【学习笔记】第十章:序列建模:递归神经网络(RNN)
作者选择了由 Ian Goodfellow、Yoshua Bengio 和 Aaron Courville 三位大佬撰写的《Deep Learning》(人工智能领域的经典教程,深度学习领域研究生必读教材),开始深度学习领域学习,深入全面的理解深度学习的理论知识。
之前的文章参考下面的链接:
【学习笔记】理解深度学习和机器学习的数学基础:数值计算
【学习笔记】理解深度学习的基础:机器学习
【学习笔记】深度学习网络-深度前馈网络(MLP)
【学习笔记】深度学习网络-正则化方法
【学习笔记】深度学习网络-深度模型中的优化
【学习笔记】卷积网络简介及原理探析
引言
递归神经网络(Recurrent Neural Networks, RNN)是一类专门用于处理序列数据的神经网络。与卷积神经网络(CNN)主要针对二维网格数据(如图像)的应用不同,RNN 专注于处理一维序列数据(如时间序列、文本等)。RNN 的设计使其能够有效捕捉时间序列中的时序信息,广泛应用于各类任务,包括自然语言处理、时间序列预测和语音识别。本章将深入探讨 RNN 的基本原理、结构、训练方法及其在实际应用中的表现。
10.1 计算图的展开
计算图是对计算过程的结构化表示,展示了输入、参数和输出之间的关系。在 RNN 中,通过展开计算图,将递归计算转化为具有效率的重复结构,使得参数可以被共享。这种方法在处理可变长度的序列时非常有效。在经典动态系统中,递归的表达形式为:
s ( t ) = f ( s ( t − 1 ) ; θ ) s(t) = f(s(t - 1); \theta) s(t)=f(s(t−1);θ)
其中 (s(t)) 是系统的状态,(\theta) 是需要学习的参数。通过对方程进行多步展开,我们得到:
s ( 3 ) = f ( s ( 2 ) ; θ ) = f ( f ( s ( 1 ) ; θ ) ; θ ) s(3) = f(s(2); \theta) = f(f(s(1); \theta); \theta) s(3)=f(s(2);θ)=f(f(s(1);θ);θ)
这种展开使得我们能够更好地理解信息流的前向传播和后向传播。同时,它便于计算梯度,优化网络参数。

10.2 递归神经网络
基于图的展开和参数共享的思想,我们可以设计多种不同类型的递归神经网络。以下是一些常见的设计模式:
- 逐步输出递归网络:在每个时间步都有输出,且隐含层之间具有递归连接。
- 层次递归网络:从前一时间步的输出连接到当前隐藏单元的递归网络。
- 序列输出递归网络:读取整个序列后,仅在最后生成一个输出。
10.2.1 RNN 的基本结构

一个典型的 RNN 由输入层、隐含层和输出层组成,其基本结构可通过以下数学模型描述:

隐含状态更新公式为:
h ( t ) = f ( W h ( t − 1 ) + U x ( t ) ) h(t) = f(W h(t - 1) + U x(t)) h(t)=f(Wh(t−1)+Ux(t))
其中:
- (W) 是隐含层的递归权重。
- (U) 是输入到隐含层的权重。
输出的生成公式为:
o ( t ) = g ( V h ( t ) ) o(t) = g(V h(t)) o(t)=g(Vh(t))
其中:
- (g) 是输出层的激活函数。
- (V) 是隐含层到输出层的权重。
这种结构使得 RNN 能够有效地处理序列数据,将先前的信息状态与当前输入结合,以生成新的输出。
10.2.2 训练过程
RNN 的训练通常采用反向传播通过时间(Backpropagation Through Time, BPTT)算法。BPTT 的基本流程如下:
- 展开 RNN 的计算图。
- 计算每个时间步的损失函数 (L(t)),常用的损失函数为交叉熵损失。
- 利用梯度信息更新权重。
这种训练方法通过序列中每个时刻的信息流来逐步调整模型参数,从而提高模型的预测能力。
10.3 条件递归神经网络
条件递归神经网络在标准 RNN 的基础上增加了从上一个输出到当前状态的连接。这一设计使得网络能够模拟更复杂的关系,建模任意分布的序列 (y) 提高了模型的表达能力。
10.3.1 条件建模公式
条件概率分布可表示为:
P ( y ∣ x ) = f ( h ( x ) ) P(y|x) = f(h(x)) P(y∣x)=f(h(x))
其中,(h(x)) 是输入序列的隐含表示。这一结构使得 RNN 可以在处理给定输入序列 (x) 时,生成相应的输出序列 (y)。
10.4 编码器-解码器架构
编码器-解码器架构是 RNN 中的一种重要应用,通常由两个 RNN 组成:一个用于处理输入序列(编码器),另一个用于生成输出序列(解码器)。
10.4.1 工作流程

在编码器-解码器架构中,编码器首先处理输入序列,并生成一个上下文向量 (C),该向量包含了输入序列的核心信息。解码器则利用这个上下文向量生成最终的输出序列 (Y)。这一设计广泛应用于诸如机器翻译、文本生成等领域,实现了从一种语言到另一种语言的有效转化。
10.5 长期依赖问题
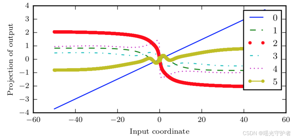
尽管 RNN 在处理序列数据方面表现优异,但是训练 RNN 学习长期依赖时仍然面临困难。这主要是由于在反向传播过程中,梯度可能会迅速消失或爆炸,导致模型难以捕捉远期信息。

此处绘制从 100 维隐藏状态降到单个维度的线性投影,绘制于 y 轴上。x 轴是 100 维空间中沿着随机方向的初始状态的坐标。因此,我们可以将该图视为高维函数的线性截面。曲线显示每个时间步之后的函数,或者等价地,转换函数被组合一定次数之后。
10.5.1 解决方案
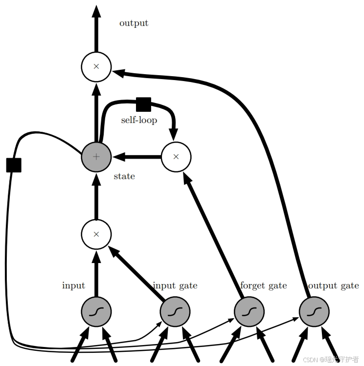
为了应对这一问题,研究者们提出了长短期记忆网络(LSTM)和门控循环单元(GRU)等网络结构。这些结构通过引入门控机制,有效解决了长期依赖问题,使得模型能够学习长序列中的重要信息。
10.6 回声状态网络(ESN)
回声状态网络是一种特殊类型的 RNN,其特点是将循环权重设为固定,只对输出权重进行学习。这种方法避免了 RNN 训练中的复杂性,让模型能以简化的方式提取序列数据的特征。
10.6.1 结构和优势

ESN 采用随机固定的连接,使其能够产生丰富的动态响应。通过仅学习从隐藏状态到输出的线性映射,极大地简化了训练过程。这种网络主要用于捕捉时间序列中的短期变化,能够在许多应用场景中表现出色。
10.7 显式记忆
显式记忆的引入使得 RNN 能够存储和检索特定信息,从而极大提升了模型的智能水平。记忆网络(Memory Networks)和神经图灵机(Neural Turing Machines)就是实现这一目标的两种方法。

10.7.1 基本原理
- 记忆网络:设计包含一组可通过寻址机制访问的记忆单元,允许网络在需要的时候调用历史信息。
- 神经图灵机:具备读取和写入任意内容到记忆单元的能力,使网络能高效地进行复杂计算。
10.8 总结
递归神经网络作为一种强大的序列建模工具,因其出色的表达能力被广泛应用于自然语言处理、时间序列预测等领域。尽管训练 RNN 存在一定的挑战,但通过 LSTM、GRU 等先进结构的应用结合显式记忆的概念,可以有效提升模型的性能与适应性。
通过深入学习 RNN 及其变体的运作原理,以及在不同应用场景中的表现,我们能够更好地理解这一强大工具的潜力与未来发展方向。随着技术的进步,RNN 在序列数据中的应用将越来越广泛,为各类实际问题的解决提供更多可能性。
