运算放大器相关的电路
1·运算放大器介绍

解释:运算放大器本质就是一个放大倍数很大的元件,就如上图公式所示 Vp和Vn相差很小但是放大后输出还是会很大。
运算放大器不止上面的三个引脚,他需要独立供电;
如图比较器:

解释:Vp(0.5)和Vn(0.3)虽然相差很小,但放大倍数很大,不过Vo不会被无穷放大,不会超过供电电压,上图为10V,可以说就等于10V;举一反三如果Vn比Vp大那么Vo就会无限接近负极供电出的电压,上图为地0V。
2·电压跟随器介绍

如图:假如初始状态是上图这样,Vo0.6V通过线路反馈会Vn,Vn= Vo = 0.6V,这是Vp = 0.5<Vn = 0.6V,运算放大器工作Vo无限接近负极电源供电处电压上图为0V,在运行的过程中Vo会出现小于0.5V的时候,这时Vn也小于0.5,运算放大器又运行,Vo接近电源正极供电处,在这个过程中,Vo电压不断的在0.5V上下徘徊,运算放大器反应很快,所以Vo不断的接近0.5V。也就是电压放大器的工作原理。
3·虚短和虚断的概念
虚短:

解释:在有深度负反馈(就是输出连回输入,并产生阻止对应引脚的效果)的情况下, Vp = Vn,相当于短路。
虚断:

解释:就是当两个输入端有信号来时,运算放大器只是感受一下不会有实质的电流在输入端产生。
4·同相放大电路介绍

分析:
(1)上路电路有深度负反馈,虚短,V+ = V-;
(2)根据虚断,电源负极没有电流产生;
(3)所以最后要分析的电路就是上面绿线上的电路
分析绿线电路得到的公式:

5·反向放大电路介绍

分析:
(1)有深度负反馈,所以有虚短,V+ = V- = 0V;
(2) 虚断电源负极与下面电路之间没有电流存在;
分析电路:得公式如上图所示;
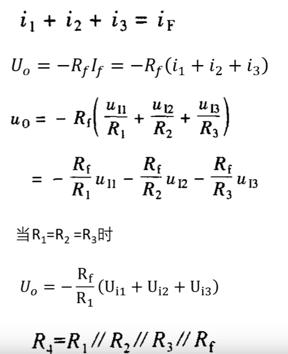
6·反相求和运算电路

 
分析:和反相放大电路一样,用虚断虚短分析;
7·差分比例运算电路

注意:上图对应的两对电阻阻值相等。
分析:用虚短虚断分析可得公式

补充知识:
1. 共模信号:指的是两个极性和大小都相同信号。(相位相同、振幅相同)
 2. 差模信号:指的是两个极性相反,大小相同的信号。(相目位相反、振幅相同)
