当前位置: 首页 > news >正文

ADC入门准备(九):信号与系统知识回顾

目录

4.2 拉普拉斯变换的定义、收敛域

4.2.1 定义

4.2.2 定义域

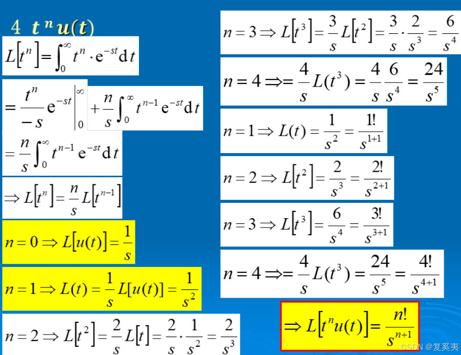
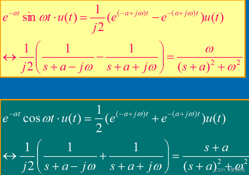
4.2.3 常用函数的拉氏变换

4.2.4 拉氏变换性质

4.5 用拉氏变换分析电路、s域元件模型

4.5.1 极点对响应方式的影响

4.5.2 R、L、C的s域元件模型


4.2 拉普拉斯变换的定义、收敛域

4.2.1 定义

4.2.2 定义域

4.2.3 常用函数的拉氏变换

4.2.4 拉氏变换性质

4.5 用拉氏变换分析电路、s域元件模型

4.5.1 极点对响应方式的影响

4.5.2 R、L、C的s域元件模型

http://www.dtcms.com/a/15613.html

相关文章:

  • JVM学习
  • JPA应用@Formula注解
  • Windows 11 卸载 Edge
  • intellij idea篇
  • 工厂设计模式
  • PySide (PyQt)的视图(QGraphicsView)和场景(QGraphicsScene)
  • 【鸿蒙Next】优秀鸿蒙博客集锦
  • 简单了解低代码Low Code
  • repo学习使用
  • HTTP/2 由来及特性
  • 探寻氧化铈:催化剂领域的璀璨明珠-京煌科技
  • 第39周:猫狗识别 2(Tensorflow实战第九周)
  • 上课啦 | 2月17日软考高项【5月备考班】
  • DeepSeek神经网络:技术架构与实现原理探析
  • VSCode选择编译工具(CMake)
  • HarmonyOS 5.0应用开发——Canvas制作个人签名
  • Linux开源生态与开发工具链的探索之旅
  • 通过openresty和lua实现随机壁纸
  • 基于SSM的农产品供销小程序+LW示例参考
  • 布隆过滤器详解及使用:解决缓存穿透问题
  • GDB 使用心得
  • MySQL技术公开课:Mysql-Server-8.4.4 Innodb 集群搭建与维护
  • Spring Boot 的约定优于配置:简化开发的艺术
  • mapbox V3 新特性,添加下雪效果
  • 科技查新测试有多重要?如何选择合适的第三方测试机构服务?
  • 深入浅出Java反射:掌握动态编程的艺术
  • 《图解设计模式》笔记(八)管理状态
  • 初窥强大,AI识别技术实现图像转文字(OCR技术)
  • 消防设施操作员考试题库及答案
  • 2024年12月电子学会青少年机器人技术等级考试(五级)理论综合真题