当前位置: 首页 > news >正文

高等数学-第七版-下册 选做记录 习题10-2

1.


2.


6.


8.


10.


11.



14.

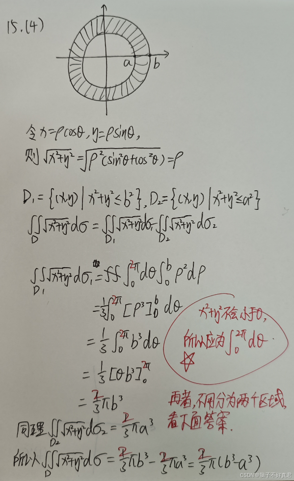
15.



http://www.dtcms.com/a/171585.html

相关文章:

  • LangChain4J-XiaozhiAI 项目分析报告
  • FiLo++的框架图介绍
  • Sway初体验
  • SwinTransformer 改进:与PSConv结合的创新设计
  • Go-Spring 全新版本 v1.1.0
  • 代码随想录算法训练营第八天 |【字符串】344.反转字符串、541. 反转字符串II、卡码网:54.替换数字
  • 互联网与无线广播:数字时代与模拟时代的通讯双轨制-优雅草卓伊凡
  • 使用synchronized关键字同步Java线程
  • Vector - VT System - 板卡_VT板卡使用介绍_07
  • BUUCTF Pwn wustctf2020_closed WP
  • Java大师成长计划之第12天:性能调优与GC原理
  • 设计模式每日硬核训练 Day 17:中介者模式(Mediator Pattern)完整讲解与实战应用
  • LeetCode - 91.解码方法
  • 高等数学第三章---微分中值定理与导数的应用(3.3泰勒(Taylor)公式)
  • transfomer网络构建
  • C与指针——输入输出
  • 【学习笔记】深度学习:典型应用
  • LlamaIndex统一管理存储组件的容器--StorageContext
  • ES类的索引轮换
  • 轻量化定时工具!Pt 极简界面 :定时备份 + 循环灵活关机
  • 深度优先搜索(DFS)与广度优先搜索(BFS):图与树遍历的两大利器
  • 分布式系统中的 ActiveMQ:异步解耦与流量削峰(二)
  • vue-chat 开源即时聊天系统web本地运行方法
  • 《CUDA:解构GPU计算的暴力美学与工程哲学》
  • 文章记单词 | 第62篇(六级)
  • 25考频高的前端面试题
  • 从图文到声纹:DeepSeek 多模态技术的深度解析与实战应用
  • Leetcode 3538. Merge Operations for Minimum Travel Time
  • 当SONiC遇到CPO,SONiC对共封装光接口的管理
  • ubuntu-PyQt5安装+PyCharm配置QtDesigner + QtUIC