用 filter、 conv、impz 三种函数完成。

2.3 仿真代码

![]() | |||
2.4 实验结果
2.4.1 线性卷积与圆周卷积(算法补全)

Figure 1 9+7-1=15点序列

Figure 2 9+7-3=13点序列

Figure 3 9+7-6=10点序列
2.4.2 离散系统的单位脉冲响应和单位阶跃响应
(1)IIR系统



(2)FIR系统





