捌拾叁- 量子傅里叶变换
1. 前言
最近公司地震,现在稍微有点时间继续学习。
看了几个算法,都说是基于 量子傅里叶变换 ,好,就是他了 Quantum Fourier。
2. 傅里叶变换
大学是学通信的,对于傅里叶变换还是有所理解的。其实就是基于一个 时域 的函数,变换为一个基于 频域 的函数。
例如:
一篇彻底搞懂傅里叶变换及其背后原理

一般我们看到的都是时域的数据,例如

这种,随时间的变化,v (速度) 的变化,这个变化对应的频率是怎样呢?通过傅里叶变换,就可以得出频率的变化。
3. 离散傅里叶变换
离散傅里叶变换 (Discrete Fourier Transform, DFT).

还有,任何傅里叶变换都是可以相互变换的,从时域变为频域后,也能从频域变成时域。
离散傅里叶变换也一样
推导过程可以上网找,反正我也理解不了,接受就是了
(不过其实这也是一个人造的公式,符合使用,能拓展,自洽,其实就行了)
4. 公式推导
我看夸父的教程我看不懂,中间跳了好多东西,于是一直上网搜

其中,∣x⟩ 是输入态,∣k⟩ 是输出态
这个网页有一个 Gif 的展示!
然后就是把 N 个量子比特 组成的整体系统,组成为一个 输入态

5. 突然又感觉看不懂了,重新来
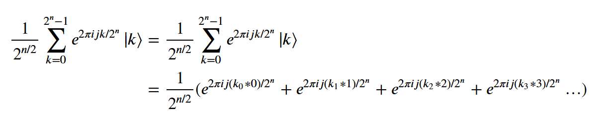
我们还是看回夸父的推导公式:
∣j⟩ 是输入态,∣k⟩ 是输出态

首先我们的起点是:

他喵的第二步我就看不懂了
为什么一个 连加 可以变成 N 个连加 ?
思来想去后,右边可以展开为 :

但上面这个是错的!!!!!
因为 |𝑘⟩ 这个东西是代表一个概率矩阵,应该这样看

其中 𝑘0 的意思其实是右边的 |𝑘⟩ 里面代表当 k=0 的时候的概率,同理延续下去
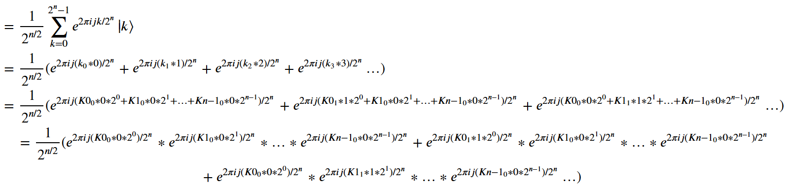
这个时候换基,把原本的 |𝑘⟩ 换为二进制 (如上述第4点的最后来换)

注意上面 红色箭头 跟 蓝色箭头 ,代表的是这个 二进制 如何转化为 十进制 ,对应的 十进制 就是原等式那个数值
例如,十进制 是 0 的,二进制就是 …00000
十进制 是 1 的,二进制就是 …00001
以3位比特为例:
| 十进制 | 二进制 |
|---|---|
| 0 | 000 |
| 1 | 001 |
| 2 | 010 |
| 3 | 011 |
| 4 | 100 |
| 5 | 101 |
| 6 | 110 |
| 7 | 111 |
上面的 K 意义是下面

x 的意思是,换位二进制之后,第几位
y 的意思是,这个位数的概率是多少
注意 K 是 k 的二进制表示,大小写区分的! (跟原推导公式不一致)
此刻我们再改一下写法

其实就是因为在指数项的相加是等于整体的相乘

其中把二进制第 0 位 ( 即二进制最右边那位提取出来 ),也即 K0
还是以3位比特为例
| 十进制 | 二进制 (左边两个比特) | 第0位比特 |
|---|---|---|
| 0 | 00 | 0 |
| 2 | 01 | 0 |
| 4 | 10 | 0 |
| 6 | 11 | 0 |
| 1 | 00 | 1 |
| 3 | 01 | 1 |
| 5 | 10 | 1 |
| 7 | 11 | 1 |
回到上面的公式

把那个2的指数改一下

原公式化为

问了一下 智谱 的 大模型,可以写成

变成了最终

6. 然后发现
好像还有问题…为什么…
跟量子电路没关系呢?
下周继续看,快疯了
