【优选算法 | 前缀和】前缀和算法:高效解决区间求和问题的关键

| 算法 | 相关知识点 | 可以通过点击 | 以下链接进行学习 | 一起加油! |
|---|---|---|---|---|
| 双指针 | 滑动窗口 | 二分查找 |
在本篇文章中,我们将深入解析前缀和算法的原理。从基础概念到实际应用,带你了解如何通过前缀和高效解决数组求和、区间查询等问题。无论你是刚接触算法的新手,还是希望提升代码性能的老手,前缀和都是你提升算法效率的重要利器!


🌈个人主页:是店小二呀
🌈C/C++专栏:C语言\ C++
🌈初/高阶数据结构专栏: 初阶数据结构\ 高阶数据结构
🌈Linux专栏: Linux
🌈算法专栏:算法
🌈Mysql专栏:Mysql
🌈你可知:无人扶我青云志 我自踏雪至山巅 
文章目录
- DP34.【模板】前缀和
- DP35.【模板】二维前缀和
- 724. 寻找数组的中心下标
- 238. 除自身以外数组的乘积
- 560. 和为 K 的子数组
- 974.和可被 K 整除的子数组
- 525. 连续数组
- 1314. 矩阵区域和
DP34.【模板】前缀和
【题目】:DP34.【模板】前缀和

示例1输入:
3 2 1 2 4 1 2 2 3输出:
3 6
解法一:暴力解法

每次询问时,求出该区间的和以及包含多少个q,并计算其重复次数,所消耗时间复杂度O(n*q)
解法二:前缀和
前缀和是用于"快速得到某一段区间的和",所需要消耗时间复杂度为O(q+n)
第一步:预处理"前缀和数组"

- dp[i]表示:[1, i]区间内所有元素的和
- dp[i - 1]表示:[1, i - 1]区间内所有元素的和
通过arr数组和"前缀和数组"之间关系,没有必要重新遍历arr数组求和,再填写到"前缀和数组"内,其中推导出 递推公式:dp[i] = dp [i - 1] + add[i]。
预处理前缀和数组的过程,本质上就是个小的动态规划。无非就是状态标识,状态转移方程。
第二步:使用前缀和数组

使⽤前缀和数组,「快速」求出「某⼀个区间内」所有元素的和: 当询问的区间是 [l, r] 时:区间内所有元素的和为: dp[r] - dp[l - 1] 。
默认情况下,C++ 中
vector<int> dp(n + 1)会将dp数组的所有元素初始化为0,因此dp[0]也是0。
#include <iostream>
#include <vector>
using namespace std;int main()
{//1.读取数据int n, q;cin >> n >> q;vector<int> arr(n + 1);//输入原始数组for(int i = 1; i <= n; i++) cin >> arr[i];//2.预处理出来一个前缀和数组vector<long long> dp(n + 1);//防止溢出//输入DP数组数据for(int i = 1; i <= n; i++) dp[i] = dp[i - 1] + arr[i];int l = 0, r = 0;while(q--){cin >> l >> r;cout << dp[r] - dp[l - 1] << endl;}return 0;
}
【细节问题】:为什么下标从1开始计数?

通过[0, 2]和[1,2]分析可得,dp[-1]下标是负数存在越界访问,dp[0]也需要单独赋值。不然下标1开始计算,解决了上面两个问题。
- 为了处理边界情况
- 初始化:添加虚拟节点(辅助节点)

DP35.【模板】二维前缀和
【题目】:DP35.【模板】二维前缀和

输入:
3 4 3 1 2 3 4 3 2 1 0 1 5 7 8 1 1 2 2 1 1 3 3 1 2 3 4输出:
8 25 32
【算法思路】
解法一:暴力解法->模拟

解法二:前缀和
1.预处理出来一个前缀和矩阵
其中,我们需要知道dp[i] [j]元素表达含有,更好地去使用前缀和矩阵解决问题。
dp[i] [j]表示:从[1, 1]位置到[i, j]位置,这段区间里面所有元素的和
不理解为什么是从[1, 1]位置开始,可以结合上一道题目解析和本题数据氛围限制理解。
2.找到状态转移方程

根据 dp[i][j] 元素的含义,推导其状态转移方程,分析是否存在等价关系,或者从前状态推导出后状态。在推导过程中,要注意细节,特别是从 dp[i-1][j-1] 或者面积的组合角度入手,确保理解 dp[i][j] 的具体含义。
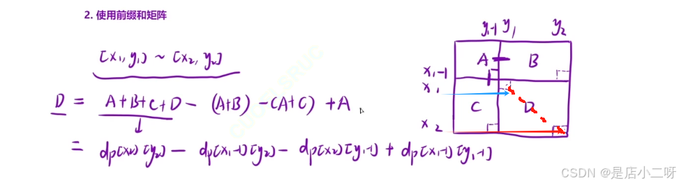
3.使用前缀和矩阵

细节问题:这里D面积是[x1, y1] -> [x2, y2],而对于A面积是[1, 1] -> [x1 -1, y1 - 1],注意看红色的线。
【代码实现】
#include <iostream>
using namespace std;
#include <vector>int main()
{int n = 0, m = 0, q = 0;cin >> n >> m >> q;//1.读入数据vector<vector<int>> arr(n + 1, vector<int>(m + 1));for(int i = 1; i <= n; i++)for(int j = 1;j <= m; j++)cin >> arr[i][j];//2.处理前缀和矩阵vector<vector<long long>> dp(n + 1,vector<long long>(m + 1));for(int i = 1; i <= n; i++)for(int j = 1;j <= m; j++)dp[i][j] = dp[i - 1][j] + dp[i][j - 1] + arr[i][j] - dp[i- 1][j - 1];//3.使用前缀和矩阵int x1 = 0, y1 =0, x2 = 0, y2 = 0;while(q--){cin >> x1 >> y1 >> x2 >> y2;cout << dp[x2][y2] - dp[x1 - 1][y2] - dp[x2][y1 - 1] + dp[x1 - 1][y1 - 1] <<endl;}return 0;
}
724. 寻找数组的中心下标
【题目】:724. 寻找数组的中心下标

【算法思路】
使用前缀和算法时,不能死记硬背模板,关键是理解其思想,并根据具体问题灵活调整。模板中的算法思路可以为我们提供思路,但需要根据题目微调。
对于需要快速统计某个元素之前或之后所有元素和的情况,可以分别构建前缀和矩阵和后缀和矩阵。通过图示帮助分析问题,提升理解与解决效率。
- f:前缀和数组:f[i]表示:[0, i - 1]区间,所有元素的和
- g:后缀和数组:g[i]表示:[i + 1, n - 1]区间,所有元素的和
【个人思考】:在推导状态转移方程时,首先理解当前定义的含义,并从前后元素的关系入手,逐步构建方程。举个例子,假设 f[i] 表示区间 [0, i-1] 所有元素的和,那么 f[i-1] 表示区间 [0, i-2] 的和。为了使 f[i] 满足其定义,我们需要将 nums[i-1] 加入,从而得到状态转移方程。
【细节问题】:
-
f(0) = 0,左边没有元素
-
g(0) = 0,右边没有元素
-
f:从左向右
-
g:从右向左
-
如果出现多个中心下标,[0,0,0,0] 返回最左边位置
【代码实现】:
class Solution {
public:int pivotIndex(vector<int>& nums){int n = nums.size();vector<int> f(n);vector<int> g(n);for(int i = 1; i < n; i++) f[i] = f[i - 1] + nums[i - 1];for(int i = n - 2; i >= 0; i--)g[i] = g[i + 1] + nums[i + 1];for(int i = 0; i < n; i++) if(f[i] == g[i]) return i;return -1;}
};
从下标 1 到 n-2 开始处理,因为下标 0 和 n-1 对应的数据已经特殊处理为 0,且没有实际意义。如果从下标 0 或 n-1 开始,可能会导致越界访问。
238. 除自身以外数组的乘积
【题目】:238. 除自身以外数组的乘积

【算法思路】
解法一:暴力解法
直接暴力枚举,从从前往后遍历,枚举每一个位置需要O(n),同时需要遍历每个数组,整体时间复杂度是个N方级别的
解法二:前后缀积

如果需要用到前后数据元素积,我们需要搭建前缀积矩阵与后缀积矩阵

“这个题和 ‘724. 寻找数组的中心下标’ 的算法思路非常相似,主要区别在于细节处理,尤其是临界元素的取值问题。根据 f[i] = f[i-1] + nums[i-1] 的规律,当 i = 1 时,必须设定 f[0] = 1,以确保 f[1] 表示区间 [0, 0] 对应的原始数据 nums[0],因为1乘任何数都等于它本身。
在“除自身以外数组的乘积”的解法中,我们不需要计算每个元素前面和后面的乘积,而是通过前缀积 f[i] 和后缀积 g[i] 来在每个位置 i 计算出左边和右边的乘积,从而避免了除法的使用。
最终每个 output[i] 的值是 f[i] * g[i],这就得到了除 nums[i] 外的所有元素的乘积。
【代码实现】
class Solution {
public:vector<int> productExceptSelf(vector<int>& nums){int n = nums.size();vector<int> f(n), g(n);f[0] = g[n - 1] = 1;for(int i = 1; i < n; i++) f[i] = f[i - 1] * nums[i - 1];for(int i = n - 2; i >= 0; i--) g[i] = g[i + 1] * nums[i + 1];vector<int> ret(n);for(int i = 0; i < n; i++) ret[i] = f[i] * g[i];return ret;}
};
560. 和为 K 的子数组
【题目】:560. 和为 K 的子数组

【算法思路】
解法一:暴力枚举
如果使用暴力枚举可以解决这道问题,但是我们可以有更好的解法
解法二:前缀和 + 哈希表
返回和为 k 的子数组个数”这类问题,我们可以通过前缀和 + 哈希表来优化。一个关键的思路是“以 i 位置为结尾的所有子数组”。
实际上,问题本质上仍然是暴力枚举的思路,之前我们是“以 i 位置为开始的所有子数组”。之所以选择“以 i 位置为结尾的子数组”,是因为我们想使用“前缀和 + 哈希表”来快速求出子数组的和。通过这种方式,我们能够高效地统计子数组的次数。
如果使用“以 i 位置为开始的子数组”,我们需要从已知位置向未知位置查找,不容易统计之前出现的子数组。而“以 i 位置为结尾的子数组”则是从未知位置向已知位置查找,可以通过哈希表来快速得出子数组和,提升效率。
问题转化为前缀和,就是之前前缀和数据可以重复使用,多转一。

【魔鬼细节问题】
1.【sum[i] - k含义】
对于某个 i 位置,考虑到子数组和为 k 的问题,可以通过等价关系转化为:找出多少个前缀和等于 sum[i] - k。这里的 sum[i] - k 不是固定值,而是动态计算得到的。通过不断更新的前缀和,我们可以找到符合条件的子数组数量,判断以 i 位置为结尾的子数组和是否等于 k。
2.【前缀和加入哈希表时机】
在计算第i个位置之前,哈希表仅保存位置[0, i-1]的前缀和。如果提前将元素加入前缀和,效果不如直接暴力枚举,且会导致哈希表统计位置时出现问题。
3.【不用真的创建一个前缀和数组】
dp[i] = dp[i - 1] + nums[i],这里无需额外创建前缀和数组来存储数据,哈希表负责处理前缀和。通过遍历一次前缀和并建立哈希表的映射关系即可。
4.【默认前缀和全部等于k】
哈希表在后续统计时,如果 count(x) == 0,可能导致无法正确统计。因此,单独设置 hash[0] = 1 是为了避免这种情况。没有 hash[0] = 1 时,程序会缺少一个初始的前缀和 0。假设某个子数组的和恰好等于 k,且该子数组从数组的开头开始,如果没有这个初始前缀和 0,就无法通过 hash[sum - k] 条件识别这个子数组。
【代码实现】
class Solution {
public:int subarraySum(vector<int>& nums, int k) {unordered_map<int, int> hash;int sum = 0, ret =0;hash[0] = 1; //确保第一个数for(auto x : nums){sum += x;if(hash.count(sum - k)) ret += hash[sum - k];hash[sum]++;}return ret;}
};
974.和可被 K 整除的子数组
【题目】:974. 和可被 K 整除的子数组

【算法思路】
本题算法数量同"560. 和为 K 的子数组"类似,重点在于细节处理上。
【补充知识】:同余定理

这里只需要记住结论:(a - b) / p = k ....0 -> a% p = b% p
C++,Java:[负数% 正数]的结果以及修正

本题思路:

找到在 [0, i - 1] 区间内,有多少前缀和的余数(x% k)等于 sum[i] % k 的即可
【细节问题】
1.修正后的余数:int r = (sum % k + k) % k;
2.填入哈希表时机
3.0余数处理:hash[0 % k] = 1; // 0 这个数的余数
4.不用真的创建一个前缀和数组
【代码实现】
class Solution {
public:int subarraysDivByK(vector<int>& nums, int k) {unordered_map<int, int> hash;hash[0 % k]++;int sum = 0, ret = 0;for(auto x : nums){sum += x;int r = (sum % k + k) % k;if(hash.count(r)) ret += hash[r];hash[r]++;}return ret;}
};
525. 连续数组
【题目】:525. 连续数组

【算法思路】
本题要求找出一个连续子数组,使得其中 0 和 1 的数量相等。
- 如果将
0记为-1,1记为1,问题就转化为寻找一个和为0的子数组。 - 这个思路和 LeetCode 560 题“和为 K 的子数组”是一样的。
【细节问题】
1.【默认前缀和为0的情况】
当前缀和为 0 时,如果不做处理,无法正确计算子数组的长度。之所以设置 hash[0] = -1,是因为在计算子数组长度时,i - j 代表的是当前位置和前一个位置的差。为了能够正确计算从数组起始位置到当前下标的子数组长度,我们默认前缀和为 0 时的下标是 -1。
2.【哈希表存储】
hash<int_前缀和,int _下标>
3.如果有重复<sum, i>

只保留前面那一对<sum, i>
4.计算长度

【代码实现】
class Solution {
public:int findMaxLength(vector<int>& nums) {unordered_map <int, int> hash;hash[0] = -1; // 默认有⼀个前缀和为 0 的情况int sum = 0, ret = 0;for(int i = 0; i < nums.size();i++){sum += nums[i] == 0 ? -1 : 1;if(hash.count(sum)) ret = max(ret,i - hash[sum]);else hash[sum] = i;}return ret;}
};
1314. 矩阵区域和
【题目】:1314. 矩阵区域和

【算法思路】
该题目中需要计算"矩阵前缀和",需要结合"【模板】二维前缀和"里面关于矩阵前缀和计算和使用。
通过
以下是模板,不用死记硬背,画图可以很快推理出来

计算矩阵前缀和:dp[i][j] = dp[i][j-1] + dp[i-1][j] - dp[i-1][j-1] + mat[i - 1][j - 1];
使用部分矩阵前缀和:answer[i][j] = dp[x2][y2] - dp[x2][y1 -1] - dp[x1 - 1][y2] + dp[x1 - 1][y1 - 1];
【细节问题】
1.【通过k长度计算范围前缀和】

2.【mat矩阵同dp表下标映射关系】

这里主要体现为 mat[i][j] 映射到 mat[i - 1][j - 1],由于 dp 表的索引是从 1 开始,因此 x1、x2、y1、y2 都需要加 1 来适配原始矩阵的 0-based 索引。
class Solution {
public:vector<vector<int>> matrixBlockSum(vector<vector<int>>& mat, int k) {int m = mat.size(), n = mat[0].size();//创建dp表vector<vector<int>> dp(m + 1, vector<int>(n + 1));//填充dp表数据for(int i = 1; i <= m; i++)for(int j = 1; j <= n; j++)dp[i][j] = dp[i][j-1] + dp[i-1][j] - dp[i-1][j-1] + mat[i - 1][j - 1];//mat[i - 1][j - 1],映射mat表格下标int x1 = 0, y1 = 0, x2 = 0, y2 = 0;//使用dp表填充新表格进行返回vector<vector<int>> answer(m, vector<int>(n));for(int i = 0; i < m; i++)for(int j = 0; j < n; j++){x1 = max(i - k, 0) + 1;y1 = max(j - k, 0) + 1;x2 = min(i + k, m - 1)+ 1;y2 = min(j + k, n - 1) + 1;answer[i][j] = dp[x2][y2] - dp[x2][y1 -1] - dp[x1 - 1][y2] + dp[x1 - 1][y1 - 1];}return answer;}
};

快和小二一起踏上精彩的算法之旅!关注我,我们将一起破解算法奥秘,探索更多实用且有趣的知识,开启属于你的编程冒险!
